深海集矿机模型车行走驱动系统
桂卫华1, 冯磊华1,2, 王随平1
(1. 中南大学 信息科学与工程学院, 湖南 长沙, 410083;
2. 长沙理工大学能源与动力工程学院, 湖南 长沙, 410076)
摘要: 研制了1台集矿机模型车,并通过对集矿机模型车液压驱动系统中所用的比例阀、变量泵以及液压马达的分析研究,分别建立其数学模型;采用PI控制,利用Simulink工具箱对该系统的数学模型进行仿真。在仿真过程中,通过变换负载及改变PID控制器参数来观察输出结果。仿真结果表明:当增加负载时,系统振荡增大,这与系统的实际情况相符;当加入微分控制时,仿真波形有很大毛刺,这说明采用PI控制器比较合适。
关键词: 集矿机; 液压驱动; 数学模型; 仿真
中图分类号:TP391.9 文献标识码:A 文章编号: 1672-7207(2005)03-0470-05
Drive system in mould of ocean mining machine
GUI Wei-hua1, FENG Lei-hua1,2, WANG Sui-ping1
(1. School of Information Science and Engineering, Central South University, Changsha 410083, China;
2. School of Energy and Power Engineering, Changsha University of Science and Technology, Changsha 410076, China)
Abstract: A mould of an ocean mining machine was built. By analysing the proportional valve, variable pump and motor of this fluid drive system, the mathematical modelings of 3 parts were built, respectively. The modelings were simulated in Simulink by using PI control. In the process of simulation, the outcome with different load and different parameter of PID controller can be obtained. In the course of emulation with the increase of load, the surge of this system is increased, this is in conformity with actual conditions of the system; when using the differential to control, the emulation wave has a lot of burr, which proves adopting PI controller is relatively suitable.
Key words: ocean mining machine; fluid drive system; mathematical modeling; simulation
大洋采矿系统主要包括水上监控系统和水下采矿系统2部分。水下采矿系统主要是指集矿机。由于深海底地面较软,剪切强度小,地质条件非常复杂[1],因而,在深海底采矿时采用履带式集矿机[2]。集矿机主要由集矿头、破碎机、液压系统、行走机构等部分组成[3]。其中液压系统采用主泵带两辅助泵系统。主泵提供履带行走马达或着地平衡装置的螺旋桨马达所需流量和压力,辅助泵提供集矿马达的破碎机和所有液压缸所需流量和压力。驱动履带行走部分的液压系统在整个液压系统中起很重要的作用。
对于控制集矿机的行走,首先要研究它的液压驱动部分。由于原系统体积庞大,不便于进行试验,在此,作者用集矿机的模型车进行车行走驱动系统的研究,并建立液压驱动系统各部分的数学模型。
1 集矿机行走液压驱动系统
集矿机行走的整个过程采用全自动调节,集矿机模型车行驶控制框图如图1所示。其中:智能控制采用模糊PID控制器;v左和v右分别为左、右履带的给定速度;α给为给定偏转角度。当集矿机直线行驶时,α给=0,若行走方向发生偏转,导航定位系统就把该偏转角度反馈给控制器,通过控制器来调整左、右履带的行走速度,从而使集矿机按直线方向行驶;当集矿机转弯时,α给为非零值,若集矿机行走的偏转角度与α给存在差值,导航定位系统也把该差值反馈给控制器,从而使集矿机按照预定的偏转角度转弯。

图 1 集矿机行走系统全自动调节原理图
Fig. 1 Scheme of automatic control on
tread of ocean-mining machine
图1所示的左、右履带的行走都是采用液压系统来驱动,该液压系统主要由电液比例阀、变量泵、履带行走马达组成。其中变量泵内部自带有电液比例阀对履带行走马达进行调速,其驱动系统框图如图2所示。

图 2 集矿机行走的液压驱动系统框图
Fig. 2 Scheme of fluid drive system on
tread of ocean-mining machine
2 电液比例阀的数学模型
电液比例阀是在普通液压阀基础上加上电气控制部分发展起来的。电气控制部分包括电放大器和比例电磁铁。将控制信号加入电放大器,使比例电磁铁按比例产生控制力与位移,能实现对压力和流量的比例控制。
比例电磁铁的作用是将电信号转变为机械位移或力输出信号,其动态性能由线圈电流动态特性、输出力动态特性和位移动态特性决定。
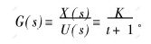
比例阀的控制模型包括阀芯位移模型和流量模型。比例阀控制板由生产厂家配备,该控制板接受来自计算机的电压控制信号,输出为控制驱动比例阀电磁铁动作的电流量。比例阀阀芯位移的响应时间在50ms以内,而液压执行系统响应一般比较慢,因此,很多研究者将其简化为一个比例系统。在这里,为了更真实地反映实际比例阀的工作过程,将其简化为一阶惯性系统,即:

式中:U(s)为比例阀的输入电压;X(s)为比例阀的输出位移;K为比例系数,K=0.0003;t为系统的响应时间,t=0.02s。
3 变量泵的数学模型
本系统所用的变量泵为双作用式叶片泵,由配流盘、轴、转子、定子、叶片、泵体和端盖组成。双作用式叶片泵与单作用式叶片泵的不同之处是其转子与定子中心重合,定子内表面不是1个圆柱形,而是1个近似的椭圆柱形[4]。
限压式变量叶片泵动态特性分析简图如图3所示。当泵压pp小于限压弹簧压弹簧压在最大偏心位置,泵按定量方式工作,此时动态特性的分析与定量泵的分析相同。当pp>pc时,泵处于自动调节流量阶段。
的压力pc时定子被限

图 3 限压式变量叶片泵动态计算简图
Fig. 3 Scheme of dynamic compute in
restrict-pressure and variable lobate pump
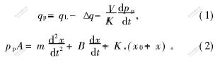
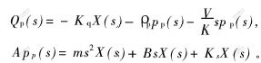
泵的流量连续性方程和定子受力平衡方程为:

式中:qp为泵的实际流量;pp为泵的工作油压;qL为泵的理论流量,可用泵的流量增益Kq乘以定子位移量表示,即qL=Kq(emax-x);Δq为泵的泄漏量,可用泄漏系数kl乘以泵的供油压表示,即Δq=klpp;A为反馈油缸活塞面积,A=0.25m2; m为运动部件的等效质量,m=5kg; B为粘性阻尼系数,B=0.3N/(m·s); x0为弹簧预压缩量;Ks 为弹簧刚度。
将式(1)和(2)写成增量形式并进行拉式变换,得:

变量泵传递函数的方框图如图4所示。

图 4 变量泵传递函数框图
Fig. 4 Scheme of transfer function of
variable pump
4 液压马达的数学模型
在该系统中,采用轴向柱塞式液压马达。
4.1 马达高压腔流量的连续方程
马达高压腔流量的连续方程为:

其中:QL为马达的流量;pL 为负载的压力;Dm 为马达排量,Dm=6.28L/r; Ctm为马达总泄漏系数,Ctm=1.0×10
-10m5/(N·s);V为 马达腔容积,V=4.5×10-2m3;Be 为流体的体积弹性模量,Be=5.0×108N/m2;
4.2 马达轴向的动力学模型
根据牛顿动力学定律可以得出液压马达轴上的动力学方程:
pLDm=Jtθm+Bmθm+Gθm+TL,
即
pL(s)Dm=Jrs
2θm(s)+Bmsθm(s)+Gθm(s)+TL。
其中:G为负载的扭转刚度,G=100N·m/r; Bm为折算到马达轴上的当量阻尼系数,Bm=0.02; Jt为折算到马达轴上的当量转动惯量,Jt=75N·m·s
2/rad。
4.3 液压马达的系统方框图
根据马达高压腔的流量连续性方程和马达轴向的动力学模型,可得到液压可达系统的方框图,如图5所示。

图 5 液压马达系统方框图
Fig. 5 Block of motor transfer function
系统最后的输出为集矿机的行走速度v,v=Kv[AKω-]m。其中,Kv为角速度与线速度的换算系数,Kv=0.5;[AKω-D]m为角速度。
5 PID控制
PID控制器因具有简单、可靠、容易实现以及稳定、无误差等优点而广泛应用于实际工业中。在现代控制技术中,有90%以上的控制回路采用PID控制[5]。在深海集矿机模型车行走驱动系统中同样采用PID控制。
PID控制表示为比例-积分-微分控制,PID控制器框图如图6所示。

图 6 PID控制器的方框图
Fig. 6 Scheme of PID controller
控制器的传递函数为:

