
J. Cent. South Univ. (2021) 28: 2257-2268
DOI: https://doi.org/10.1007/s11771-021-4767-x

Microstructure, mechanical properties and corrosion performance of selective laser melting Ti/GNPs composite with a porous structure
YANG Xin(杨鑫)1, ZHANG Zhao-yang(张兆洋)1, WANG Ben(王犇)1, MA Wen-jun(马文君)1,
WANG Wan-lin(王婉琳)1, CHEN Wen-ge(陈文革)1, KANG Ning-ning(亢宁宁)1, LIU Shi-feng(刘世锋)2
1. College of Materials Science and Engineering, Xi’an University of Technology, Xi’an 710048, China;
2. School of Metallurgical Engineering, Xi’an University of Architecture and Technology,Xi’an 710055, China
Central South University Press and Springer-Verlag GmbH Germany, part of Springer Nature 2021
Abstract: In this study, nano-graphene reinforced titanium matrix composites (GNPs/Ti) with a honeycomb porous structure were fabricated by selective laser melting (SLM). The effects of graphene on the microstructure, mechanical properties and corrosion performance of the SLM GNPs/Ti were systematically investigated. Results of microstructure characterization show that: 1) the density of the SLM GNPs/Ti was improved as compared to that of the SLM Ti;2) abundant TiC particles were formed in the SLM GNPs/Ti. The hardness and compressive strength of the composite increased by 90% (from HV 236 to HV 503) and 14% (from 277 MPa to 316 MPa), respectively, attributed to the uniformly distributed TiC and fine GNPs in the Ti matrix. Electrochemical tests reveal that the corrosion current density of the SLM GNPs/Ti is only 0.328 μA/cm2, that is about 25% less than that of the SLM Ti. The results indicate that the incorporation of nano-graphene is a potential method to strengthen the Ti by SLM.
Key words: porous GNPs/Ti composites; selective laser melting; microstructure; mechanical properties; corrosion properties
Cite this article as: YANG Xin, ZHANG Zhao-yang, WANG Ben, MA Wen-jun, WANG Wan-lin, CHEN Wen-ge, KANG Ning-ning, LIU Shi-feng. Microstructure, mechanical properties and corrosion performance of selective laser melting Ti/GNPs composite with a porous structure [J]. Journal of Central South University, 2021, 28(8): 2257-2268. DOI: https://doi.org/10.1007/s11771-021-4767-x.
1 Introduction
Due to the unique combination properties, such as low density, high biocompatibility, appropriate mechanical properties and excellent corrosion resistance, commercial pure titanium (CP-Ti) may be the optimistic bone implant material [1-5]. Porous titanium materials, with advantages of extremely low densities and unique combination of excellent mechanical, thermal, electrical and acoustic properties, can be potentially used as the bone implants [6, 7]. Selective laser melting (SLM) is an effective way to produce complex-shape parts and improve mechanical properties. Moreover, SLM is compatible with titanium and the composition and macrostructure can be graded in a controlled manner [8, 9]. SLM technology enables scaffolds to be reproduced with controlled topology, porosity, pore shape and size, interconnectivity, and mechanical properties [10]. Therefore, SLM shows a tremendous potential to process porous titanium [11, 12]. As an emerging class of high-performance structural materials, the preparation of “ultra-lightweight and high-strength” porous titanium is still in its infancy although it is widely used [13]. Thus, how to obtain “ultra-lightweight and high-strength” porous titanium materials is still a problem due to its high porosity compared with the corresponding dense materials, which is expected to be improved by doping graphene to form enhanced phases [14, 15].
Graphene, a two-dimensional honeycomb lattice, with superior thermal, electrical conductivity [16], excellent mechanical properties and flexibility, has attracted great attention from all walks of life [17]. Therefore, graphene is considered as the best reinforcement phase for metal matrix composites [18-20]. ZHANG et al [3] prepared nano-diamond/titanium composites using spark plasma sintering (SPS). The results showed that when the content of additive nano-diamond was 0.35 wt%, the composite had the best comprehensive mechanical properties. Compared with pure titanium, the compressive yield strength increased by 23.7% and hardness increased by 52.3%. SU et al [21] found the compression strength and yield strength of the graphene/titanium composites by SPS at room temperature and high temperature were significantly improved. All the above studies showed that carbon/titanium composite has excellent comprehensive mechanical properties. The study on the microstructure of carbon/titanium composite showed that carbon could react with the titanium matrix to form titanium carbide, which plays a vital role on strengthening the titanium matrix [22]. Therefore, the research of SLM graphene titanium matrix composites (GTMCs) [23] with excellent properties has important practical significance for exploiting the application of titanium and titanium alloy [24, 25].
In this work, 1 wt% GNPs/Ti porous composite structures were fabricated by SLM. The effects of graphene addition on the microstructure, mechanical properties and corrosion performance of GNPs/Ti porous structures were studied. Especially, the mechanism of enhancement of GNPs/Ti porous structure after addition of graphene was also discussed.
2 Experimental
The CP-Ti powders (Yuguang Feili Metal Materials Co., Ltd., Shaanxi, China) with particle size ranging from 15 to 75 μm and GNPs powder (Xianfeng Nano Material Technology Co., Ltd., Jiangsu, China) were used as feedstock powders. Figures 1(a) and (b) present surface morphology and particle size distribution of the CP-Ti powder. From the surface morphology and bright field of transmission electron microscope (BF-TEM) image of the graphene particles, the GNPs present a lamellar morphology. Physical and chemical properties of graphene nanoplatelets were shown in Table 1. In this work, GNPs/Ti composite powders were obtained by addition of 1 wt% GNPs to the spherical CP-Ti powders. Powder mixtures were admixed using an omnidirectional planetary ball mill (QF-WL-4L, Riyu Jiuyuan Instrument Equipment Co., Ltd., Tianjin, China) for 3 h at a rotation speed of 300 r/min.

