文章编号:1004-0609(2009)03-0543-06
金属纳米微粒晶体结构的稳定性及其结合能
李业军1, 2,齐卫宏1, 2,黄伯云3,汪明朴1, 2
(1. 中南大学 材料科学与工程学院,长沙 410083;
2. 中南大学 教育部有色金属材料科学与工程重点实验室,长沙 410083;
3. 中南大学 粉末冶金国家重点实验室,长沙 410083)
摘 要:建立了金属纳米微粒的结合能模型,该模型以微粒尺寸、形状因子和密堆因子为主要参数。根据该模型计算V、Cr、Nb、Mo、Ta、W和Fe元素纳米微粒的结合能。结果表明:一定形状下,在一定的临界尺寸时各纳米微粒bcc结构的结合能和fcc结构的结合能相等;当微粒尺寸大于该临界尺寸时,bcc结构更稳定,小于该尺寸时,fcc结构更稳定。进一步的计算表明,球形和正四面体形可以看作近正多面体形的两个极限,多面体形微粒发生结构转变的临界尺寸介于两个极限尺寸之间,与文献中报道的结果一致。
关键词:金属纳米微粒;结构稳定性;结合能;形状效应;尺寸效应
中图分类号:O 0482.2;TG 111.5 文献标识码:A
Stability of crystal structures of metallic nanoparticles and their cohesive energy
LI Ye-jun1, 2, QI Wei-hong1, 2, HUANG Bai-yun3, WANG Ming-pu1, 2
(1. School of Materials Science and Engineering, Central South University, Changsha 410083, China;
2. Key Laboratory of Non-ferrous Materials Science and Engineering, Ministry of Education,
Central South University, Changsha 410083, China;
3. State Key Laboratory of Powder Metallurgy, Central South University, Changsha 410083, China)
Abstract: A model was developed to account for the size, shape and structure dependent cohesive energy of metallic nanoparticles. The cohesive energies of V, Cr, Nb, Mo, Ta, W and Fe were calculated. The results show that the cohesive energy of nanoparticles of bcc structure is the same as that of fcc structure at the critical size and specific shape. When the nanoparticle size is larger than the critical size, the nanoparticles in bcc structure are more stable, but when the nanoparticle size is less than the critical value those in fcc structure are more stable. Furthermore, as the nanoparticles is close to the polyhedral shape, the critical size of polyhedral shape lies in the middle of spherical and tetrahedral shape, which is consistent with the experimental and other theoretical predictions.
Key words: metallic nanoparticles; phase stability; cohesive energy; size effect; shape effect
材料的结构决定性能。研究金属纳米微粒在小尺寸状态下的晶体结构稳定性,可以拓展人们对纳米微粒更深层次的认识,并对于纳米微粒的制备和实际应用有重要的参考价值。实验表明,当纳米微粒尺寸降低时,某些金属元素纳米微粒的稳定结构将发生转 变[1?5],该转变可以通过比较不同结构的结合能或自由能[6?9]来讨论。结合能的大小表征了材料中原子间所成键的强弱,通过比较不同结构结合能的大小就能够判定一定热力学条件下结构的相对稳定性。因此,从结合能角度判定纳米微粒的结构稳定性,建立起精确的结合能模型是非常关键的问题。
TOMANEK等[9]通过电子理论推导了计算不同结构纳米微粒结合能的模型,预见块体为bcc结构的V、Cr、Nb、Mo、Ta和W金属元素的纳米微粒随尺寸降低到一定值时,其稳定结构将由bcc结构转变为fcc结构,这种稳定结构的理论预测被HUH等[5]在实验中证实。近年来,基于表面效应的考虑,国内外研究者提出很多描述纳米微粒结合能的模型,如BOLS模 型[10]、潜热模型[11]、液滴模型[12]和BE模型[13]等。其中BE模型为本课题组建立,该模型预测的关于Cr纳米微粒结构转变的临界尺寸与实验值一致[8]。
本文作者在前期工作的基础上,通过考虑纳米微粒的表面原子和内部原子的配位数不同、微粒形状和结构的差异,建立了金属纳米微粒的结合能模型。通过该模型讨论了球形和正四面体形V、Cr、Nb、Mo、Ta、W和Fe纳米微粒的结构稳定性,并与实验结果及其它理论预测值进行对比。
1 理论模型
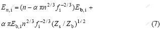
纳米微粒中的原子可分为表面原子(只考虑微粒表面的第一层原子)和内部原子。微粒中任一内部原子都是等同的,任一表面原子也是等同的,但表面原子和内部原子却有差异,这种差异主要是由于表面原子有大量的悬空键引起的。因此,任意金属纳米微粒的结合能(En, i)可由原子结合能(Eb(s), i)表示为

