: 10.11817/j.issn.1672-7207.2017.06.019
CHTEM-I直升机时间域航空电磁发射系统研究
于生宝1,孙长玉1,姜健1,林君1,曹学峰2
(1. 吉林大学 仪器科学与电气工程学院,吉林 长春,130026;
2. 中国国土资源航空物探遥感中心,北京,100083)
摘要:提出一种直升机时间域航空电磁发射系统,采用PWM调制技术实现梯形波发射波形的上升沿及平顶段电流可控,提高输出电流的控制精度,解决上升沿、下降沿拖尾的问题,并利用软硬件相结合的方法消除下降沿过冲;研究大功率器件的并联技术和软关断技术,实现大功率器件的动、静态均流;设计双闭环稳压电源,提高发射电流波形的稳定性,改善一次场质量;将CHTEM-I系统应用于野外测试。研究结果表明:CHTEM-I系统的发射磁矩达254 469 A·m2,发射电流上升时间小于2.2 ms,峰值为500 A,下降沿关断时间小于1 ms,具有发射磁矩大、信噪比高、波形稳定性好、反应深层地质信息能力强的特点。
关键词:航空电磁法;PWM调制技术;双闭环;线同步
中图分类号:P631 文献标志码:A 文章编号:1672-7207(2017)06-1552-08
Research on airborne electromagnetic transmitting system of CHTEM-I helicopter-borne time-domain
YU Shengbao1, SUN Changyu1, JIANG Jian1, LIN Jun1, CAO Xuefeng2
(1. College of Instrument Science and Electrical Engineering, Jilin University, Changchun 130026, China
2. China Aero Geophysical Survey and Remote Sensing Center, Beijing 100083, China)
Abstract: A novel helicopter-borne time-domain airborne electromagnetic transmitting system was proposed. The PWM modulation technology was used to realize the ascending segment and the flat segment of the trapezoidal wave transmitter system under control, which could improve the control precision of the output current, and solve the problems of large trailing currents during the ascending and turn-off time. A method combining hardware and software was used to eliminate over-shot of the current falling-edge. Parallel technology and soft switching technology were considered to realize static and dynamic flow of powerful devices. Double closed-loop control technology was proposed to improve the stability of transmitter current waveform and the quality of primary field. CHTEM-I system was applied to geophysical surveys. The result indicates that the transmitted magnetic moment of CHTEM-I system is about 254 469 A·m2, the ascending