网络首发时间: 2015-04-07 09:26
稀有金属 2015,39(11),1043-1047 DOI:10.13373/j.cnki.cjrm.2015.11.014
Mg-Zr合金固溶体的价电子结构分析
李飞 钱守龙 朱庆丰 李磊 宫国彭
辽宁石油化工大学机械工程学院
东北大学材料电磁过程研究教育部重点实验室
辽宁石油化工大学顺华能源学院
摘 要:
基于固体与分子经验电子理论(EET),分析了Mg-Zr合金固溶体的价电子结构,计算了表征合金力学性能的价电子结构参数(VESP)最强共价键上共用电子对数统计值(n'A),晶胞中可能存在的原子状态组数(σN),相界面上共价电子密度差统计值(Δρ')及相界面中可能存在的原子状态组数(σ)。结果表明:Mg-Zr合金固溶体晶胞的最强共价键上共用电子对数统计值(n'_AMg-Zr)值为0.12984,明显大于纯Mg中对应的数值(0.10991),相应的原子状态组数σNMg-Zr(9)>σNMg(1),表明Zr元素固溶产生了显著的固溶强化效果。而合金固溶体中各相界面上共价电子密度差统计值的关系为Δρ'Mg/Mg-Zr=16.5541>Δρ'~(Mg-Zr/Mg-Zr)=3.8673>Δρ'Mg/Mg=0,相应的的原子状态组数σ(Mg-Zr/Mg-Zr)=45>σMg/Mg-Zr=9>σMg/Mg=1;Δρ'值的增大,说明合金元素Zr的加入提高了基体界面的应力,使该处的位错密度增加,因此界面和基体被强化了;而σ值的增多,表明Zr的溶入促使合金固溶体中含Zr晶胞界面上的电子密度连续性增强,导致错位的运动能力增强,使合金的塑性提高,降低了应力腐蚀敏感性。合金元素Zr使Mg-Zr合金固溶体的n'A值增大,Δρ'值提高,σ值上升,是固溶强化和界面强化综合作用的结果。
关键词:
Mg-Zr合金;固溶强化;固体与分子经验电子理论;价电子结构;统计值;
中图分类号: TG146.22
作者简介:李飞(1979-),男,辽宁沈阳人,博士研究生,研究方向:材料的电子理论研究;E-mail:lf0082003@163.com;;朱庆丰,副教授;电话:024-83687734;E-mail:zhuqingfeng@epm.neu.edu.cn;
收稿日期:2014-04-18
基金:国家自然科学基金项目(51201029,51204053)资助;
Valence Electron Structure Analysis of Mg-Zr Alloy Solid Solution
Li Fei Qian Shoulong Zhu Qingfeng Li Lei Gong Guopeng
School of Mechanical Engineering,Liaoning Shihua University
Key Laboratory of Electromagnetic Processing of Materials,Ministry of Education,Northeastern University
Shunhua Energy Institute,Liaoning Shihua University
Abstract:
Based on empirical electron theory of solids and molecules( EET),valence electron structure of Mg-Zr alloy solid solution was analyzed,and the statistical value of shared electron pair number of the strongest covalent bond( n'A),the group number of the possible atom state in cell( σN),the statistical of covalent electron density differences at different types of phase interface( Δρ') and the group number of the possible atom state in the phase interface( σ) which characterized the mechanical properties of Mg-Zr alloy were calculated. The results showed that the statistical value of shared electron pair number of the strongest covalent bond( n'_AMg-Zr) of Mg-Zr solid solution was 0. 12984,which was significantly greater than that of pure Mg( 0. 