式中 下标i表示微粒晶体结构;下标b和s分别表示块体和表面。n,Ns分别表示微粒的总原子数和表面原子数;Eb, i表示内部原子结合能,如果假定微粒内部原子与块体中原子是等同的,对于某确定结构的颗粒,Eb, i即为块体原子结合能,而实际上这种差别也是很小的。Es, i表示表面原子结合能,一般可通过块体原子结合能Eb, i表示为[14]

式中 Zs和Zb分别表示表面原子和内部原子的有效配位数。为了提高模型的准确度,本模型也考虑了第一近邻和第二近邻两层原子配位数,任意原子t的有效配位数可表示为[9]

式中
、
分别表示原子t的第一近邻原子数和第二近邻原子数;a为参数,其大小取决于原子间距。
密堆因子表示晶体结构中原子的体积占总体积的百分比。若微粒为球形,结构为i,半径为Ri,原子半径为ri,密堆因子为fi。假定原子为球形,n个原子的体积和为
,微粒总体积为
,由密堆因子定义,得到(对于bcc结构fbcc=0.68,fcc结构ffcc=0.74):

根据本文作者提出的形状因子的概念[15],考虑到真实纳米微粒的形状与理想球形存在区别,任意非球形纳米微粒的表面积为
,其中
为描述微粒形状的形状因子。这里假定球形和非球形纳米微粒的体积相等。将式(4)代入得到:

单个表面原子对表面积的贡献
,所以表面原子数Ns可表示为

将式(2)和(6)代入(1),得到:

因此,纳米微粒的平均原子结合能可表达为

利用式(4)将式(8)表达为微粒尺寸大小D (D=2Ri)的函数:

式中
,对于确定结构C为常数。Di、di分别为微粒直径和原子直径。可见,原子结合能同微粒尺寸的负倒数成线性关系,这与实验 值[14, 16]和其它理论值[9?11, 15]一致。
由式(8)可知,原子结合能Ep, I与微粒的尺寸n,形状因子
,以及微粒结构(密堆因子fi和近邻原子数)密切相关。
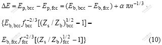
从结合能的定义可知,结合能越高表示该微粒结构越稳定,反之则表示该结构越不稳定,因此可以通过比较不同结构的结合能高低来讨论微粒的结构稳定性。对于相同尺寸和形状,分别具有bcc和fcc结构的纳米微粒,其原子结合能之差?E可表示为:

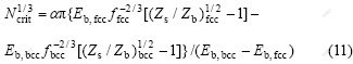
显然,当?E>0时,表示具有bcc结构微粒的结合能高于fcc结构微粒,此时bcc结构微粒更稳定;当?E<0,则fcc结构微粒更稳定;当?E =0时,表示两种结构的微粒具有相同原子结合能,此时即为微粒发生结构转变的临界位置,求得的微粒原子数Ncrit也为临界尺寸:

因此,?E可以作为一个判据来判定微粒的结构稳定性。
2 分析与讨论
作为所建模型的应用,下面将分析讨论块体为bcc结构的过渡族金属Cr、Mo、W、V、Nb、Ta和Fe元素纳米微粒的结构稳定性。
对于正多面体形微粒,形状因子
取值范围为1.00~1.49。当
=1.00时,微粒为球形;
=1.49时,微粒为正四面体形。本模型只考虑
=1.00和
=1.49两种情况,为求得发生结构转变的极限临界尺寸,而一般多面体形纳米微粒其临界转变尺寸也介于以上两极限尺寸之间。
对于式(3)中的参数a,模拟文献[9]取以下值:afcc= 0.08,abcc=0.4。对于bcc结构的纳米微粒,内部原子
=8,
=6,表面原子
=4,
=5,则(Zs/Zb)bcc= 0.577;对fcc结构的纳米微粒,内部原子
=12,
= 6,表面原子
=8,
=5,则(Zs/Zb)bcc=0.637。不同元素的块体结合能列于表1。
表1 式(8)和(11)计算所需的结合能参数
Table 1 Parameters cohesive of energy used in calculation for Eqns.(8) and (11)