Figure 1 Surface morphology (a) and particle size distribution (b) of CP-Ti powders; surface morphology (c) and BF-TEM image (d) of graphene particles
Table 1 Physical and chemical properties of graphene nanoplatelets

The CP-Ti powders and GNPs/Ti composite powders were fabricated by an SLM machine (Concept Mlab Cusing R, equipped with a 100 W IPG fiber laser). The laser process parameters were shown in Table 2. A hexagonal prism cell structure with porous structure was designed, and the porosity was 81.24%. GNPs/Ti composite porous structures were successfully prepared by SLM and the image of the porous structure was displayed in Figure 2.
Table 2 Process parameters of SLM

The phase compositions of the SLM Ti and GNPs/Ti samples were identified by an X-ray diffraction analyzer (XRD, XRD-7000) using Cu Kα (λ=1.5406 A) radiation in the angle range from 20°to 80° at a screening rate of 3 (°)/min. The microstructure was examined by field emission scanning electron microscope (FESEM, JMS-7800F). The microstructure and phase composition were also characterized and analyzed by transmission electron microscope (TEM, JEM-3010) with selected area electron diffractions (SAED). Thickness of the TEM specimens was reduced from 1 mm to 20 μm using abrasive papers of 200, 400, 800, 1200, 1500, 2500 mesh and then these were punched into 3 mm diameter discs by punching die, and finally ion thinned with MODEL 1050 ION MILL. Vickers microhardness of SLM Ti and GNPs/Ti were measured on polished cross-sections using at least 10 indentations with load of 100 g and dwelling time of 15 s. For the compression testing of samples, a 10 kN HT-2402 computer type universal material testing machine was used. The samples are compressed with a constant strain rate of 10-3 s-1.

