面心立方和亚稳液相Au的原子状态及物理性质与温度变化关系的Debye-Grüneisen模型研究
来源期刊:稀有金属2006年第5期
论文作者:陶辉锦 刘锐锋 彭红建 谢佑卿 余方新 李晓波
关键词:FCC-Au; LIQUID-Au; 电子结构; Debye-Grüneisen模型; CALPHAD方法;
摘 要:结合纯金属单原子(OA)理论和Debye-Grüneisen模型研究了SGTE 纯单质数据库中面心立方和亚稳液相Au的原子状态、原子势能、原子动能、原子体积、体弹性模量和热膨胀系数等物理性质随温度的变化关系, 结果表明: 电子结构计算结果与第一原理方法一致;原子的单键半径随温度升高而增大;原子动能随温度升高明显增大, 并且其速率是原子势能的4倍多;体弹性模量随温度升高而缓慢下降;线热膨胀系数随温度的变化规律与实验值吻合较好. 固体向液相转变时, 共价d电子减少27.4%, 共价s电子增加152%, 自由s电子减小88.5%, 非键电子数目增加近23%, 使得原子的配位方向性减弱, 自由度增大;电子结构的转变是导致原子单键半径增大和体积增加及其他物理性质发生改变的根本原因.
稀有金属 2006,(05),623-630 DOI:10.13373/j.cnki.cjrm.2006.05.011
谢佑卿 刘锐锋 彭红建 余方新 李晓波
中南大学材料科学与工程学院,中南大学材料科学与工程学院,中南大学材料科学与工程学院,中南大学材料科学与工程学院,中南大学材料科学与工程学院,中南大学材料科学与工程学院 湖南长沙410083,湖南长沙410083,湖南长沙410083,湖南长沙410083,湖南长沙410083,湖南长沙410083
结合纯金属单原子 (OA) 理论和Debye-Grüneisen模型研究了SGTE纯单质数据库中面心立方和亚稳液相Au的原子状态、原子势能、原子动能、原子体积、体弹性模量和热膨胀系数等物理性质随温度的变化关系, 结果表明:电子结构计算结果与第一原理方法一致;原子的单键半径随温度升高而增大;原子动能随温度升高明显增大, 并且其速率是原子势能的4倍多;体弹性模量随温度升高而缓慢下降;线热膨胀系数随温度的变化规律与实验值吻合较好。固体向液相转变时, 共价d电子减少27.4%, 共价s电子增加152%, 自由s电子减小88.5%, 非键电子数目增加近23%, 使得原子的配位方向性减弱, 自由度增大;电子结构的转变是导致原子单键半径增大和体积增加及其他物理性质发生改变的根本原因。
FCC-Au;LIQUID-Au;电子结构;Debye-Grüneisen模型;CALPHAD方法;
中图分类号: TG111
作者简介:谢佑卿E-mail: xieyouq@web-mail.csu.edu.cn;
收稿日期:2006-01-06
基金:国家自然科学基金资助项目 (50271085, 50471058);
Abstract:
Combining the One-Atom (OA) theory with Debye-Grüneisen model, the atom states, atomic potential and kinetic energies, atomic volumes, bulk moduli and linear thermal expansion coefficients of FCC and metastable LIQUID Au metals in SGTE database of pure elements were studied.The results show that: calculated electronic structure in this paper is in accordance with that of the first principles;the single bond radius increases with the elevating temperature;the atomic kinetic energy increases obviously with a rate over 3 times higher than that of potential energy during temperature rising;the bulk moduli decrease slowly with the increase of temperature;the linear thermal expansion coefficients agree well with the experimental data;when FCC-Au is melted into the LIQUID-Au at the melting point, the covalent d electrons decrease by 27.4%, the covalent s electrons increase by 152%, the free s electrons decrease by 88.5%, and the non-bonding d electrons increase by 23%.As a result, the directionality is weakened and the freedom of atomic coordination is strengthened, the locality and inertia is decreased and the activity of electrons is increased.The variation of electronic structure leads to the increase of single bond radius and atomic volume and other changes of physical properties.
Keyword:
FCC-Au;LIQUID-Au;electronic structure;DebyeGrüneisen model;CALPHAD method;
Received: 2006-01-06
相图计算 (CALPHAD) 是指导新材料开发设计的强有力工具
合金系统科学框架 (Systematic Sciences of Alloys, SSA)
1 原理与方法
1.1 纯金属单原子理论
1.1.1 电子结构参数
与稳定的自由原子相比, 凝聚态金属中的原子是通过化学键结合的。因此, 金属原子层的电子可以按照功能分为成键和非成键两大类电子
在单原子 (OA) 理论中, 用基本原子态φk (k=1, 2, …, n) 进行杂化 (或叠加) 所得到的准电子占据数 (Quasi-Electron-OcAupation, QEO) 来表征电子结构:

其中, 每一个基本态φk都遵循Pauli不相容原理, ck是杂化系数。
对金属Au, skc, pkc和dkc分别表示第k个基本原子态中s, p和d轨道的共价电子数;skf为自由的s态电子;dkn为非键的d电子;sc, sf, pc, dc和dn分别表示单原子杂化状态中的共价s电子, 自由s电子, 共价p电子, 共价d电子和非键d电子;δk和Rk (单位为0.1 nm) 分别是共价d电子在成键电子中所占的比例和改进了的Pauling单键半径

1.1.2 晶格常数方程
下标s的取值1, 2, …表示最近邻、次近邻等共价键;Gs是由晶体结构类型决定的表示不同类型原子键距与晶格常数比例关系的常数, 对于FCC结构, G1=2/2, G2=1, G3=6/2;R是单键半径;β是Pauling的键参数

1.1.3 结合能和势函数
多原子相互作用 (many-atom-interactions, MAI) 势能函数以如下形式表达

其中, (5) 式中的A是反映多电子原子中电子对核电荷屏蔽效应的常数;r表示自由电子键的平均键长, 且r=s∑Isrs/s∑Is;f和f′分别代表共价和自由电子键的成键能力, 即f=a+3β+5γ, α=sc/nv, β=pc/nv, γ=dc/nv, f′=2α′, α′=nf/nv;r0和r分别代表平衡态和任意状态的最短键长;nx和mx分别为MAI势, 即Wx (r) 势的拟合参数。
1.1.4 体弹性模量和线热膨胀系数
根据体弹性模量的定义B=-VdVdP及势能与压强的关系P=dVdW可以得到:

其中, 体积随温度的变化可以根据Debye-Grǜneisen模型

其中恒容热容Cv和晶格振动能U由Debye理论确定, Grǜneisen函数中的常数k和Q0由实验数据拟合得到。
1.2 计算程序
1.2.1 基本原子态
Eckardt等
1.2.2 计算线路
基本原子态确定之后, 将OA理论与CALPHAD确定晶格稳定参数的计算方法相结合, 运用上述的Debye-Grǜneisen模型可以计算面心立方和亚稳液相Au的原子状态和物理性质随温度的变化, 计算线路如图1所示, 其中“*”表示实验数据
表1 金属Au的基本原子态和相应FCC结构晶体的晶格常数和结合能 下载原图
Table 1 Lattice constants and cohesive energies of FCC-Au in basic atom states

表1 金属Au的基本原子态和相应FCC结构晶体的晶格常数和结合能
图1 确定FCC-Au和LIQUID-Au原子状态和物理性质的计算线路图
Fig.1 Schematic procedure for determining atomic states and properties of FCC and LIQUID pure Au-metals
以下按照计算程序分步进行详细说明。第一步:假设Pauling单键半径R与晶格常数a随温度发生同比例的变化, 而Debye温度*θD

因为这一参数与Gibbs能参考态的选择无关, 所以 (10) 式同样适用于以0K基态自由原子为参考态的情况, 此时, 有H (0 K) =-Ec (0 K)

又因为本文采用文献

则由 (11) 式得到:

第五步:为了对LIQUID-Au的性质进行近似模拟, 考虑其仍然保持短程有序结构
2 结果
2.1 原子状态
图2给出了FCC-Au和LIQUID-Au以晶格常数和结合能为标准, 在杂化三角形中找到等a线和等Ec线的交点, 并根据交点的三态杂化成分确定原子状态的过程, 表2给出了杂化成分。
根据以上杂化成分确定FCC-Au和LIQUID-Au0 K的原子状态, 即电子结构和单键半径如下所示:

2.2 物理性质
2.2.1 势能函数
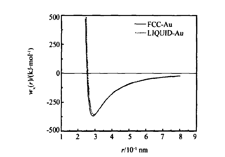
nx和mx代表MAI势函数Wx (r) 中的指数, r0为平衡状态最近邻原子键距, Ec为结合能, 则FCC-Au和LIQUID-Au的Wx (r) 势如表3和图3所示。
图2 FCC-Au和LIQUID-Au三态杂化成分图
Fig.2 Composition positions of three atomic states hybridized of FCC and LIQUID pure Au-metals
表2 GCC-Au和LIQUID-Au三态杂化成分和性质 下载原图
Table 2 Composition of three atomic states hybridized and properties of FCC and LIQUID pure Au-metals