本模型分别计算了上述元素球形和正四面体形纳米微粒bcc和fcc结构的结合能变化曲线及其发生结构转变的极限临界尺寸,结果如图1~6所示。作为比较,相应的文献数据也列入表2,并绘于图中。
表2 元素的临界尺寸计算值和实验值及其他理论值
Table 2 Calculated critical sizes and experimental ones of elements and other theoretical results


图1 纳米微粒形状分别为球形和正四面体形时V的bcc结构和fcc结构的结合能随微粒尺寸的变化曲线
Fig.1 Cohesive energy of V nanoparticles as function of crystal size in spherical and tetrahedral shapes (Solid lines and critical sizes are calculated by Eqns.(8) and (11). Symbol ● is result given by Ref.[9])

图2 纳米微粒形状分别为球形和正四面体形时Cr的bcc结构和fcc结构的结合能随微粒尺寸的变化曲线
Fig.2 Cohesive energy of Cr nanoparticles as function of crystal size in spherical and tetrahedral shapes (Solid lines and critical sizes are calculated by Eqns.(8) and (11). Symbol ● is result given by Ref.[9], symbol
denotes range of experimental results by Ref.[5])

图3 纳米微粒形状分别为球形和正四面体形时Nb的bcc结构和fcc结构的结合能随微粒尺寸的变化曲线
Fig.3 Cohesive energy of Nb nanoparticles as function of crystal size in spherical and tetrahedral shapes (Solid lines and critical sizes are calculated by Eqns.(8) and (11). Symbol ● is result given by Ref.[9])

图4 纳米微粒形状分别为球形和正四面体形时Mo的bcc结构和fcc结构的结合能随微粒尺寸的变化曲线
Fig.4 Cohesive energy of Mo nanoparticles as function of crystal size in spherical and tetrahedral shapes (Solid lines and critical sizes are calculated by Eqns.(8) and (11). Symbol ● is result given by Ref.[9], and symbol
denotes range of experimental results by Ref.[5])

图5 纳米微粒形状分别为球形和正四面体形时Ta的bcc结构和fcc结构的结合能随微粒尺寸的变化曲线
Fig.5 Cohesive energy of Nb nanoparticles as function of crystal size in spherical and tetrahedral shapes (Solid lines and critical sizes are calculated by Eqns.(8) and (11). Symbol ● is result given by Ref.[9])