Figure 2 Images of SLM Ti and GNPs/Ti porous structure
Corrosion performances are very important for the implants [26]. In this study, electrochemical behaviors of the SLM Ti and GNPs/Ti were tested in Ringer’s solution at pH=7.2 at 37 °C using a P400 electrochemical workstation. A three-electrode system was applied. The working electrode was the sample with a geometric surface area of 1 cm2. A saturated calomel electrode (SCE) and platinum plate were used as the reference and counter electrode, respectively. Electrochemical impedance spectroscopy (EIS) was measured at the corresponding open circuit potential (OCP) using an alternating sine signal with the amplitude of 10 mV. The measured frequency range was from 100 kHz to 0.1 Hz. The electrochemical results were then analyzed by Zview software, and the composition of the Ringer’s solution was 0.025 g/L CaCl2, 0.042 g/L KCl and 0.9 g/L NaCl.
3 Results and discussion
3.1 Density of Ti matrix
Figure 3 shows the cross-sectional SEM images of the as-polished SLM Ti and GNPs/Ti. As compared to the SLM Ti, fusion defects are rarely observed on the matrix areas in the SLM GNPs/Ti. This result suggested that the SLM GNPs/Ti has a higher matrix density than that of the SLM Ti. Generally, the GNPs will be absorbed on the surfaces of the CP-Ti particles. Due to the high thermal conductivity coefficient of the GNPs material (5000 W/(m·K)) [27, 28], the absorption rate of the CP-Ti particles to laser will be increased, thereby promoting the temperature and fluidity of liquid titanium in molten pool. Therefore, dense Ti matrix was prepared during the SLM GNPs/Ti materials.
3.2 Microstructures
Figure 4 shows the XRD patterns of the SLM Ti and GNPs/Ti. As compared with the SLM Ti, diffraction peaks of TiC phases were clearly identified on the SLM GNPs/Ti, suggesting GNPs powders reacted with Ti powders during SLM process. However, it also should be noted that the TiC presents a much low intensity in XRD patterns, which may be caused by the low content of TiC particles in SLM GNPs/Ti [29] as well as the highly distorted lattice and low crystallinity of TiC phase.
In order to clarify the microstructure and distribution of TiC phase, the microstructures of the SLM Ti and GNPs/Ti were further characterized. Figures 5 and 6 present the optical microscope (OM) and SEM images of the slightly etched SLM Ti and GNPs/Ti on two different deposition directions, respectively. The microstructure perpendicular to the deposition direction presents clusters with different orientation, which is caused by the SLM scanning strategy of the checkerboard. The checkerboard scan path alternates between layers to eliminate anisotropy. The microstructures of the as-deposited Ti and GNPs/Ti were overwhelmingly needle or lath shaped martensitic Ti distributed in columnar crystals, which also confirm the XRD results in Figure 4. In the SLM forming process, in order to make the metallurgical bonding between layers occur, the laser energy will pass through the preceding layer during the preparation of the second layer, leading to grains across the layers and growing directionally [30, 31]. Moreover, overlapping melt pools with nearly semi-circular shapes were clearly observed in a higher magnification. This melt pool behavior indicates a strong bonding between the layers [32]. Furthermore, many white particles with dispersion distribution in the Ti matrix were detected in the etched microstructures of the SLM GNPs/Ti.

Figure 3 Cross-sectional SEM images of the as-polished SLM Ti and GNPs/Ti: (a) SLM Ti perpendicular to deposition direction; (c) SLM Ti parallel to deposition direction; (e) SLM GNPs/Ti perpendicular to deposition direction; (g) SLM GNPs/Ti parallel to deposition direction ((b), (d), (f) and (h) are the closer view of selected region in (a), (c), (e) and (g))