10991). Moreover,the corresponding group number of atom state σNMg-Zr(9)>σNMg(1),thus indicating that the solution of Zr element produced a significant solid solution strengthening effect. And the relationship among the statistical value of covalent electron density differences at different types of phase interface in the alloy was that Δρ'Mg/Mg-Zr=16.5541>Δρ'~(Mg-Zr/Mg-Zr)=3.8673>Δρ'Mg/Mg=0,while the corresponding group number of sets of the atom state was as follows: σ(Mg-Zr/Mg-Zr)=45>σMg/Mg-Zr=9>σMg/Mg=1; the increase of Δρ' value indicated that the addition of alloying elements Zr improved the interface stress and increased the dislocation density; as a result,both of the phase interface and matrix were strengthened; while the increase of σ value indicated that the solution of Zr into matrix promoted the continuity of electron density at the interface of Zr contained unit cell,enhanced the mobility of dislocation,improved the ductility of alloy and reduced the stress corrosion sensitivity. The alloy element Zr increased the value of n'A,Δρ' and σ of Mg-Zr alloy,which could be attributed to the solution strengthening and the interface strengthening.
Keyword:
Mg-Zr alloy; solution strengthening; empirical electron theory of solids and molecules; valence electron structure; statistical value;
Received: 2014-04-18
Mg-Zr合金因具有密度低、比强度高、良好的阻尼性能、铸造性能及综合的力学性能被广泛应用于航空、航天及国防等尖端领域[1]。由于合金中Zr的固溶使其强度和硬度明显提高,起到了固溶强化作用,同时又改善了合金的塑性和耐蚀性能。 但多数研究[2 - 4]只停留在实验-测试-总结的宏观认识上,未对合金元素的微观作用机制给出更合理的解释。为了进一步揭示合金元素的微观作用机制,可以深入到电子结构层次,关于Mg-Zr合金的电子理论还很少有人进行系统研究。文献[5 - 6] 利用固体与分子经验电子理论( EET)[7 - 8]较好地讨论了Mg合金的力学性能,但是在确定最可几值时并未给出合理的依据。为了解决这一问题,文献[9 - 13]提出了用“价电子结构参数统计值”代替 “最可几值”方法,并应用于钛合金相变、非调质钢等力学性能计算中,得到了令人满意的结果。因此,本文基于EET理论对Mg-Zr合金固溶体的价电子结构进行分析,用价电子结构参数统计值来分析Zr对Mg-Zr合金力学性能影响的微观机制, 进而为Mg-Zr合金的深入应用提供理论基础。
1Mg及Mg-Zr晶胞的键距差( BLD) 模型及键络分析
合金元素Zr加入到Mg基体后将占据Mg原子的位置形成置换固溶体。按照EET理论,Mg-Zr合金固溶体可认为由理想的不含Zr晶胞( 纯Mg晶胞) 和含Zr晶胞( Mg-Zr晶胞) 堆砌而成,即“偏聚晶胞模型”[14 - 15]。合金元素的增加只能增加晶胞的个数,不能无限增加晶胞类型。合金的性质由这些不同类型的所有晶胞决定。它的价电子结构可视为纯Mg晶胞和Mg-Zr晶胞价电子结构的混合。 因此,以下对两晶胞( 亦称相结构单元) BLD模型及键络进行分析。
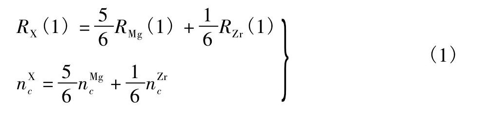
Mg为密排六方晶体结构,空间群为P63/ mmc ( No. 194) ,25 ℃时的晶格常数为a = 0. 32092 nm, c = 0. 52105 nm[1]。其晶胞内的原子排列及键络分布如图1( a) ,该晶胞内共有4条不可忽略的共价键,其键名Dnuα- v( α = A,B,C,D; μ 和v代表形成 α 键的任意两个原子) 、实验键距Dα和等同键数Iα见表1。Mg-Zr晶胞系Zr原子溶入Mg晶格中形成的,由于Zr在Mg中的最大固溶度为3. 8% ( 质量分数)[1],所以可以假设只有一个Zr原子溶入Mg晶胞中且占据位置是任意的。这样Mg-Zr晶胞中的原子是一种由Mg,Zr原子混合成的平均原子X,即X = 5 /6Mg + 1 /6Zr。因此,Mg-Zr晶胞具有与Mg相同的空间结构及原子排布( 只是晶格常数改变) ; 在价电子结构计算时以Mg的晶格常数为基础,用原子状态的变化反映晶格常数的改变。于是Mg-Zr晶胞的BLD模型如图1 ( b) ,其共价键名、 实验键距及等同键数与Mg晶胞相应参数的数值相同; 而相应的单键半距RX( 1) 、共价电子数ncX为Mg,Zr原子的加权平均值,如下:

2 Mg-Zr合金固溶体中晶胞的价电子结构参数统计值计算
2. 1Mg晶胞的价电子结构参数统计值计算
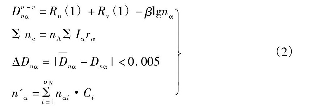
通过上面的分析与处理,利用文献[9 - 13]给出的价电子结构参数统计值计算方法,可以很容易计算出Mg晶胞中共价键上价电子结构参数的统计值,计算方程如下:

图1 Mg及Mg-Zr晶胞的BLD模型Fig. 1 BLD models of ( a) Mg and ( b) Mg-Zr cell
表1 Mg及Mg-Zr晶胞的共价键名、键距及等同键数Table 1Bond name,bond length and equivalent bond number of Mg and Mg-Al cell 下载原图

表1 Mg及Mg-Zr晶胞的共价键名、键距及等同键数Table 1Bond name,bond length and equivalent bond number of Mg and Mg-Al cell

式中,Dnuα- v,Ru( 1) ,Rv( 1) ,Iα与上文出现的字母含义相同; β 为键距参数[8],这里取0. 0710 nm; nα为 α( = A,B,C,D) 共价键上的共用电子对数; nA为最强共价键上共用电子对数; n'α为nα的统计值; nαi为第i种原子组态上的nα值; nc为Mg原子的共价电子数; rα为各键距之差导出以最强共价键上共用电子对数nA为单位的共用电子对数之比,即rα= nα/ nA; σN为晶胞中可能存在的原子状态组数; Ci为第i种原子组态出现的概率,Ci= 1 / σN; nα为成键两原子间形成的理论键距; Dnα为成键两原子间形成的实验键距; ΔDnα为理论键距与实验键距之差的绝对值,即为键距差。由此,利用式( 2) 可计算纯Mg晶胞的价电子结构参数统计值n'A,其结果列于表2。
2. 2 Mg-Zr晶胞的价电子结构参数统计值计算
同理,利用式( 1) ,( 2) 可计算Mg-Zr晶胞的价电子结构参数统计值n'A,其结果列于表3。
3 Mg-Zr合金固溶体中相界面的价电子结构参数统计值计算
由于Zr的溶入使得Mg-Zr合金固溶体中存在着3种界面形式,即Mg晶胞内的同相界面Mg( 0001)/ Mg( 0001),Mg-Zr晶胞内的同相界面Mg- Zr( 0001)/ Mg-Zr( 0001),Mg与Mg-Zr晶胞间的异相界面Mg( 0001)/ Mg-Zr( 0001)。
3.1Mg晶胞(0001)晶面上的价电子结构参数
Mg晶胞( 0001) 晶面的价电子结构模型如图2( a)所示。晶面上的共价键名、实验键距及等同键数分别为,
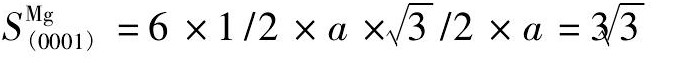
晶面( 0001) 面积为
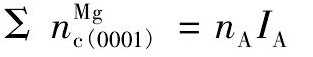
晶面上的共价电子总数
( nA可由BLD法求得) ; 由此可计 算Mg晶胞( 0001 ) 晶面上的 共价电子 密度
表2纯Mg晶胞的价电子结构参数统计值n'ATable 2 Statistical value of valence electron structure pa- rameter of n'Ain pure Mg cell 下载原图