time of the proposed circuits is lower than 2.2 ms, turn-off time is lower than 1.2 ms, and the peak transmitter current is up to 500 A. The system has bigger transmitted magnetic moment, higher noise-signal ratio and better ability to reflect the geological information in deep layers.
Key words: airborne electromagnetic; PWM modulation technology; double closed-loop; line locking
直升机时间域电磁法(HTEM)是一种以直升机作为载体,并在飞行过程中完成勘探的资源探测方法[1]。其原理是通过在吊舱上的发射线圈中供以几百安的大发射电流,在空间内建立起稳定的磁场,此后迅速关断发射电流,在空间内感应出二次场,接收机通过接收线圈传感器采集二次场感应信号,由电磁场理论解释该响应分析地下矿体的位置、形态、构造等信息[2]。由于直升机具有飞行高度低、飞行间隔密集、机动性好等特点,与固定翼飞机方式相比,具有分辨矿体异常能力更强和空间分辨率更高的优势[3],该方法应用领域涉及金属矿勘查[4]、地表和地下水勘探[5-7]、地质灾害勘察[8-9]、环境监测[10-11]等。直升机时间域航空电磁的物探效果与磁矩、下降沿线性度和波形稳定性等紧密相关。发射电流的磁矩越大,其深层探测能力越强[12];下降沿线性度越高,波形稳定性越好,越能更好地反映矿体近地表信息;在常用的几种TEM发射波形中,采用半正弦波与三角波发射,波形的线性度与稳定性较好,对浅层地质信息的分辨能力较高,半正弦波还可以通过加大峰值磁矩的方法,进行深部探测。采用梯形波与方波发射,发射磁矩大,信噪比高,对深层地质信息的空间分辨能力较强,并可以通过提高波形稳定性、增加补偿线圈的方法减弱on-time期间的一次场影响,实现全波收录[13-14]。目前, Aeroquest公司的AeroTEM系统采用小磁矩的三角波电流发射,通过收录电流上升阶段的感应场获取近地表高导体信息[15],由于发射磁矩的限制,它在探测深度上不能达到预期要求;GeotechLtd公司的VTEM系统采用大磁矩的多边形电流发射,通过收录关断电流后期的感应场反映深层矿体信息[16],由于波形稳定性较差,一次场去除困难,淹没了反映浅层信息的早期信号;Fugro公司的HELIGEOTEM系统[17]采用大磁矩半正弦波发射,通过收录后半部下降沿感应场反映矿体信息,实现了大磁矩、全波收录。国内吊舱式直升机时间域直升机航空电磁勘查系统的研究尚处于空白状态。吉林大学与中国国土资源航空物探遥感中心合作研制的CHTEM-I系统是我国第一套吊舱式直升机时间域航空电磁探测系统,其在大功率、大磁矩、波形稳定性、下降沿线性度、高信噪比、空间分辨能力等方面取得了显著进展。
1 发射系统设计
CHTEM-I发射系统总体结构如图1所示,发射系统由电源单元、控制板、驱动单元、全桥电路和同步控制器等组成。
电源单元取电于直升机28 V/4.5 kW的发电机,由多路系统辅助电源和高压开关电源组成。电源单元采用隔离技术,避免各个模块之间的电源干扰。高压开关电源采用直流斩波控制方式,将28 V直升机直流电源提升为500 V高压。上位机给主控单元设置频率、上升时间、上升电流、平顶段维持时间、维持电流等参数,实现梯形波发射波形的上升沿及平顶段电流可控;主控单元通过内部PWM(pulse width modulation)调制信号产生单元合成所需PWM调制信号,从而驱动大功率开关器件桥路的开通与关断,并产生同步信号来与接收机进行同步。利用主控单元内部的A/D模块对电流进行实时采集和储存,再通过上位机显示发射电流的峰值和关断时间等信息;当产生故障时,驱动单元迅速关断桥路,产生指示信号,主控单元对指示信号进行判断,如果是误触发,将重新打开桥路,否则关断驱动,保护发射机安全。吸收保护单元采用软关断技术来保证桥路安全可靠地工作。