Figure 4 XRD patterns of SLM Ti and GNPs/Ti
To further characterize these white particles, TEM analysis on the SLM GNPs/Ti was conducted. The analysis results are displayed in Figure 7. White particles in the form of columnar grains are clearly visible in Figure 7(a), and the corresponding SAD pattern reveals that the in situ synthesized particles (Figure 7(b)) are TiC phase (Figure 7(d)). This observation is consistent with XRD results (Figure 4). Moreover, TiC particle exhibited spherical and strip morphology in the SLM GNPs/Ti composite, and the size of TiC particles was less than 500 nm. Then the TEM result further confirmed the formation of flake area microstructure (Figure 7(c)). Figure 7(f) is the selected area diffraction pattern of Figure 7(c). There were some retained GNPs (Figure 7(e)) at flake area of SLM GNPs/Ti. Simultaneously, Figure 7(e) shows the high resolution TEM image of Figure 7(c). The presence of TiC particles proved that SLM destroyed the structure of graphene, causing part of the graphene to react with titanium. The TiC particles individually distributed together with the residual GNPs along the interface in the SLM GNPs/Ti. The TiC grains and GNPs were combined well with Ti matrix, providing tight interfacial bonding [33, 34]. By comparing the microstructure of the SLM Ti and GNPs/Ti, the results revealed that the incorporation of GNPs made TiC particles appear in the fine needle or lath shaped martensitic Ti.

Figure 5 OM images of etched SLM Ti:

Figure 6 SEM images of etched SLM GNPs/Ti: (a) Perpendicular to deposition direction; (c) Parallel to deposition direction ((b) and (d) are closer view of selected region in (a) and (c))

Figure 7 TEM images of SLM GNPs/Ti: (a) BF-TEM image of GNPs/Ti; (b), (c) Closer view of selected region in (a); (d) Selected area diffraction patterns of (b) showing the TiC phase; (e) HRTEM micrograph of (c); (f) Diffraction pattern at position 1 of (c)
3.3 Mechanical properties
Figure 8 presents the stress–strain curves of the SLM Ti and GNPs/Ti. In detail, the compressive stress–strain curve can be divided into three main regions: 1) a linear elastic regime, until the struts yield due to bending or stretching; 2) a plateau regime, during which the struts start to progressively collapse because of buckling, brittle crushing or yielding depending on the base material and the morphology; 3) a densification phase, that corresponds to the collapse of the struts one against the other (the struts reach contact) [35-37]. Moreover, it should be noted that the SLM GNPs/Ti showed zigzag changes in the plateau stage, while the SLM Ti did not appear. This feature of sawtooth change stage can endow the porous structure a predictive effect when the load fails. The detailed mechanical properties (microhardness, compressive strength and elastic modulus) are shown in Table 3. The hardness and compressive strength of the SLM GNPs/Ti were significantly increased from HV 236, 277 MPa to HV 503, 316 MPa, respectively. The above results strongly indicate that the addition of GNPs can effectively strengthen the support rods of the porous titanium, thus improving the strength of the porous titanium materials.

Figure 8 Compression stress-strain curves of SLM Ti and GNPs/Ti
Table 3 Microhardness and compression properties of SLM Ti and GNPs/Ti

Figure 9 displays compression fracture morphology of SLM Ti and GNPs/Ti, and brittle fracture is generated in -45° precursors to the principal axis. This is similar to the fracture morphology of the block titanium, indicating that the brittle fracture of the porous structure is related to the solid support. Moreover, the characteristic of brittle fracture was also found in the local magnification of the fracture morphology of the porous structure. By comparison, it can be observed that the dimples in the fracture morphology of CP-Ti suggested plastic fracture, while no obvious dimples were found in the fracture morphology of GNPs/Ti, indicating mainly brittle fracture.
Combining with the microstructure, microhardness and compressive properties of the SLM Ti and GNPs/Ti, the enhancement mechanism of graphene on porous titanium is explained from the following several aspects: 1) the incorporation of GNPs promotes the absorption of laser, therefore, the strength of the GNPs/Ti with less defects and high density is higher than that of Ti; 2) the dispersed distribution of TiC particles in the Ti matrix plays a strengthening role; 3) the addition of graphene prevents grain growth, making the grain size of the composite smaller and enhancing the effect of fine grain.

