J. Cent. South Univ. (2016) 23: 2410-2418
DOI: 10.1007/s11771-016-3300-0

Experiment investigation on visualization and operating characteristics of closed loop plate oscillating heat pipe with parallel channels
SHI Wei-xiu(史维秀)1, 2, PAN Li-sheng(潘利生)3
1. Department of Energy and Power Engineering, Beijing University of Civil Engineering and Architecture, Beijing 100044, China;
2. Beijing Key Lab of Heating, Gas Supply, Ventilating and Air Conditioning Engineering, Beijing 100044, China;
3. State Key Laboratory of High-temperature Gas Dynamics, (Institute of Mechanics, Chinese Academy of Sciences) Beijing 100190, China
Central South University Press and Springer-Verlag Berlin Heidelberg 2016
Abstract: Using ethanol or acetone as the working fluid, visualization of oscillations in steady state was observed visually by high-speed cameras, and temperature oscillating and heat transfer characteristics of closed-loop plate oscillating heat pipe with parallel channels (POHP-PC) were experimentally investigated by varying liquid filled ratios (50%, 70%, 85%), section scales (1 mm×1 mm and 1 mm×1.5 mm), inclination angles, working fluids and heating inputs. It was found that during operating there was mixed flow consisting of plug flow and annular flow in channels of oscillating heat pipe at steady-state. There was an equilibrium position for working fluid of condenser during oscillating, and periodic oscillations occurred up and down in the vicinity of equilibrium position. With heat input increasing, equilibrium position rose slowly as a result of vapor pressure of evaporation. Evaporation temperature oscillating amplitude possessed a trend of small-large-small and frequency trend was of small-large during steady-state. It may be generally concluded that temperature, whether evaporator or condenser, fluctuated sharply or rose continuously when oscillating heat pipe coming to dry burning state. Simultaneously, it was found that temperature difference of cooling water possibly dropped with heat input rising during dry burning state. Thermal resistance of No. 2 with acetone was lower than that of No. 1 during experiments, but No. 2 achieving heat transfer limit was earlier than No. 1. However, with ethanol, thermal resistance of No. 1 and No. 2 were similar with the heating input less than 110-120 W and filling ratios of 50% and 70%. And with filling ratio of 85%, heating transfer performance of No. 2 was better compared to No. 1 during all the experiments.
Key words: closed loop with parallel channels; plate oscillating heat pipe; visualization; temperature oscillating; heat transfer performance; filling ratio; section scale
1 Introduction
With the ongoing miniaturization of electronic components it has come the need for passive, efficient thermal management within high heat flux applications. Although conventionally wicked heat pipes have been demonstrated to be sufficient solutions for many applications, their performance is limited due to their inherent operating limitations and their less-favorable form factors. An alternate solution for passive thermal management, as first introduced by AKACHI [1], is the oscillating heat pipe (OHP). The OHP is wickless and typically exists as either a serpentine-arranged tube or channel engraved on a flat plate–called a flat-plate oscillating heat pipe (FP-OHP). The OHP is partially filled with a working fluid and the channel/tube is made so sufficiently small as to induce surface tension allowing formation of liquid plugs and vapor bubbles. Successful OHP operation occurs by sustaining non- equilibrium conditions that result from an oscillatory pressure field via the constant phase change of the internal working fluid. The ever-changing pressure field and fluid phase induce the chaotic displacement and circulation of the internal working fluid.
As known to us, the performance of an OHP depends on working fluid [2-6], filling ratio [7-9] (total internal liquid volume divided by total internal channel volume), channel geometry [10-11], number of serpentine-arranged turns, operating orientation and heating/cooling methods [12]. Furthermore, the investigation was also carried out by simulation or theory [13-16]. Unlike the tubular OHP, the FP-OHP has a form factor advantageous for high heat fluxes and further miniaturization and has been the topic of numerous experimental investigations. THOMPSON et al [17].investigated a three-dimensional flat-plate oscillating heat pipe (3D FP-OHP) charged with either water or acetone by varying heating areas, cooling temperatures and operating orientations. It was found that the utilization of water as the working fluid generally provided the lowest thermal resistance for all experimental conditions investigated, but–unlike acetone–resulted in more severe temperature fluctuations in the evaporator during localized heating. KHANDEKAR and GROLL [18] experimentally investigated flow pattern variation of OHPs with serpentine-arranged tube. It was found that U-bend was a very important structure for operating, and flow pattern was affected by dimension, heating input and inclination. WANG and LI [19] put forward oscillating heat pipe with parallel channels (shown in Fig. 1) and investigated start up performance. It was found that it can decrease heat input of starting up compared with serpentine- arranged OHP. SHI et al [20] investigated a POHP-PC charged with either ethanol or acetone by varying volume of cooling water, inclination and other factors. The results show that gravity has great influence on heat transfer performances of pulsating heat pipe, when inclination decreased, thermal resistance became larger and heat transfer limit became lower. Heating power and cooling capacity need be matched with each other, and heat transfer limit will become higher with higher match degree, especially on the condition of inclination. LIANG et al [21] investigated a tubal OHP-PC and found that pulsation range of wall temperature was large and heat transfer limitation became narrow when the liquid filling ratio was 50% and inclination angle were 60° and 90° with the same heating power.
The current investigation focuses on visualization and operating temperature performance of POHP-PC for achieving flow pattern of working fluid and heat transfer effects. The effects of working fluid (ethanol or acetone), filling ratio, heat input and operating orientation wereinvestigated. Furthermore, the amplitudes and frequency of temperature oscillations on the evaporator and condenser were observed as a means to further discover the effects of the investigated experimental parameters on heat pipe operation. The following investigation provides a novel structure for application of oscillating heat pipe in electricity cooling and energy recycle, and so on.