图1 发射系统总体结构图
Fig. 1 Overall structure diagram of transmitting system
2 功率逆变电路设计
2.1 发射波形控制技术
CHTEM-I系统采用的是信噪比高、空间分辨能力强的类梯形波电流发射,上升沿、下降沿所用时间越短,响应程度越强[13-14]。钳位电压越高,上升沿提升速度越快,下降沿延迟时间越短,波形线性度越好[18]。而时间域航空电磁法的发射电流需要几百安培,线圈电阻只有几十毫欧,既要实现陡脉冲发射、大电流快速关断,又要维持平顶段电流的稳定。因此,用电容充放电电路实现高压钳位的常规方法,无法满足设计要求。
发射电路如图2所示,由全桥电路、去过冲电路、吸收电路组成,通过调节开关器件V1和V3的导通占空比,实现梯形波发射波形的可控,通过控制开关器件V5和V6的导通时间,消除下降沿过冲,通过无损吸收电路、RCD吸收电路加强对开关器件的吸收保护。图2中,LR为负载等效模型,E为高压开关电源电压。吸收电路只给出了正向导通开关管V1的无损吸收电路及V4的RCD吸收电路。结合正向开关器件的驱动信号(如图3所示),以正向梯形波为例,进行详细说明。

图2 发射电路框图
Fig. 2 Block diagram of transmitting circuit

图3 发射系统驱动信号及发射电流波形
Fig. 3 Driving signal and transmitter current waveform of launch system
2.1.1 上升沿控制技术
在上升沿期间,开关管V4一直处于导通状态,当调制开关V1导通时,电流通过V1,LR和V4流通,此时线圈两端电压为电源电压;当调制开关V1关断时,电流通过LR,V4及V2的续流二极管流通,此时线圈两端电压为0 V。由PWM调制技术的面积等效原理可知,控制电压U=αE,因此,可以通过控制V1的导通占空比α来得到想要的控制电压U,此时,控制电压U和输出电流I的关系为:
(1)
2.1.2 平顶段控制技术
在平顶段,减小V1导通占空比,实现平顶段电流稳定输出,电流流通路径与上升沿一致,调制方式如图3所示,此时电流基本维持不变,控制电压U=IR。
2.1.3 下降沿控制技术
在下降沿期间,V1和V4关断,线圈中电流通过V2和V3续流二极管续流,线圈两端电压为反向电源电压,线圈中电流为
,
(2)
令式(2)为0,得到关断时间:
(3)
由式(2)可以得出下降沿的斜率为
(4)
一般认为,
>0.95为线性,且钳位电压越高线性度越好。
在下降沿期间,负载能量全部转移到电容C1中,为满足系统安全,应满足
,Uf为IGBT的额定电压,I0为发射电流峰值。
(5)
C1应满足
(6)
在实际使用中,C1应取合理的较大值,以保证较好的稳压效果。
根据课题需要,设计研制1台发射磁矩峰值大于250 kA·m2,发射功率大于2 kW,发射电流的最大峰值为500 A,上升沿时间为2.2 ms,平顶段时间为0.5 ms,下降沿时间小于1 ms的梯形波发射机。取发射线圈L为1.1 mH,R为0.07 Ω。根据以上理论分析,上升沿、平顶段、下降沿的控制电压分别取268,35和500 V。根据PWM调制技术的原理,选取电源电压为500 V,则上升沿与平顶段的占空比应分别为53.6%和7%,电容C1取0.033 F。
由于采用PWM调制技术,在梯形波平顶段存在纹波,纹波由调制频率决定,为了减小其对数据解释的影响,纹波应小于等于2 A。通过仿真得到在调制频率为10 kHz时,纹波为2.1 A,同时兼顾开关损耗,选取10 kHz为调制频率。
图4所示为用matlab仿真得到的线圈电压与电流仿真结果。图5所示为平顶段纹波。

图4 线圈电压与电流仿真波形
Fig. 4 Simulation waveform of coil voltage and current

图5 平顶段纹波
Fig. 5 Ripple wave of flat segment
由仿真结果可以看出,上升沿时间约为2.2 ms,平顶段约为0.5 ms,纹波为2.1 A,下降沿时间约为0.9 ms,与预设值基本一致,线圈两端电压在调制过程中的导通时刻,幅值为E,关断时刻,幅值接近于0 V,下降沿的钳位电压为反向电源电压,实现快速关断,与分析结果一致。
2.1.4 去过冲电路设计
反向过冲所产生的欠阻尼震荡会影响二次场早期形成的信号,形成探测盲区[19],特别是在航空电磁法大电流高压反向关断的情况下,可以形成高达100 A的震荡型过冲,严重影响接收系统数据采集。
结合文献[20]的设计思想,设计了软硬件相结合的新型去过冲电路,将电流互感器测得的电流信号对应的电压信号与基准电压相比较,通过设定双限比较器输入端的电阻比值,使梯形波输出电流在-20~20 A之间时,双限比较器输出为正。此输出信号再与开关管驱动信号结合,由FPGA软件控制,当FPGA检测到上桥臂负跳变和双向比较器正跳变后发出驱动信号。因为梯形波为双向的,所以,要区别开正向和负向的导通信号。图2中去过冲电路的控制原理图如图6所示。
在对去过冲电路进行仿真研究时,电容C2的取值要远大于IGBT的结电容,同时附加电路的阻抗应该小于两端的等效阻抗,基于以上分析,又根据计算方便和容易选取器件的原则,取4组数据(见表1),仿真结果如图7所示。
从图7可以看出工况3的测试效果最好。对应参数为:R1=50 Ω,R2=5 Ω,C2=2.2 μF。

图6 去过冲控制原理图
Fig. 6 Schematic diagram of current overshoot control
表1 去过冲电路各元件参数
Table 1 Component parameters of current overshoot circuit