Figure 9 Compression fracture morphologies of SLM Ti ((a) and (b)) and GNPs/Ti ((c) and (d)) ((b) and (d) are closer views of selected regions in (a) and (c), respectively)
3.4 Corrosion properties
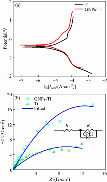
Electrochemical measurements were used to investigate the corrosion behavior of the SLM Ti and GNPs/Ti in Ringer’s solution. Figure 10(a) displays the potentiodynamic polarization curves of the SLM Ti and GNPs/Ti. It is clearly that polarization curves of both types of samples did not present obvious passivation zones, and also exhibited similar variation tendencies, indicating the same corrosion reactions for the Ti and GNPs/Ti. The corrosion potential (Ecorr) and the corrosion current density (Icorr) of the specimens were fitted by the Tafel extrapolation method, and the data were shown in Table 4. Ecorr represents the corrosion tendency of the specimens, and the larger the Ecorr, the easier the specimen to be corroded; Icorr can represent the corrosion rate of the specimens, and the smaller the Icorr, the weaker the ionic activity and the better the corrosion resistance. According to the potentiodynamic curves, it is concluded that the SLM Ti sample exhibits a worse corrosion resistance than the GNPs/Ti [38, 39].

Figure 10 Polarization curves (a) and Nyquist plots (b) of SLM Ti and GNPs/Ti (The inset in (b) is the EIS fitting equivalent electrical circuits)
Table 4 Polarization and EIS fitting results of SLM Ti and GNPs/Ti

To further study the corrosion behaviors of the SLM Ti and GNPs/Ti, EIS tests were carried out and the Nyquist plots are shown in Figure 10(b). The measured values were also fitted according to the equivalent circuit (the inset in Figure 10(b)). R1 is the solution resistance, R2 is the charge transfer resistance and CPE is the constant phase element. The fitted results are shown in Table 5, and it is obvious that the R2 value of the GNPs/Ti is larger than that of the Ti, the addition of graphene to the Ti substrate increases the corrosion resistance of the specimen, which is consistent with the results obtained from the polarization curves [40].
Figure 11 presents the surface characteristics of the corroded SLM Ti and GNPs/Ti in Ringer’s solution. GNPs/Ti and Ti specimens did not present obvious corrosion products such as corrosion spots and corrosion pits, indicating that the corrosion resistance of GNPs/Ti and Ti specimens is excellent. As presented in Figure 11(a), more white crystalline matter appears on the surface of Ti specimens than GNPs/Ti specimens. The EDS (energy dispersive spectrometer) analysis of spot A in Figure 11(a) shows that the white material is NaCl crystals, which indicates that the GNPs/Ti have a smaller corrosion current density during the electrochemical corrosion process.
For the mechanism of graphene enhanced corrosion resistance of Ti-based metals, we have the following views: on the one hand, graphene is a chemically stable two-dimensional carbon nanomaterial, which is dispersed in the Ti with a lamellar structure, increasing the path length during the diffusion of the corrosive medium to the substrate, thus further improving the overall corrosion resistance of the specimen; on the other hand, the dispersion of TiC phase presents in the Ti matrix composite. Because the equilibrium potential of TiC particles is high, they can distribute evenly in the titanium matrix as a second phase, all of which impede the transfer of electrons during corrosion and reduce the corrosion rate [41].