表2纯Mg晶胞的价电子结构参数统计值n'ATable 2 Statistical value of valence electron structure pa- rameter of n'Ain pure Mg cell
表3 Mg-Zr晶胞的价电子结构参数统计值n'ATable 3 Statistical value of valence electron structure pa- rameter of n'Ain pure Mg-Zr cell 下载原图

表3 Mg-Zr晶胞的价电子结构参数统计值n'ATable 3 Statistical value of valence electron structure pa- rameter of n'Ain pure Mg-Zr cell

图2 ( 0001) 晶面的价电子结构模型Fig. 2 Valence electron structure models of ( a) Mg ( 0001 ) and ( b) Mg-Zr ( 0001) crystal plane
3. 2 Mg-Zr晶胞( 0001) 晶面上的价电子结构参数
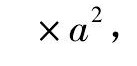
Mg-Zr晶胞 ( 0001 ) 晶面的价电子结构模型如图2( b) 所示。晶面上的共价键名、实验键距及等同键数为
晶面( 0001) 的面积
及共价电子总数
( nA可由BLD法求得) 。由此可计算Mg-Zr晶胞( 0001) 晶面上的共价电子密度
3. 3
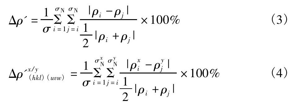
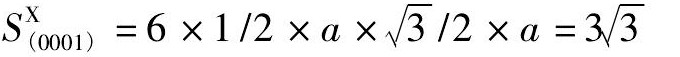
相界面价电子结构参数统计值计算文献[12]分别给出了同相界面和异相界面上共价电子密度差统计值 Δρ'和
的计算公式,即

式中,i,j分别为相中原子可能存在的状态; ρi,ρj分别为原子处于第i,j状态时,相晶面上的共价电子密度; x,y分别代表合金中任意的两个相, ( hkl) ,( uvw) 分别代表x,y相中的晶面; ρix,ρjy分别为原子处于第i,j状态时,x,y相界面上的共价电子密度; σN代表相中可能存在的原子状态组数; σNx,σNy分别代表x,y相中可能存在的原子状态组数; σ 为相界面中可能存在的原子状态组数。至此,利用式( 3) ,( 4) 及3. 1,3. 2节中的计算结果可以计算Mg( 0001)/ Mg( 0001),Mg-Zr( 0001)/ Mg-Zr( 0001), Mg( 0001)/ Mg-Zr( 0001)相界面共价电子密度差的统计值,见表4。
4结果与讨论
Mg-Zr合金中的Zr元素进入Mg晶胞形成置换固溶体,从而使合金中存在着两种不同形式的晶胞( 纯Mg晶胞和Mg-Zr晶胞) 以及3种不同形式的界面( Mg( 0001)/ Mg( 0001),Mg-Zr( 0001)/ Mg-Zr( 0001)同相界面,Mg( 0001)/ Mg-Zr( 0001)异相界面) 。如果认为相( 晶胞) 中最强共价键上共用电子对数的统计值n'A值愈大,相的结合能力愈强,即n'A值越大,固溶强化越好; 相界面的共价电子密度差值越大,界面应力( 涵盖位错产生的应力) 越高,界面强化效果越好; 相界面处使电子密度保持连续的原子状态组数 σ 值越多,界面上电子密度的连续性越不容易遭到破坏,相的塑性及耐蚀性越好。显然n'A, Δρ'及 σ 等价电子结构参数可以表征合金的力学性能。
由表2及表3的计算结果可以看出,Mg-Zr晶胞最强共价键上的n'AMg-Zr值( 0. 12984) 明显大于纯Mg晶胞的n'AMg值( 0. 10991) ,所以元素Zr固溶在Mg中能产生显著的固溶强化效果。而由表4可知, 相界面上共价电子密度差的统计值依次为 Δρ'Mg / Mg-Zr= 16. 5541 > Δρ'Mg-Zr / Mg-Zr= 3. 8673 > Δρ'Mg / Mg= 0,相界面处使电子密度保持连续的原子状态组数依次为 σMg-Zr / Mg-Zr= 45 > σMg / Mg-Zr= 9 > σMg / Mg= 1。Δρ'值的增大,说明合金元素Zr的加入提高了基体界面的应力,使该处的位错密度增加, 因此界面和基体被强化了; 而 σ 值的增多,表明Zr的溶入促使合金固溶体中含Zr晶胞界面上的电子密度连续性增强,导致错位的运动能力增强,使合金的塑性提高,降低了应力腐蚀敏感性。再次从表2 ~ 4中价电子结构参数的变化规律可以获知, Mg的 σN,σ 值均为1,Δρ'值为0,说明满足BLD条件的实际原子状态只有1种,相的稳定性差( 与耐蚀性相关) ,界面结合能力低,塑性极差,参数计算结果与纯Mg的实际性能相吻合; 而Mg-Zr合金固溶体中的n'A,σN,Δρ'及 σ 值均要高于Mg基体中相应参数的数值,表明合金的强度硬度提高的同时又增加了塑性及耐蚀性能,这是一种综合性能提高的表现,与文献给出的实际合金力学性能( 见图3[1 - 2]和图4[1,16]所示) 符合较好。
表4 Mg( 0001)/ Mg( 0001),Mg-Zr( 0001)/ Mg-Zr( 0001),Mg( 0001)/ Mg-Zr( 0001)相界面共价电子密度差的统计值 Δρ' Table 4 Statistical values of valence electron structure parameters of Δρ' in Mg( 0001)/ Mg( 0001), MgZr( 0001)/ Mg-Zr( 0001)and Mg( 0001)/ Mg-Zr( 0001)phase interface 下载原图