图7 去过冲仿真结果
Fig. 7 Simulation results of current overshoot
2.2 软关断技术
系统采用软关断技术对桥路进行吸收保护,V2和V4的开关损耗较低,采用RCD吸收电路抑制浪涌电压。高频开关管V1和V3采用新型无损吸收电路,将能量直接回馈给负载,提高了效率。图2中只给出了正向导通开关管V1和V4的吸收保护电路图。
2.2.1 RCD吸收电路
V4关断后,二极管D4通过对电容充电,减小V4两端电压Udc的上升速率,当V4导通时再由R3和V4释放出去。由公式可以得到电容C5为
(7)
式中:IC为流过IGBT的最大电流;t为电压上升限制时间。电阻消耗的功耗为
(8)
吸收的能量要在开关管的最小导通时间Ton内释放出去,此时,
(9)
布局时,每2个开关管配备1组RCD电路,尽量使RCD电路靠近开关管。
2.2.2 无损吸收电路
由式(8)可以看出,开关管V1的功率损耗比V4的高100倍左右,所以在高频部分设计了新型无损吸收电路,将关断时吸入的能量转换给负载,这样较大的提高了效率及可靠性。
如图2所示,无损吸收电路由二极管D1,D2,D3,吸收电容C3,C4和电感L1组成。当V1关断时,D1导通,吸收电容C3充电,减缓了V1两端电压的上升速度,而电容C4的能量经负载线圈LR,V4和D3放电,能量回馈到负载;当V1导通时,二极管D1和D3关断,C3中的能量经V1,C4,D2和L1回路传递,C3,C4和L1组成谐振回路,由于D2的存在,当L1的电流为零时,谐振结束,能量都储存在C4中。整个过程中,消耗在二极管和分布电阻上的能量很少,实现了能量回馈,提高了效率。
因为C3和C4能量相互转换,所以C3=C4,计算方法与C5相同。由于D2的作用,C3、C4的能量交换时间是一个完整谐振周期的一半,而V1的最小导通时间TS必须大于这个时间。电感L1的计算公式为
(10)
布局时,电容C3要紧挨开关管。
2.3 并联大电流发射及均流技术
根据航空瞬变电磁法发射电流大、电压小的特点,采用多个开关器件并联的方法实现大电流发射。选用具有正的温度系数的IGBT,根据负反馈原理实现大功率器件的静态和动态均流。每个并联的IGBT必须具有独立的栅极电阻和泄流电阻,必须保证电路分布参数一致,驱动回路电路分布一致。
3 双闭环稳压开关电源的设计
系统采用提高开关电源稳定性的方法提高发射电流的稳定性,减小发射电流幅度变化。根据课题要求,需要研制了一台最大输出电压500 V,平均功率大于2.1 kW,瞬时功率为250 kV·A,效率大于80%,质量小于20 kg的轻便大功率高压开关电源。系统采用直流斩波控制方式把28 V直升机电源提升到500 V,采用电感、电容谐振电路储能的方式,实现瞬间功率变换达到预期要求,为了维持输出电压的稳定,系统引入了双闭环控制技术,分别为电流内环PI控制方式和电压外环PI控制方式。高压开关电源系统工作原理框图如图8所示。

图8 高压开关电源系统工作原理框图
Fig. 8 Working principle diagram of high voltage switching power supply
图8中,V1,V2,V3,V4是4组MOS开关管,每组由5个MOS管并联而成。与一般的桥式逆变电路不同的是,电路中加入了换向电感Lh,这使电路在空载时仍然处于低损耗的谐振状态,在大电流时进入软开关状态,在电流过大时仍然能很好吸收电压尖峰,从而使电路可靠性加强。滤波电容C与滤波电感Lf构成谐振电路储能,通过控制导通占空比来控制输出电压,器件的占空比为20%。高压开关电源的控制器对输出滤波电容电压和输出滤波电感电流进行实时检测,将输出电压的采样信号与系统设置电压进行比较,得到实际电压与设置电压之间的误差信号,此误差信号经过电压控制器进行PI调节,得到控制输出滤波电感电流的指令电压,与电感电流的采样信号进行比较,得到电感电流与设置电流之间的误差信号,此信号经过电流控制器进行PI调节,得到PWM脉冲信号控制电压,与三角载波电压信号进行比较,得到PWM脉冲信号,最后经过驱动电路,输出PWM驱动脉冲,实现对逆变桥开关管的开通与关断控制,从而实现对输出滤波电容电压的稳定性控制。高压开关电源的实测结果如图9所示。

图9 高压开关电源实测结果
Fig. 9 Measured results of high voltage switching power supply
由图9可以看出:高压开关电源的最大电压约为500 V,纹波幅值小于150 mV,纹波频率大于100 kHz。在野外实验中,发射电流的幅度变化小于0.5%。
4 线同步控制器设计
CHTEM-I探测系统是一种空中勘查仪器系统,接收机安装在直升机机舱内,发射机安装在发射线圈的探头前部,发射机到接收机由40 m长的传输电缆连接,因此,本系统采用控制简单、可靠性高的线同步控制器。FPGA通过内部频率解析单元读取键盘设置的频率参数,并在液晶显示屏上显示出来。程控频率产生单元根据解析的频率参数,对10 kHz信号进行相应分频,产生同步信号,此信号一路通过数字磁耦合隔离和同步线同步接收机,启动采集卡采集,一路经PWM调制信号产生单元合成所需PWM调制信号,驱动逆变电路工作。图10所示为线同步控制方式的控制原理图。
CHTEM-I系统线同步控制器控制简单、无累计误差,实现了高精度25,75和125 Hz的同步信号输出。