Figure 11 Morphology of SLM Ti and GNPs/Ti; (a) Corroded Ti; (b) Corroded GNPs/Ti; (c) EDS results of the pot A in(a)
4 Conclusions
In this study, graphene nano-platelets reinforced the porous structure of Ti composite (GNPs/Ti) was fabricated through selective laser melting (SLM). The microstructure, mechanical properties and corrosion performance of SLM Ti and GNPs/Ti were comparative studied. Results show that:
1) The incorporation of GNPs improved the density of the Ti matrix, and also reconstructed the microstructure of the SLM Ti. Moreover, microstructural characterization revealed that the generated TiC and residual GNPs were uniformly distributed over the Ti matrix in the SLM GNPs/Ti.
2) As compared to the SLM Ti, the elastic modulus, compressive strength and microhardness of the SLM GNPs/Ti were increased to 36.151 GPa, 316 MPa and HV 503 from 34.317 GPa, 277 MPa and HV 236, respectively.
3) The SLM GNPs/Ti presents better corrosion performances as compared to the SLM Ti. The self-corrosion potential (-0.325 V) was increased by 96 mV, while the corrosion current density (0.328 μA/cm2) was decreased by about 25%.
Contributors
YANG Xin: Funding acquisition, supervision, writing-review and edition; ZHANG Zhao-yang: Data curation, writing-original draft; WANG Ben, MA Wen-jun and WANG Wan-lin: Methodology; CHEN Wen-ge and KANG Ning-ning: Funding acquisition, investigation; LIU Shi-feng: Writing-review and editing.
Conflict of interest
The authors declare no conflict of interest.
References
[1] LI Zhong-jie, DONG An-ping, XING Hui, XU Hao, DU Da-fan, ZHANG Ting, SHE Huan, WANG Dong-hong, ZHU Guo-liang. Microstructure and mechanical properties of bimodal Ti-Bi alloys fabricated by mechanical alloying and spark plasma sintering for biomedical applications [J]. Materials Characterization, 2020, 161: 110134. DOI: 10.1016/j.matchar.2020.110134.
[2] FERRERI N C, SAVAGE D J, KNEZEVIC M. Non-acid, alcohol-based electropolishing enables high-quality electron backscatter diffraction characterization of titanium and its alloys: Application to pure Ti and Ti-6Al-4V [J]. Materials Characterization, 2020, 166: 110406. DOI: 10.1016/ j.matchar.2020.110406.
[3] ZHANG Fa-ming, LIU Su-li, ZHAO Pei-pei, LIU Teng-fei, SUN Jing. Titanium/nanodiamond nanocomposites: Effect of nanodiamond on microstructure and mechanical properties of titanium [J]. Materials & Design, 2017, 131: 144-155. DOI: 10.1016/j.matdes.2017.06.015.
[4] HOU Yu-hang. LIU Bin, LIU Yong, ZHOU Ying-hao, SONG Ting-ting, ZHOU Qi, SHA Gang, YAN Ming. Ultra-low cost Ti powder for selective laser melting additive manufacturing and superior mechanical properties associated [J]. Opto-Electronic Advances, 2019, 2(5): 18002801-18002808. DOI: 10.29026/ oea.2019.180028.
[5] BOLZONI L, RUIZ-NAVAS E M, GORDO E. Powder metallurgy CP-Ti performances: Hydride-dehydride vs. sponge [J]. Materials & Design, 2014, 60: 226-232. DOI: 10.1016/j.matdes.2014.04.005.
[6] YAN M, DARGUSCH M S, EBEL T, QIAN M. A transmission electron microscopy and three-dimensional atom probe study of the oxygen-induced fine microstructural features in as-sintered Ti-6Al-4V and their impacts on ductility [J]. Acta Materialia, 2014, 68: 196-206. DOI: 10.1016/j.actamat.2014.01.015.
[7] ZHANG X Z, LEARY M, TANG H P, SONG T, QIAN M. Selective electron beam manufactured Ti-6Al-4V lattice structures for orthopedic implant applications: Current status and outstanding challenges [J]. Current Opinion in Solid State and Materials Science, 2018, 22(3): 75-99. DOI: 10.1016/j.cossms.2018.05.002.