Fig. 1 Structure of OHP-PC
2 Experiment setup
The visualization and thermal performance of the POHP-PC were determined using the experimental setup shown in Fig. 2 where, for a given heating input, the flow pattern of working fluid was monitored and temperature was measured while the heat pipe was in either the vertical (bottom-heating) or the other inclinations for both working fluids: ethanol or acetone. Parameters describing working fluid investigated are listed in Table 1.
POHP-PC, shown in Fig. 3, had bulk dimensions of 91.5 mm×182 mm×3 mm and was made by aluminum plate of 3 mm and sealed by bolts mechanical method. Parameters describing flat plate oscillating heat pipe investigated are listed in Table 2. A thin layer of transparent silica film of 0.2 mm was first covered, and then plexiglass panels, on POHP-PC for visualization specimens. However, aluminum of 3 mm was directly covered on heat transfer specimen.

Fig. 2 Experimental setup (1-Vacuum gauge; 2-Faucet; 3- Transformer; 4-Thermal-couple; 5-Data collector; 6-Working fluid injection port; 7-Vacuum port; 8-Tap water tank; 9- Electronic scale)
Table 1 Parameters describing working fluid investigated with vacuum degree of 0.096 MPa


Fig. 3 Plate oscillating heat pipe:
Table 2 Parameters describing flat plate oscillating heat pipe investigated