表2 GCC-Au和LIQUID-Au三态杂化成分和性质
表3 FCC-Au和LIQUID-Au的Wx (r) 势函数参数表 下载原图
Table 3 Parameters of Wx (r) potential function of FCC and LIQUID Au-metals

表3 FCC-Au和LIQUID-Au的Wx (r) 势函数参数表
图3 FCC-Au和LIQUID-Au的Wx (r) 势能曲线
Fig.3 Potential energy curves of FCC and LIQUID pure Au-metals
表4 FCC-Au和LIQUID-Au Debye-Grǜneisen模型研究的计算参数 下载原图
Table 4 Constants of Debye-Grǜneisen model for FCC and LIQUID pure Au-metals

表4 FCC-Au和LIQUID-Au Debye-Grǜneisen模型研究的计算参数
2.2.2 线热膨胀系数和体弹性模量
DebyeGrǜneisen模型参数如表4所示, 线热膨胀系数中的实验数据来自文献
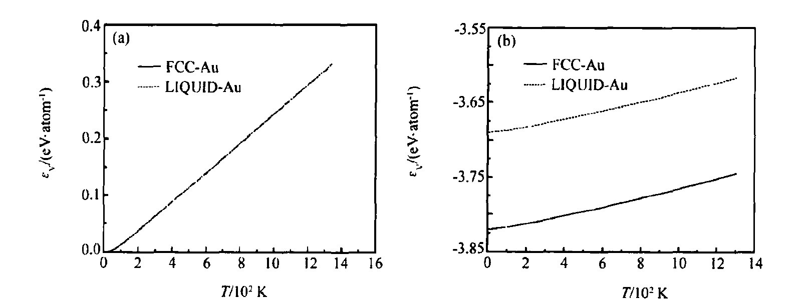
2.2.3 原子动能和势能
原子动能和势能随温度的变化关系见图5。
为了更好地定量比较, 取出0 K, 298.15 K和熔点的数据来进行对比于表5。
3 分析与讨论
3.1 FCC-Au
将OA理论方法的电子结构的计算结果与第一原理线性严密元胞法LRC
图4 FCC-Au和LIQUID-Au的线热膨胀系数 (a) , 晶格常数 (b) , 原子体积 (c) , 单键半径 (d) 和体弹性模量 (e) 随温度的变化
Fig.4 Temperature dependence of linear thermal expansion coefficients (a) , lattice constants (b) , atomic volumes (c) , single bond radiuses (d) and bulk moduli (e) of FCC-Au and LIQUID-Au
图5 FCC-Au和LIQUID-Au的原子动能和势能随温度的变化 (a) 原子动能; (b) 原子势能
Fig.5 Temperature dependence of atomic vibration energy (a) and potential energy (b) of FCC-Au and LIQUID-Au
表5 FCC-Au和LIQUID-Au在0, 298.15 K和熔点的物理性质对比 下载原图
Table 5 Properties of FCC and LIQUID pure Au-metals at 0, 298.15 and 1358 K

表5 FCC-Au和LIQUID-Au在0, 298.15 K和熔点的物理性质对比
从表6知:OA理论方法的结果和第一原理LRC的结果接近。将OA理论方法物理性质的计算结果与第一原理VASP程序
从表7知:OA理论方法的晶格常数, 原子体积和体弹性模量等物理性质与第一原理LAPW方法结果接近;势能与VASP结果接近。由图4和表5知:本文计算的线热膨胀系数随温度的变化关系与实验值基本吻合, 但是当温度很高时, 计算值与实验值偏差较大, 其原因有二:其一在于德拜温度随温度将发生变化, 但本文视为恒定值, 没有修正高温的德拜温度;其二, 高温引起的各种热缺陷对热膨胀系数的理论计算有着很大的影响。同时, 晶格常数、原子体积和单键半径随温度发生同比例的膨胀;体弹性模随度上升而下降, 但下降幅度不大。由图5和表5知:原子动能和原子势能均随温度升高而上升, 温度上升过程中从外界吸收的热量主要用于增加原子的动能。
表6 不同方法研究FCC-Au所得电子结构的对比 下载原图
Table 6 Electronic structure of FCC-Au by various methods