图6 纳米微粒形状分别为球形和正四面体形时W的bcc结构和fcc结构的结合能随微粒尺寸的变化曲线
Fig.6 Cohesive energy of W nanoparticles as function of crystal size in spherical and tetrahedral shapes (Solid lines and critical sizes are calculated by Eqns.(8) and (11). Symbol ● is result given by Ref.[9], and symbol
denotes range of experimental results Ref.[5])
分析图1~6可以发现,所有曲线的变化趋势基本是一致的。纳米微粒的结合能都随着微粒的尺寸减小而降低,随着尺寸的增加趋近于块体结合能;曲线的斜率随微粒尺寸减小而增大,表明随微粒尺寸减小,结合能随形状因子的变化越大。这是由于比表面积的变化引起比表面能的变化,从而引起微粒各种热力学性能的变化,而微粒尺寸越小,其形状对比表面积的影响越大。
对于任一元素纳米微粒,其具有相同形状因子,结构为bcc的结合能曲线和结构为fcc的结合能曲线均有交点。当
=1.00时,其交点为Ncrit, 1,n>Ncrit, 1时,bcc结构的结合能高于fcc结构结合能,?E>0,此时bcc结构较为稳定;n<Ncrit, 1时,fcc结构的结合能将高于bcc结构结合能,?E<0,此时fcc结构更稳定。由结合能判据可知,上述元素的纳米微粒随尺寸降低时,由于不同结构的结合能不同,微粒在Ncrit, 1点发生稳定结构转变,由bcc结构转变为fcc结构,Ncrit, 1即为临界转变尺寸点,可由式(11)求得;
=1.49时,其变化规律与以上一样,对应的临界转变尺寸点为Ncrit, 2。由以上分析可以得出,Cr、Mo、W、V、Nb和Ta金属元素纳米微粒随尺寸降低时将发生bcc→fcc的结构转变,这与TOMANEK等[9]的理论结论完全一致,而HUH等[5]也在实验中证明了Cr、Mo、W等元素纳米微粒存在这种结构转变。进一步分析,还发现无论是球形还是正四面体形,同一元素纳米微粒在临界尺寸时的临界结合能均相等,对Cr、Mo、W、V、Nb和Ta元素其临界结合能分别为4.733,3.358,6.872,6.036,7.500和8.005 eV。
对比分析表2中的数据发现,TOMANEK等[9]理论计算的临界转变尺寸值完全在本文预测范围之内,HUH等[5]在实验上得到Cr、Mo元素纳米微粒的临界转变尺寸值也在本文的预测范围中,对元素W,本模型的计算值比实验值小,但也有部分在实验值范围之内。
下面将通过本模型预测Fe纳米微粒的结构稳定性。在常温下块体Fe也具有bcc结构,其块体结合能Eb, bcc=4.28 eV,Eb, bcc?Eb, fcc=0.09 eV[19],因此,Eb, fcc= 4.19 eV。图7所示为其结合能变化曲线,分析曲线可以发现,其变化规律与上述6种元素基本一致,在某一临界值也会发生bcc→fcc的结构转变,且其临界结合能大小为4.085 eV,将其代入式(11),得到临界尺寸分别如下:
=1.00时,Ncrit, 1=20 820;
=1.49时,Ncrit, 2=68 880。

