压力影的成因机制及其递进应变的测量
来源期刊:中南大学学报(自然科学版)1990年第4期
论文作者:彭少梅
文章页码:352 - 361
关键词:有限单元法; 有限; 增量; 应变/纤维状压力影; 同构造; “裂开-愈合”机制
Key words:finite element method; finite; increment; strain/fibrous pressure shadows; syntectonic; “crack-sealing”mechanism
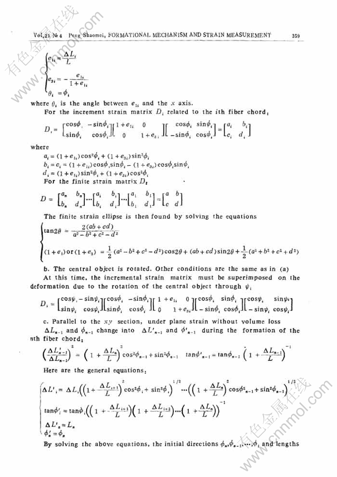
摘 要:根据北京西山压力影构造中核心矿物的三种原始位态。设计了三种二维弹塑性有限元模型。从而解决了压力影形成过程中的三个基本问题:a.核心矿物是否旋转;b.影中矿物就位的空间是如何形成的;c.影中矿物的物质来源。同时,根据北京西山压力影构造的同构造变形和生长特征,本文修正了Ramsay等(1983)的压力影“刚性纤维模型”。进而用图示法建立了不同应变状态下纤维束的几种可能模型。然后,本文建立了两大系列的利用同构造纤维状压力影进行有限应变和增量应变测量的计算公式,并将其编译成计算机程序。
Abstract: According to the three kinds of orientation of the central object in pressure shadow in theWestern Hill,Beijing,three types of two-dimensional elasticoplastic finite element models havebeen constructed in order to gain a clear idea of the three basic problems during the formation ofpressure shadows,i.e.a.whether the central object is rotated or not,b.the forming of spaces infilledwith shadow minerals,and c.the material origins of shadow minerals.Furthermore,according to thegrowth and the syntectonic deformation features of pressure shadows in the Western Hill,Beijing,the author has revised the“rigid fiber model”of pressure shadows proposed by Ramsay etc.Atthe same time,this paper diagrammatizes several possible shapes of fibrous bunch(i.e.thewhole pressure-shadow)under different strain states.Then,this paper establishes two series offormulae to evaluate both the finite strain and the progressive strain of syntectonic fibrous pres-sure shadows;and changes them into computer programs.