图10 线同步控制器控制原理图
Fig. 10 Control principle diagram of line locking controller
5 实测结果
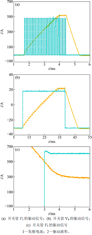
CHTEM-I发射系统是基于大功率开关器件并联技术的大磁矩航空电磁法发射系统,其最大发射磁矩为254 469 A·m2,最大发射频率为2.1 kW的梯形波发射机,探测深度可达300 m。H桥路的4个桥臂采用2个IGBT并联的方式实现大电流发射,IGBT选用具有正温度系数的韩国LS公司的LWH400G603模块,发射线圈的匝数为5匝,直径为15 m,电感L为1.1 mH,R为0.07 Ω。高压开关电源E的最高输出电压为500 V,补偿电容C1为0.033 F,R1为50 Ω/100 W,R2为5 Ω/25 W,C2为2.2 μF,C3=C4=22 nF,C5为47 nF,R3为18 kΩ/5 W,L1为5 uH。去过冲电路检测电流为20 A。调制频率为10 kHz,占空比分别为53.6%和7%,可实现25,75和125 Hz多频率段发射。图11所示为25 Hz下的发射电流与驱动信号波形图。
由图11可以看出:发射电流的上升沿时间为2.2 ms,平顶段维持时间为0.5 ms,纹波小于2 A,下降沿关断时间为0.9 ms,基本无过冲现象。在长时间的野外实验中,发射电流的幅度相对误差小于0.5%,频率相对误差小于0.008%。

图11 发射电流与驱动信号实测结果
Fig. 11 Measured results of transmitting current and driving signal
该系统在河南省桐柏县、黑龙江富锦市进行了地下水水资源分布调查,在内蒙古克什克腾旗进行了矿产资源勘探,测量结果与加拿大Aeroquest公司的AeroTEM系统进行了对比,在发射线圈参数相同的情况下,对比结果如图12所示。
从图12可以看出:CHTEM-I系统的脉冲宽度明显比AeroTEM系统的大,峰值电流相同,在线圈参数相同的情况下,其发射磁矩更大、信噪比更高、反映深层地质信息的能力更强。