图7 纳米微粒形状分别为球形和正四面体形Fe的bcc结构和fcc结构的结合能随微粒尺寸的变化曲线
Fig.7 Cohesive energy of Fe nanoparticles as function of crystal size in spherical and tetrahedral shapes (Solid lines and critical sizes are calculated by Eqns.(8) and (11). Symbol ● is experimental result given by Ref.[4])
利用纳米微粒体积等于所有原子体积之和的关系,将临界原子数转化为临界直径大小D(D=2R,用于表示纳米微粒直径),得到D=6.8~10.1 nm,而HANEDA等[4]在实验中证明存在微粒尺寸为D≈8 nm的fcc结构的Fe。上面已经提到,纳米微粒形状一般为多面体,所以其临界尺寸也将介于两极限尺寸之间,显然本模型的计算值同实验结果一致。
通过模型对上述元素的分析发现,模型的计算结果与其它文献的结果符合的比较好,这说明了两个问题:一是本文作者建立的模型能够预测块体为bcc结构金属的结构稳定性;二是表明纳米微粒的结构稳定性随微粒的尺寸和形状的变化而变化。另一方面,本模型的计算结果与实验数据仍有一定的差异,主要原因可能是本模型没有考虑晶格弛豫。因此,本模型还有待进一步推广完善,以便讨论所有过渡族金属的结构稳定性。
3 结论
1) 在一定的结构和形状下,纳米微粒的结合能与微粒尺寸的负倒数成线性关系且随微粒尺寸的减小而降低,随着微粒尺寸的增加趋近于块体结合能。
2) 在一定形状下,在一定的临界尺寸时纳米微粒bcc结构的结合能和fcc结构的结合能相等。当微粒尺寸大于该临界尺寸时,bcc结构更稳定,小于该尺寸时,fcc结构更稳定。
3) 球形和正四面体形可以看作近正多面体形的两个极限,多面体形微粒发生结构转变的临界尺寸也介于两个极限尺寸之间,这和V、Cr、Nb、Mo、Ta、W和Fe元素纳米微粒在文献中报道的结果一致。
REFERENCES
[1] CHATTOPADHYAY P P, PABI S K, MANNA I. A metastable allotropic transformation in Nb induced by planetary ball milling[J]. Mater Sci Eng A, 2001, 304/306: 424?428.
[2] MANNA I, CHATTOPADHYAY P P, BANHART F, FECHT H J. Formation of face-centered-cubic zirconium by mechanical attrition[J]. Applied Physics Letters, 2002, 81(22): 4136?4138.
[3] KITAKAMI O, SATO H, SHIMADA Y. Size effect on the crystal phase of cobalt fine particles[J]. Physics Review B, 1997, 56(21): 13849?13854.
[4] HANEDA K, ZHOU Z X, MORRISH A H. Low-temperature stable nanometer-size fcc-Fe particles with no magnetic ordering[J]. Physics Review B, 1992, 46(21): 13832?13837.
[5] HUH S H, KIM H K, PARK J W, LEE G H. Critical cluster size of metallic Cr and Mo nanoclusters[J]. Physics Review B, 2000, 62(4): 2937?2943.
[6] TESSIER R, BRENNECKE F, STADTHERR A. Reliable phase stability analysis for excess Gibbs energy models[J]. Chemical Engineering Science, 2000, 55: 1785?1796.
[7] MENG Q, ZHOU N, RONG Y, CHEN S, HSU T Y, XU Zu-yao. Size effect on the Fe nanocrystalline phase transformation[J]. Acta Materialia, 2002, 50: 4563?4570.
[8] QI W H. Size, shape and structure dependent cohesive energy and phase stability of metallic nanocrystals[J]. Solid State Communications, 2006, 137: 536?539.
[9] TOMA?NEK D, MUKHERJEE S, BENNERMANN K H. Simple theory for the electronic and atomic structure of small clusters[J]. Physics Review B, 1983, 28(2): 665?673.
[10] SUN C Q, WANG Y, TAY B K, LI S, HUANG H, ZHANG Y. Correlation between the melting point of a nanosolid and the cohesive energy of a surface atom[J]. Journal of Physics Chemical B, 2002, 106(41): 10701?10705.
[11] JIANG Q, LI J C, CHI B Q. Size-dependent cohesive energy of nanocrystals[J]. Chemical Physics Letter, 2002, 366(5/6): 551?554.
[12] NANDA K K, SAHU S N, BEHERA S N. Liquid-drop model for the size-dependent melting of low-dimensional systems[J]. Physics Review A, 2002, 66(1): 013208?013209.
[13] QI W H, WANG M P, XU G Y. The particle size dependence of cohesive energy of metallic nanoparticles[J]. Chemical Physical Letter, 2003, 376(3/4): 538?538.
[14] KIM H K, HUH S H, PARK J W. The cluster size dependence of thermal stabilities of both molybdenum and tungsten nanoclusters[J]. Chemical Physics Letter, 2002, 354(1/2): 165?172.
[15] QI W H, WANG M P. Size and shape dependent melting temperature of metallic nanoparticles[J]. Materials Chemistry and Physics, 2004, 88(2/3): 280?284.
[16] NAHER U, BJRNHOLM S, FRAUENDORF S, GARCIAS F, GUET F. Fission of metal clusters[J]. Physics Reports, 1997, 285(6): 245?320.
[17] HULTGREN R, DESAI D P D, HAWKINS T, GLEISER M, KELLY K K, WAGMAN K K. Elected values of the thermodynamic properties of the elements[M]. Cleveland: American Society of Metals, 1973.
[18] PETTIFOR D G. Theory of the crystal structures of transition metals[J]. Journal Physics C, 1970, 3: 367?377.
[19] 张邦维, 胡望宇, 舒小林. 嵌入原子方法理论及其在材料科学中的应用[M]. 长沙: 湖南大学出版社, 2002: 249?260.
ZHANG Bang-wei, HU Wang-yu, SHU Xiao-lin. Theory of embedded atom method and its application to materials[M]. Changsha: Hunan University, 2002: 249?260.
基金项目:中国博士后科学基金资助项目(20070420185; 200801344)
收稿日期:2008-07-15;修订日期:2008-11-10
通讯作者:齐卫宏,副教授,博士;电话:0731-8830264;E-mail: weihong.qi@gmail.com
(编辑 龙怀中)