In all cases, the cooling area was held constant and cooling was performed on two sides while temperature measurements were collected on the top of cooling water tank. However, heating was performed on one side while temperature were collected on the opposite, insulated side. The heating area was 32.5 cm2 with different heating inputs and heating length was held constant for all experiments at 65 mm (±0.5 mm). The heating condition was accomplished by utilizing an copper heating block with three bar heaters embedded along its width. The heating block had bulk dimensions of 65×50×15 mm3 and was held tightly against one side of the POHP-PC with coupling bolt, and thermal grease was filled between heat pipe and heating block. The lower end of heating block was 10 mm far away from the lower end of POHP-PC.
To reduce all thermal contact resistances, thermal paste was applied between all thermal-mating surfaces on the heat pipe and all heater-to-spreader gaps. Sufficient fiberglass insulation was used to encapsulate the test system to reduce heat loss to the environment.
Cooling was accomplished by attaching an plastic cooling water tank to positioned each sides of heat pipe, as shown in Fig. 2. One end of tank was connected with water-tap, and then the cooling water flew to water pool after absorbing heat. The cooling water tank had bulk dimensions of 91.5×60×15 mm3 and had bending channels for in-series flow of temperature-controlled water which was circulated. The condenser length and area was held constant for all experiments at 91.5 mm (±0.5 mm) and 54.9 cm2, respectively. The upper end of tank was 35 mm far away from the upper end of POHP-PC. For the current investigation, the inlet temperature of cooling water was controlled at about 11°C. A tiltable testing frame was used to position the heat pipe with different inclinations including both vertical and horizontal orientation and sufficient fiberglass insulation was used to encapsulate the test frame to reduce heat loss to the environment. Heating and cooling conditions were quantified using evaporator area and condenser area.
As shown in Fig. 2, a total of 6 thermocouples (Type-T, ±0.5 °C) were used for measuring temperatures at specific location. For all experiments, the thermocouples of evaporator, condenser and inlet and outlet of cooling water were respectively numbered as: T1–T2, T3–T4, T5–T6. Thermocouples were held firmly in position via plexiglass plate and bolts. All temperature measurements were collected by a data acquisition unit (HP-34970A) and computer. The unit can not only show and check the real time data but also save the pulsating curves. Heat input was voltage-controlled via a variable transformer. Current and voltage can be directly indicated by ammeter and voltmeter, respectively. Power input was gradually increased step-wise (10-50 W) and, following the input of a higher power input, sufficient time (5-10 min) was allowed for temperature measurements/oscillations to achieve a steady-state. Temperature measurements were then collected for 500-1000 s during the steady-state OHP operation. Heat input to the OHP was calculated by compensating the power input with calculated heat losses to environment. All experiments ceased when the average evaporator temperature exceeded 100-110 °C.
3 Data processing
Thermal resistance and wall temperature were investigated in order to analyze operating effects of POHP-PC.
Thermal resistance is
(1)
where △T is heat transfer temperature difference of evaporation and condenser (°C) and Q is quantity of heat transfer (W).
△T and Q are expressed as
(2)
and
(3)
where
is the average temperature of evaporation (°C);
is the average temperature of condenser (°C);
is the mass flow of cooling water (kg/s); cp is the constant pressure specific heat of cooling water (J/(kg·°C));
is the outlet average temperature of cooling water (°C);
is the inlet average temperature of cooling water (°C).
4 Results and discussion
4.1 Visualization
Figure 4 provides ethanol oscillating distribution of No. 1 at filling ratio of 50% in vertical orientation with cooling water temperature of 11 °C and heat input of 180 W.
In an effort to further investigate working fluid flow pattern, oscillations in steady state was observed visually by high-speed cameras. It was found that there was mixed flow consisting of plug flow and annular flow in channels of oscillating heat pipe on steady-state. On evaporator, working fluid was observed at annular flow of possessing vapor column in center of vertical channels and liquid film in the inner wall of vertical channels. It was also observed that refluxing working fluid became more and came back to evaporator in form of continuousdroplets with heat input increasing. However, working fluid was coexisted of both vapor and liquid in horizontal channels on evaporator, and larger fluctuation can happen when it was heated, and simultaneously, working fluid will randomly came to vertical channels from horizontal channel.