表6 不同方法研究FCC-Au所得电子结构的对比
表7 不同方法研究FCC-Au所得物理性质的对比 下载原图
Table 7 Calculated properties of FCC-Au with different methods

表7 不同方法研究FCC-Au所得物理性质的对比
3.2 LIQUID-Au
对SGTE纯单质数据库中熔点温度以下的亚稳液相Au采用了原子体积不变条件下的等效晶体假设, 对这种假设有效性的检验主要通过与实验数据的对比来说明。根据实验事实知:在熔点时, 金属Au的转变热容为零
由表8的误差对比知:本文工作与实验值的误差比SGTE纯单质数据库的大, 并且固液相热容值不能严格相等, 存在约0.6%的偏差, 从而说明所作假设在误差允许范围之内仍然有效, 但是, 为了进一步提高精度, 减小误差, 必须对DebyeGrǜneisen模型计算值进行修正
表8 熔点温度时FCC-Au和LIQUID-Au的热容计算值与SGTE和实验数据的比较 下载原图
Table 8 Isobaric heat capacity of FCC and LIQUID Au at1358 K

表8 熔点温度时FCC-Au和LIQUID-Au的热容计算值与SGTE和实验数据的比较
对电子结构进行对比分析发现:当金属Au由固相向液相转变时, FCC-Au的非键电子数目由4.692变为LIQUID-Au的5.770, 增加了近23%;共价d电子由4.612变为3.348, 减少27.4%;共价s电子由0.7变为1.767, 增加152%;自由s电子由0.996变为0.115, 减小88.5%, 这说明当金属Au由固相向液相转变时, 有两个变化趋势:一是球对称的共价s电子剧增, 方向性强的共价d电子减少, 表明原子的配位方向性减弱, 自由度增大;二是自由s原子剧减, 非键d电子增加, 表明电子的定域性和惰性增强, 离域性与活性减弱。由于电子结构的转变, 使得单键半径公式 (3) 中的共价d电子在总价电子数中的比例减小, 从而原子的单键半径增大, 原子体积增大。
4 结论
1.在合金系统科学 (SSA) 框架下, 运用纯金属单原子 (OA) 理论和Debye-Grǜneisen模型对FCC-Au的原子状态、原子势能、原子动能、原子体积、体弹性模和热膨胀系数等物理性质随温度的变化进行了研究, 发现本文计算的电子结构与第一原理结果一致;单键半径随温度升高发生膨胀;线热膨胀系数与实验值吻合较好;体弹性模量随温度上升而缓慢下降;原子动能随温度的增加幅度是势能的4倍多, 体系吸收的热量主要由于原子动能的增加。
2.采用原子体积不变的等效晶体假设, 对SGTE纯单质数据库中熔点温度以下的亚稳液相Au进行了OA理论和Debye-Grǜneisen模型研究, 发现:本文工作与实验值的误差比SGTE纯单质数据库的大, 并且固液相热容值不能严格相等, 存在约0.6%的偏差, 说明必须对Debye-Grǜneisen模型计算值进行修正, 才能进一步提高精度, 减小误差。
3.对FCC-Au和LIQUID-Au原子状态的研究对比发现:当金属Au由固相向液相转变时, 共价d电子减少了27.4%, 共价s电子增加152%, 自由s电子减小88.5%, 非键电子数目增加了近23%, 说明不仅原子的配位方向性减弱, 自由度增大, 而且电子的定域性和惰性增强, 离域性与活性减弱。由于电子结构的转变使得共价电子在总价电子数中的比例减小, 原子的单键半径增大, 导致原子体积增大和其他物理性质发生相应变化
参考文献
[4] Dinsdale AT.SGTEdata for pure elements[J].Calphad, 1991, 15 (4) :317.
[20] 谢佑卿.Au-Au合金系中无序和有序相的晶格常数[J].金属学报, 1998, 34 (12) :1233.
[21] 谢佑卿, 张晓东.Au-Au合金的微观结构和性质[J].金属学报 (A辑) , 1994, 30 (12) :531.
[23] Pauling L.The Nature of the Chemical Bond[M].Cornell Univer-sity Press, Ithaca, 1960.
[26] Kittel C.Solid State Physics[M].New York:John Wiley andSons.Inc., 1976.
[29] 陈景榕, 李承基.金属与合金中的固态相变[M].北京:冶金工业出版社, 1997.8.
[32] Weast R C.CRC Handbook of Chemistry and Physics, 70th ed[M].Florida:CRC Press Inc, 1990:B-216.