[8] HACISALIHOGLU I, YILDIZ F, CELIK A. The effects of build orientation and hatch spacing on mechanical properties of medical Ti-6Al-4V alloy manufactured by selective laser melting [J]. Materials Science and Engineering A, 2021, 802: 140649. DOI: 10.1016/j.msea.2020.140649.
[9] YANG Xin, MA Wen-jun, REN Yao-jia, LIU Shi-feng, WANG Yan, WANG Wan-lin, TANG Hui-ping. Subgrain microstructures and tensile properties of 316L stainless steel manufactured by selective laser melting [J]. Journal of Iron and Steel Research International, 2021, 28: 1159-1167. DOI: 10.1007/ s42243-021-00561-x.
[10] ZHENG Jing-pu, CHEN Liang-jian, CHEN Dai-yuan, SHAO Chun-sheng, YI Man-fei, ZHANG Bo. Effects of pore size and porosity of surface-modified porous titanium implants on bone tissue ingrowth [J]. Transactions of Nonferrous Metals Society of China, 2019, 29(12): 2534-2545. DOI: 10.1016/ S1003-6326(19)65161-7.
[11] WANG Di, YANG Yong-qiang, LIU Rui-cheng, XIAO Dong-ming, SUN Jian-feng. Study on the designing rules and processability of porous structure based on selective laser melting (SLM) [J]. Journal of Materials Processing Technology, 2013, 213(10): 1734-1742. DOI: 10.1016/ j.jmatprotec.2013.05.001.
[12] CHANG Cheng, HUANG Jian, YAN Xing-chen, LI Qing, LIU Min, DENG Si-hao, GARDAN J, BOLOT R, CHEMKHI M. Microstructure and mechanical deformation behavior of selective laser melted Ti6Al4V ELI alloy porous structures [J]. Materials Letters, 2020, 277: 128366. DOI: 10.1016/ j.matlet.2020.128366.
[13] FARIAS I, OLMOS L, JIMENEZ O, FLORES M, BRAEM A, VLEUGELS J. Wear modes in open porosity titanium matrix composites with TiC addition processed by spark plasma sintering [J]. Transactions of Nonferrous Metals Society of China, 2019, 29(8): 1653-1664. DOI: 10.1016/ S1003-6326(19)65072-7.
[14] YABLOKOVA G, SPEIRS M, van HUMBEECK J, KRUTH J P, SCHROOTEN J, CLOOTS R, BOSCHINI F, LUMAY G, LUYTEN J. Rheological behavior of β-Ti and NiTi powders produced by atomization for SLM production of open porous orthopedic implants [J]. Powder Technology, 2015, 283: 199-209. DOI: 10.1016/j.powtec.2015.05.015.
[15] MACONACHIE T, LEARY M, LOZANOVSKI B, ZHANG Xue-zhe, QIAN Ma, FARUQUE O, BRANDT M. SLM lattice structures: Properties, performance, applications and challenges [J]. Materials & Design, 2019, 183: 108137. DOI: 10.1016/j.matdes.2019.108137.
[16] KORZNIKOVA G, CZEPPE T, KHALIKOVA G, GUNDEROV D, KORZNIKOVA E, LITYNSKA-DOBRZYNSKA L, SZLEZYNGER M. Microstructure and mechanical properties of Cu-graphene composites produced by two high pressure torsion procedures [J]. Materials Characterization, 2020, 161: 110122. DOI: 10.1016/ j.matchar.2020.110122.
[17] XIONG Jun-jie, YAN Hong. Microstructure and mechanical properties of ADC12 composites reinforced with graphene nanoplates prepared by ultrasonic assisted casting [J]. Transactions of Nonferrous Metals Society of China, 2020, 30(12): 3210-3225. DOI: 10.1016/S1003-6326(20)65455-3.
[18] KHOSHGHADAM-PIREYOUSEFAN M, RAHMANIFARD R, OROVCIK L, SVEC P, KLEMM V. Application of a novel method for fabrication of graphene reinforced aluminum matrix nanocomposites: Synthesis, microstructure, and mechanical properties [J]. Materials Science and Engineering A, 2020, 772: 138820. DOI: 10.1016/j.msea.2019.138820.