Fig. 4 Ethanol oscillating distribution:
There was a equilibrium position for working fluid of condenser during oscillating, and periodic oscillations occurred up and down in the vicinity of equilibrium position. With heat input increasing, equilibrium position rose slowly as a result of vapor pressure of evaporation. And then, vapor was condensed into liquid during vapor rising and became parts of liquid slug.
Working fluid was continuous between horizontal channels of evaporator and condenser and vertical channels during operating of oscillating heat pipe. As a result of pressure difference of evaporator and condenser, working fluid will randomly came to vertical channels from horizontal channel and brought pressure fluctuation of vertical channels, which will cause the surface fluctuating up and down with high frequency and large amplitude close to equilibrium position. Working fluid of horizontal channel will randomly came again to vertical channels from horizontal channel brought by either working fluid of condenser fluctuating and contacting up to horizontal channel or liquid returning evaporator, and the circular flow was also very dramatically.
4.2 Steady-state temperature oscillations
In an effort to further investigate the effect of working fluid, heating input, filling ratio and orientation on the FP-OHP performance, the temperature oscillations occurring in the evaporator and condenser were observed with No 2. Figures 5 and 6 provide the steady-state temperature oscillations charged with ethanol at filling ratio of 85% in vertical orientation with different heat input, respectively. In order to provide a clearer description of the temperature oscillations that all thermocouples measurements were displayed. As seen in Fig. 5, it resulted in similar temperature oscillations in the evaporator and condenser and this was observed for steady-state heat input of 105-204 W. The condenser temperature oscillations had the same pattern as compared to the evaporator-with temperature rises in the evaporator being accompanied with simultaneous, similar magnitude temperature oscillations in the condenser. It also be observed that the evaporator temperature increased and steady time decreased with heat input increasing, and the temperature difference between evaporator and condenser was decreased. In particular, the peak-to-peak amplitudes increased more in the evaporator relative to the condenser. Evaporator temperature varied litter for heat input from 148 W to 204 W, which indicated that better heat transfer performance-heat can be transferred quickly from evaporator to condenser by working fluid oscillating.

Fig. 5 Temperature oscillations vs. time for FP-OHP charged with ethanol at filling ratio of 85% in vertical orientation
Figure 6 illustrates the local amplification of evaporator temperature oscillations during different heat input from 105 W to 204 W. It may be seen that increase in heat input affected the similarity of evaporator temperature oscillations frequency and peak-to-peak amplitudes. It was also found that lower oscillating amplitudes and frequency was brought by lower heat input of 105 W, which occurred as a result of no severely running of liquid plug and vapor bubble. Working fluid oscillations amplitudes increased with heat input increasing to 148 W; however, oscillating frequency was higher. When heat input increased continuously in 204 W, temperature oscillation occurred the highest frequency and least amplitude, which illustrated the best running state. In short, it is clearly evident that oscillating amplitude possess a trend of small-large-small and frequency trend was of small-large.

Fig. 6 Steady-state temperature oscillations vs. time for FP-OHP with different heat input:
4.3 Dry burning-state temperature oscillations
Figure 7 provides the dry burning-state temperature oscillations charged with ethanol at filling ratio of 70% and inclination of 30° with different heat input.
As shown in Fig. 6, temperature rose slowly occurred in the evaporator with continuous heat input of 69 W when using ethanol. From this, it is clearly evident that the running state of oscillating heat pipe was unstable for inclination of 30°, which resulted in a fact that working fluids cannot flow quickly from condenser to evaporator. Therefore, with heat input rising to 108 W continuously, the evaporator temperature oscillated sharply and increased suddenly as high as 110 °C. At the same time, the condenser temperature also fluctuated rigidly accompanied with temperature difference between inlet and outlet of cooling water dropping. This variation, regardless of evaporator, condenser or cooling water, whether slight or large, can illustrate it coming to dry burning-state.
Figure 8 provides the dry burning-state temperature oscillations charged with acetone at filling ratio of 35% and inclination of 90° with different heat input, respectively. It was found that the oscillating heat pipe was running stably with heat input from 23 W to 69 W- stable at each heat input, however, evaporation temperature rose sharply as high as 75 °C for heat input of 108 W. Then, the evaporator temperature reached to 100 °C with heat input increasing to 146 W. Large fluctuation in evaporator temperature was brought by dry burning of working fluid.