表4 Mg( 0001)/ Mg( 0001),Mg-Zr( 0001)/ Mg-Zr( 0001),Mg( 0001)/ Mg-Zr( 0001)相界面共价电子密度差的统计值 Δρ' Table 4 Statistical values of valence electron structure parameters of Δρ' in Mg( 0001)/ Mg( 0001), MgZr( 0001)/ Mg-Zr( 0001)and Mg( 0001)/ Mg-Zr( 0001)phase interface
由于所计算Mg-Zr合金固溶体的价电子结构参数n'A,σN,Δρ',σ 均较Mg基体的相应数值大, 但增加的量与其他金属或合金[9 - 13]相应的价电子结构参数值相比却低很多,所以其力学性能及耐蚀性虽有所改善,但提高的幅度不大,这也就是为什么Mg及其合金力学性能不是太高的真正原因。

图3 Zr含量对Mg-Zr合金力学性能的影响Fig. 3 Effect of Zr content on properties of Mg-Zr alloy

图4 Zr含量对Mg-Zr合金强度和硬度的影响Fig. 4Effect of Zr content on strength and hardness of Mg- Zr alloy
综上所述,合金元素Zr使Mg-Zr合金固溶体的n'A值增大,Δρ'值提高,σ 值上升,是固溶强化和界面强化综合作用的结果。
5结论
合金元素Zr的固溶使Mg-Zr合金固溶体的n'A,Δρ'值增大,从而提高了合金的强度,是由固溶强化和界面强化共同作用的结果; 而相应的可能存在的原子状态组数 σ 值增多,导致位错的运动能力增强,改善了合金的塑性和耐蚀性。由于Mg-Zr合金固溶体中相应的价电子结构参数n'A, Δρ',σ 值均较Mg基体增加,但增加的量不是很多,虽然合金的力学性能及耐蚀性有所改善,但提高的幅度不大,从而揭示了Mg及其合金力学性能不是很高的实质。