图12 发射电流测试结果对比
Fig. 12 Comparison of transmitting current measured results
6 结论
1) CHTEM-I发射系统采用PWM调制技术实现了大电流陡脉冲发射、高压钳位关断,并配合去过冲电路提高了发射电流下降沿的线性度,具有大电流快速关断和持续大功率发射能力;研究了大功率开关器件的并联均流技术、软关断技术;引入了双闭环控制技术,提高了发射波形的稳定性;采用线同步的同步方式,简单可靠且无误差,具有大磁矩、高信噪比、空间分辨能力强的特点。
2) CHTEM-I系统作为我国第一套吊舱式时间域直升机航空电磁勘查系统,该技术具有高灵敏度、高分辨率等特点。
参考文献:
[1] FOUNTAIN D. Airborne electromagnetic systems-50 years of development[J]. Exploration Geophysics, 1998, 29(2): 1-11.
[2] SATTEL D. An overview of helicopter time-domain EM systems[J]. Aseg Extended Abstracts, 2009, 2009(1): 1-6.
[3] SMITH R S, ANNAN A P, MCGOWAN P D. A comparison of data from airborne, semi-airborne, and ground electromagnetic systems[J]. Geophysics, 2012, 66(5): 1379-1385.
[4] MEYERS A H. HoistEM data processing for discovery of high-grade manganese ore under regolith cover[J]. Exploration Geophysics, 2004, 35(4): 272-276.
[5] KIRKEGAARD C, SONNENBORG T O. Salinity distribution in heterogeneous coastal aquifers mapped by airborne electromagnetics[J]. Vadose Zone Journal, 2011, 10(1): 125-135.
[6] VIEZZOLI R A. High-resolution near surface airborne electromagntics? SkyTEM survey for uranium exploration at Pells Range, WA[J]. ASEG Extended Abstracts, 2007(1): 1-4.
[7] VRBANCICH J. An investigation of seawater and sediment depth using a prototype airborne electromagnetic instrumentation system a case study in Broken Bay, Australia[J]. Geophysical Prospecting, 2009, 57(4): 461-771.
[8] PFAIFHUBER A, GRIMSTAD E, DOMAAS U, et al. Airborne EM mapping of rockslides and tunneling hazards[J]. The Leading Edge, 2010, 29(8): 956-959.
[9] FINN C A, ANDERSON E D. Aerogeophysical measurements of hydrothermally altered zones at Mount Adams, Washington[J]. Geological Society of America Abstracts with Programs, 2003, 35(6): 553.
[10] LIPINSKI B A, SAMS J I, SMITH BRUCE D, et al. Using HEM surveys to evaluate disposal of by-product water from CBNG development in the Powder River basin, Wyoming[J]. Geophysics, 2008, 73(3): B77-B84.
[11] PELLERIN L, BEARD L P, MANDELL W. Mapping structures that control contaminant migration using helicopter transient electromagnetic data[J]. Journal of Environmental & Engineering Geophysics, 2010, 15(2): 65-75.
[12] 王世隆, 林君, 王言章, 等. 直升机式航空时间域电磁法全波收录[J]. 吉林大学学报(工学版), 2011, 41(3): 776-781.
WANG Shilong, LIN Jun, WANG Yanzhang, et al. Helicopter-borne TEM full-wave recording[J]. Journal of Jilin University (Engineering and Technology Edition), 2011, 41(3): 776-781.
[13] 陈曙东, 林君, 张爽. 发射电流波形对瞬变电磁响应的影响[J]. 地球物理学报, 2012, 55(2): 709-716.
CHEN Shudong, LIN Jun, ZHANG Shuang. Effect of transmitter current waveform on TEM response[J]. Chinese Journal of Geophysics, 2012, 55(2): 709-716.
[14] 覃庆炎. 发射电流波形变化对固定翼航空瞬变电磁响应的影响[J]. 地球物理学进展, 2013, 28(5): 2673-2679.
QIN Qingyan. Effect of transmitter current waveform variation on the Fixed-wing airborne Transient Electromagnetic response[J]. Progress in Geophys, 2013, 28(5): 2673-2679.
[15] BOYKO W, PATERSON N R. AeroTEM characteristics and field results[J]. The Leading Edge, 2001, 20(10): 1130-1138.
[16] WITHERLY K, IRVINE R, MORRISON E B. The Geotech VTEM time domain helicopter EM system[J]. Seg Expanded Abstracts, 2004(1): 1217-1221.
[17] SMITH R S, LEMIEUX J. Case histories illustrating the characteristics of the HeliGEOTEM system[J]. Exploration Geophysics, 2009, 40(3): 246-256.
[18] 付志红, 周雒维. 瞬变电磁法高动态电流陡脉冲发射电路研究[J]. 中国电机工程学报, 2008, 28(33): 44-48.
FU Zhihong, ZHOU Luowei, Research on high dynamic current steep impulse transmitting circuits for transient electromagnetic method application[J]. Proceedings of the CSEE, 2008, 28(33): 44-48.
[19] 周逢道, 唐红忠, 郭新, 等. 时间域电磁探测发射电流过冲产生原理及抑制[J]. 吉林大学学报(工学版), 2013, 43(4): 1023-1028.
ZHOU Fengdao, TANG Hongzhong, GUO Xin, et al. Current overshoot produce principle and inhibition of transmitter of time domain electromagnetic detection system[J]. Journal of Jilin University (Engineering and Technology Edition), 2013, 43(4): 1023-1028.
[20] 韩冰, 于生宝, 孙晗. 一种新型瞬变电磁发射机去过冲系统设计[J]. 工矿自动化, 2014, 40(3): 45-48.
HAN Bing, YU Shengbao, SUN Han. Design of a new type of overshoot elimination system of transient electromagnetic transmitter[J]. Industry and Mine Automation, 2014, 40(3): 45-48.
(编辑 赵俊)
收稿日期:2016-06-20;修回日期:2016-07-29
基金项目(Foundation item):国家高技术研究发展计划(863计划)项目(2013AA063904-1)(Project(2013AA063904-1) supported by the National High Technology Research and Development Program (863 Program) of China)
通信作者:于生宝,教授,博士生导师,从事功率源技术及其应用研究;E-mail:yushengbao@jlu.edu.cn