Fig. 7 Dry burning-state temperature oscillations vs. time for FP-OHP charged with ethanol at filling ratio of 70% and inclination of 30°

Fig. 8 Dry burning-state temperature oscillations vs. time for FP-OHP charged with acetone at filling ratio of 35% in vertical orientation
It may be generally concluded that temperature, whether evaporator or condenser, fluctuated sharply or rose continuously when oscillating heat pipe coming to dry burning-state. Simultaneously, it was found that temperature difference of cooling water possibly dropped with heat input rising.
4.4 Influence of sectional dimensions for heating transfer
In general, there was only diameter variation but the same number of channels during investigation of influence of sectional dimensions. Therefore, there was more working fluid with larger cross sections at the same filling ratio, which could cause better heat transfer effect. However, in this work, the OHPs with different cross sectional dimensions possessed the same heat transfer area, that is to say, sectional dimensions and numbers of channels were simultaneously varied. Therefore, the total volume of PHP was nearly constant with varied sectional dimension. Furthermore, influence brought by increasing working fluid can be ignored.
Figures 9 and 10 describe the temperature oscillations of the POHP-PC of No. 1 and No. 2 charged with ethanol at filling ratio of 85% in vertical orientation. It was found that the temperature of No. 2 oscillated steadily and had better heat transfer performances with heating input from 108 W to 185 W, and the highest evaporator temperature achieved the limit of around 95 °C. However, with the same heating input, the evaporator temperature of No. 1 was higher than that of No. 2, which indicated that the heating input can not be transferred quickly from evaporator to condenser for No. 1.

Fig. 9 Temperature oscillations vs. time for POHP-PC of No. 2 charged with ethanol at filling ratio of 85% in vertical orientation

Fig. 10 Temperature oscillations vs. time for POHP-PC of No. 3 charged with ethanol at filling ratio of 85% in vertical orientation
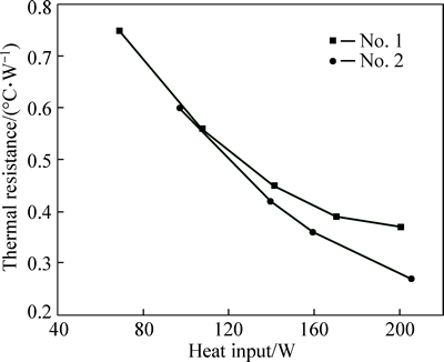
Figure 11 describes the thermal resistance of the POHP-PC of No. 1 and No. 2 charged with acetone with filling ratio of 50% and inclination of 90°. Figures 12-14 provide the thermal resistance of the POHP-PC of No. 1 and No. 2 charged with ethanol by inclination of 90° and filling ratio of 50%, 70% and 85%, respectively.

Fig. 11 Thermal resistance vs. heating input for POHP-PC charged with acetone with filling ratio of 50% and inclination of 90°

Fig. 12 Thermal resistance vs. heating input for POHP-PC charged with ethanol with filling ratio of 50% and inclination of 90°

Fig. 13 Thermal resistance vs. heating input for POHP-PC charged with ethanol with filling ratio of 70% and inclination of 90°