其中:TI为积分时间常数;TD为微分时间常数;KP为比例系数;
,为积分系数;KD=KPTD,为微分系数。PID调节器只需设定3个参数:KP,KI和KD。在该系统中,设定KP=10,KI=1,KD=0,PID调节器实际上为PI控制。
6 Simulink仿真
将所建立的阀、泵、马达的数学模型依次输入Simulink工具箱中(如图7所示)。图7(a)所示为将各子系统封装后的主框图,图7(b)所示为主框图中电液比例阀-变量泵系统框图,图7(c)所示为主框图中液压马达系统框图。当确定各个参数值后,就可以对该系统进行动态特性的仿真。
在Simulink工具箱中对该系统进行仿真, 当v给=1 m/s时,得到图8所示的输出波形。从图8(a)可以看出,集矿机在稳定时所达到的速度与给定速度相差不大,可以达到要求。当增加负载时,系统振荡增大(见图8(b)),这与系统的实际情况相符。
改变PID控制器的参数,令KP=10,KI=1,KD=2,即增加微分控制,可以看到在输出波形中有很多毛刺(见图8(c))。这说明原来采用的PI控制器比较合适。
![]()
(a) 液压驱动系统仿真主框图; (b) 阀控泵系统子框图;
(c) 液压马达系统子框图
图 7 集矿机系统子框图
Fig. 7 Subsystem block of ocean
mining machine
![]()
(a) 系统输出波形; (b) 增加负载后的输出波形;
(c) 增加微分控制后的输出波形
图 8 系统仿真结果
Fig. 8 Simulation output of mould of ocean
miming machine
7
结 论
建立了集矿机模型车行走驱动系统中各部分的数学模型,包括电液比例阀、变量泵及液压马达。对该系统采用PI控制,并将整个系统输入Simulink工具箱中进行仿真验证。结果表明:
a. 当在仿真模型中增加负载时,系统输出波形的振荡增大,调整时间变长,这与实际系统相符,说明建立的数学模型是合理的。
b. 当在控制器中加入微分控制时,输出波形增加了很大毛刺,说明在该系统中采用PI控制器比较合理。
c. 对于大洋采矿的原系统,该模型车并没有考虑深海底恶劣环境的影响,深海底软泥阻力、水阻力、软管作业车的影响等。该数学模型有待进一步完善,以适用于真实的大洋采矿系统。
参考文献:
[1]王明和,陈新明. 大洋采矿集矿机行走技术的试验研究[J]. 采矿技术,1996(20): 13-16.
WANG Ming-he, CHEN Xin-ming. Testing study on the tread of an ocean-mining machine[J]. Mining Technology, 1996(20): 13-16.
[2]李洪人. 液压控制系统[M]. 长沙:国防工业出版社, 1981.
LI Hong-ren. Fluid drive control system[M]. Changsha:Nation Defence Industry Press,1981.
[3]李永堂,雷步芳,高雨茁. 液压系统建模与仿真[M]. 北京:冶金工业出版社, 2003.
LI Yong-tang, LEI Bu-fang, GAO Yu-zhuo. Modeling and simulation of fluid system[M]. Beijing: Metallurgy Industry Press, 2003.
[4]刘树道,懂铸荣. YM-0.4型液压马达启动特性仿真与实验[J]. 华南理工大学学报, 2002, 30(4): 29-32.
LIU Shu-dao, DONG Zhu-rong. MATLAB computer simulation and experiment of the starting dynamic characteristic of the hydraulic motor with low speed and high torque[J]. Journal of South China University of Technology, 2002, 30(4): 29-32.
[5]简曲. 大洋采矿集矿机的现状与展望[J]. 矿山机械,1997(8):1-5.
JIAN Qu. Present situation and prospect for collectors in deep-sea mining[J]. Mining & Processing Equipment, 1997(8): 1-5.
[6]Murrenhoff H. Systematic approach to the control of hydrostatic drives[J]. Proc Inst Mech Engn, 1998, 212(1): 335-347.
[7]谢龙水. 深海履带式集矿机设计的研究[J]. 有色矿山,1995(6): 8-15.
XIE Long-shui. The study of design in an ocean-mining machine[J]. Nonferrous Mines, 1995(6): 8-15.
[8]Le A T. Modeling and control of tracked vehicles[D]. Sydney: Department of Mechanical and Electronic Engineering, University of Sydney, 1999.
[9]王野牧. 电液比例阀控制液压同步系统动态研究[J]. 沈阳工业大学学报, 1996, 18(4): 79-83.
WANG Ye-mu. Study of dynamic characteristics of hydraulic synchronism controlled by electrohydraulic proportional valve[J]. Journal of Shenyang Polytechnic University, 1996, 18(4): 79-83.
[10]王艾伦,钟掘.一个复杂非线性液压系统的建模和仿真[J].机械科学与技术,1999, 18(4): 521-524.
WANG Ai-lun, ZHONG Jue. Mathematical model and simulation of a complicated non-linear hydraulic system[J]. Mechanical Science and Technology, 1999, 18(4):521-524.
[11]逢振旭.考虑能耗的大功率复杂液压系统仿真与控制技术的研究[D]. 上海:上海交通大学, 2001.
FENG Zhen-xu. Research on simulation and control technologies of high-power and complex hydraulic system considering energy consumption[D]. Shanghai: Shanghai Jiaotong University, 2001.
收稿日期:2005 -01 -11
基金项目:中国大洋协会基金资助项目(DY105-03-02-06)
作者简介:桂卫华(1950-),男,湖北襄樊人,博士生导师,从事工业大系统控制理论与应用、生产过程控制研究
论文联系人: 冯磊华,女,硕士; 电话:13787792454(手机); E-mail:fengleihua80@sohu.com; Fengleihua200203@sina.com