Fig. 14 Thermal resistance vs. heating input for POHP-PC charged with ethanol with filling ratio of 85% and inclination of 90°
From results shown in Fig. 11, it was found that the thermal resistance of No. 2 was lower than that of No. 1 during experiments. For instance, when the heating input was 70 W, the thermal resistance of No. 2 was only around 0.35 °C/W, which was lower as compared to No. 1 of 0.6 °C/W. However, with different heating input, the thermal resistance of No. 2 was firstly dropped and then increased suddenly, and for No. 1, the thermal resistance was dropped continuously during experiments. The results all above indicated that No. 2 achieved heat transfer limit was earlier than No. 1.
As can be seen in Figs. 12-14, the similar conclusions were got with ethanol. The comprehensive performance of No. 2 was better than that of No. 1, especially with higher heating inputs. As shown in Fig. 12, the thermal resistance of No. 2 got to 0.35 °C/W, but that of No. 1 was higher to 0.45 °C/W with the same heating input of 110 W. And, thermal resistance of No. 1 and No. 2 is similar with the heating input less than 110-120 W and filling ratios of 50% and 70%. And with filling ratio of 85%, the heating transfer performance of No. 2 was better compared to No. 1 during all the experiments.
Lots of factors, that were flow resistance, plug-liquid distribution and heat transfer area, were brought by different cross-sectional dimensions. And the smaller the cross-sectional dimension/hydraulic diameter was, the larger the flow resistance/pressure loss was, which was unfavorable to starting up and running for OHP. However, vapor-liquid distribution influenced by surface tension was easier got with smaller hydraulic diameter. And with continuous heating input, the progress of vapor bubble generation, expansion, combination and broken was speeded up, which was conductive to starting up and operating. In addition, the larger heating transfer area can be caused by the smaller hydraulic diameter. Therefore, the heating transfer performance with different hydraulic diameters was determined by the above factors.
With low heating input, flow resistance played a leading role compared to the other two factors. However, operating power of OHP was increasing with heating input increasing, which can bring more vapor-liquid and larger pressure difference between evaporator and condenser. And the influence of surface tension was more important compared to flow resistance with heating input increasing. Therefore, thermal resistance of No. 2 was lower than that of No. 1. With higher filling ratio of 85%, there was no enough space for vapor, and less vapor-liquid were generated with greater hydraulic diameter, which leaded to smaller circulating pressure, and so, heating performance of No. 2 was better than No. 1.
5 Conclusions
1) There is mixed flow consisting of plug flow and annular flow in channels of oscillating heat pipe on steady-state. There is an equilibrium position for working fluid of condenser during oscillating, and periodic oscillations occurr up and down in the vicinity of equilibrium position. With heat input increasing, equilibrium position rose slowly as a result of vapor pressure of evaporation.
2) Evaporation temperature oscillating amplitude possesses a trend of small-large-small and frequency trend was of small-large during steady-state.
3) It may be generally concluded that temperature, whether evaporator or condenser, fluctuated sharply or rose continuously when oscillating heat pipe coming to dry burning-state. Simultaneously, it is found that temperature difference of cooling water possibly dropped with heat input rising.
4) Thermal resistance of No. 2 with acetone is lower than that of No. 1 during experiments, but No. 2 achieved heat transfer limit is earlier than No. 1.
5) With ethanol, thermal resistance of No. 1 and No. 2 is similar with heating input less than 110-120 W and filling ratios of 50% and 70%. And with filling ratio of 85%, the heating transfer performance of No. 2 is better compared to No. 1 during all the experiments.
References
[1] AKACHI H. Structure of a heat pipe: US, 4921041[P]. 1990.
[2] HU Jian-jun, XU Jin-liang. Experimental study of pulsating heat pipe with mercury and water as working fluid [J]. Journal of Chemical Industry and Engineering, 2008, 59(5): 1083-1089. (in Chinese)
[3] LIN Zing-rong, WANG Shuang-feng, ZHAGN Wei-bao, CHEN Jin-jian. Heat-transport capability of pulsating heat pipe enhanced by functional thermal fluids [J]. Journal of Chemical Industry and Engineering, 2009, 60(6): 1373-1379. (in Chinese)
[4] WANG X H, ZHEGN H C, SI M Q, HAN X H, CHEN G M. Experimental investigation of the influence of surfactant on the heat transfer performance of pulsating heat pipe [J]. International Journal of Heat and Mass Transfer, 2015, 83: 586-590.
[5] MOHAMMADI M, MOHAMMA M, SHAFII M B. Experimental investigation of pulsating heat pipe using ferro-fluid [J]. Journal of Heat Transfer, 2012, 134: 1-3.
[6] QU Jian, WU Hui-ying. Thermal performance comparison of oscillating heat pipes with SiO2/water and Al2O3/water nanofluids [J]. International Journal of Thermal Sciences, 2011, 50: 1954-1962.
[7] LIN Zi-rong, WANG Shuang-feng, CHEN Jin-jian. Experimental study on effective range of miniature oscillating heat pipes [J]. Applied Thermal Engineering, 2011, 31: 880-886.
[8] HENADRI V A, GUPTA A, KHANDEKAR S. Thermal radiators with embedded pulsating heat pipes: Infra-red thermography and simulations [J]. Applied Thermal Engineering, 2011, 31: 1332-1346.
[9] SHAO Wei, ZHAGN Yu-wen. Effects of film evaporation and condensation on oscillatory flow and heat transfer in an oscillating heat Pipe [J]. Journal of Heat Transfer, 2011, 133: 1-11.
[10] THOMPSON S M, MA H B, WILSON C. Investigation of a flat-plate oscillating heat pipe with Tesla-type check valves [J]. Experimental Thermal and Fluid Science, 2011, 35: 1265-1273.
[11] SUPIRATTANAKUL P, RITTIDECH S, BUBPHACHOT B. Application of a closed-loop oscillating heat pipe with check valves (CLOHP/CV) on performance enhancement in air conditioning system [J]. Energy and Buildings, 2011, 43: 1531-1535.
[12] XIAN Hai-zhen, XU Wen-jin, ZHANG Yu-ning, DU Xiao-ze, YANG Yong-ping. Experimental investigations of dynamic fluid flow in oscillating heat pipe under pulse heating [J]. Applied Thermal Engineering, 2015, 88: 376-383.
[13] CHEN Yong-ping, ZHU Wang-fa, ZHAGN Cheng-bin. Thermal characteristics of heat pipe with axially swallow-tailed microgrooves [J]. International Journal o f Chemical Industry and Engineering, 2010, 18 (2): 185-193.
[14] MA Yong-xi, ZHANG Hong. Analysis of heat transfer performance of oscillating heat pipes based on a central composite design [J]. Chinese Journal of Chemical Engineering, 2006, 14 (2): 223-228.
[15] MA Qiang, ZHANG Ying, ZENG Jian-bang, HAN Jing-xiao, JIA Guo-rui. Lattice-boltaman simulation for bubble pulsate flow in capillary tube [J]. Journal of Chemical Industry and Engineering, 2011, 62(11): 3101-3108. (in Chinese)
[16] YIN D, RAJAB H, MA H B. Theoretical analysis of maximum filling ratio in an oscillating heat pipe [J]. International Journal of Heat and Mass Transfer, 2014, 74: 353-357.
[17] THOMPSON S M, CHENG P, MA H B. An experimental investigation of a three-dimensional flat-plate oscillating heat pipe with staggered microchannels [J]. International Journal of Heat and Mass Transfer, 2011, 54: 3951-3959.
[18] KHANDEKAR S, GROLL M. An insight into thermo-hydrodynamic coupling in closed loop pulsating heat pipes [J]. International Journal of Thermal Sciences, 2004, 43: 13-20.
[19] WANG Yu, LI Wei-yi. Operation performance of a closed loop pulsating heat pipe with parallel channels [J]. Journal of Chinese Society of Power Engineering, 2011, 31(4): 273-277. (in Chinese)
[20] SHI Wei-xiu, PAN Li-sheng, LI Wei-yi. Experiment study on influence of inclination and cooling condition on heat transfer performance of closed loop plate pulsating heat pipe with parallel channels [J]. Journal of Chemical Industry and Engineering, 2014, 665(2): 532-537. (in Chinese)
[21] LIANG Yu-hui, LI Wei-yi, SHI Wei-xiu. Effect of inclination angle and liquid filling ratio inclination on heat transfer characteristics of parallel type pulsating heat pipe [J]. Journal of Chemical Industry and Engineering, 2011, 62(S2): 46-51. (in Chinese)
(Edited by DENG Lü-xiang)
Foundation item: Project(51306198) supported by the National Natural Science Foundation of China; Project(NR2013K07) supported by Beijing Key Lab of Heating, Gas Supply, Ventilating and Air Conditioning Engineering, China; Project( 331614013) supported by Beijing University of Civil Engineering and Architecture, China; Project(00921915023) supported by Organization Department of Beijing, China
Received date: 2015-06-30; Accepted date: 2016-01-18
Corresponding author: SHI Wei-xiu, PhD, Lecturer; Tel: +86-10-68322133; E-mail: shiweixiu@bucea.edu.cn