[19] GULER O, BAGCI N. A short review on mechanical properties of graphene reinforced metal matrix composites [J]. Journal of Materials Research and Technology, 2020, 9(3): 6808-6833. DOI: 10.1016/j.jmrt.2020.01.077.
[20] WU Li-yun, ZHAO Zhan-yong, BAI Pei-kang, ZHAO Wen-jie, LI Yu-xin, LIANG Min-jie, LIAO Hai-hong, HUO Peng-cheng, LI Jing. Wear resistance of graphene nano-platelets (GNPs) reinforced AlSi10Mg matrix composite prepared by SLM [J]. Applied Surface Science, 2020, 503: 144156. DOI: 10.1016/j.apsusc.2019.144156.
[21] SU Ying, ZUO Qian, YANG Gang, YANG Yi, WEI Can, WANG Lin, LIU Jian. Compressive properties of the grahpene reinforced titanium composites [J]. Rare Metal Materials and Engineering, 2017, 46(12): 3882-3886. (in Chinese)
[22] KONG Xu, WANG Yu-min, YANG Qing, ZHANG Xu, ZHANG Guo-xing, YANG Li-na, WU Ying, YANG Rui. Low-cycle fatigue behavior and damage progression of a fiber reinforced titanium matrix composite [J]. International Journal of Lightweight Materials and Manufacture, 2021, 4(1): 9-17. DOI: 10.1016/j.ijlmm.2020.07.005.
[23] ZHANG Z Y, LIANG Y L. Preparation of graphene/titanium matrix composites and their conductive properties [J]. Journal of Yunnan University: Natural Science Edition, 2019, 41(3): 551-556. http://en.cnki.com.cn/Article_en/CJFDTotal-YNDZ2019030 18.htm. (in Chinese)
[24] JIN Jian-bo, ZHOU Sheng-feng, ZHAO Yu, ZHANG Qiang, WANG Xiao-jian, LI Wei, CHEN Dong-chu, ZHANG Lai-chang. Refined microstructure and enhanced wear resistance of titanium matrix composites produced by selective laser melting [J]. Optics & Laser Technology, 2021, 134: 106644. DOI: 10.1016/j.optlastec.2020.106644.
[25] MU X N, CHEN P W, ZHANG H M, CHENG X W, LIU L, GE Y X. Interface-dependent failure behaviors in graphene nanoflakes reinforced Ti matrix composites [J]. Materials Letters, 2021, 289: 129422. DOI: 10.1016/j.matlet.2021. 129422.
[26] MANAM N S, HARUN W S W, SHRI D N A, GHANI S A C, KURNIAWAN T, ISMAIL M H, IBRAHIM M H I. Study of corrosion in biocompatible metals for implants: A review [J]. Journal of Alloys and Compounds, 2017, 701: 698-715. DOI: 10.1016/j.jallcom.2017.01.196.
[27] PRAVEEN B, SURESH S, PETHURAJAN V. Heat transfer performance of graphene nano-platelets laden micro-encapsulated PCM with polymer shell for thermal energy storage based heat sink [J]. Applied Thermal Engineering, 2019, 156: 237-249. DOI: 10.1016/j.applthermaleng. 2019.04.072.
[28] MITTAL G, DHAND V, RHEE K Y, PARK S J, LEE W R. A review on carbon nanotubes and graphene as fillers in reinforced polymer nanocomposites [J]. Journal of Industrial and Engineering Chemistry, 2015, 21: 11-25. DOI: 10.1016/ j.jiec.2014.03.022.
[29] ALMANGOUR B, GRZESIAK D, YANG J M. In situ formation of TiC-particle-reinforced stainless steel matrix nanocomposites during ball milling: Feedstock powder preparation for selective laser melting at various energy densities [J]. Powder Technology, 2018, 326: 467-478. DOI: 10.1016/j.powtec.2017.11.064.
[30] KAZANTSEVA N, KRAKHMALEV P, THUVANDER M, YADROITSEV I, VINOGRADOVA N, EZHOV I. Martensitic transformations in Ti-6Al-4V (ELI) alloy manufactured by 3D printing [J]. Materials Characterization, 2018, 146: 101-112. DOI: 10.1016/j.matchar.2018.09.042.
[31] ATTAR H, EHTEMAM-HAGHIGHI S, KENT D, OKULOV I V, WENDROCK H, BONISCH M, VOLEGOV A S, CALIN M, ECKERT J. Nanoindentation and wear properties of Ti and Ti-TiB composite materials produced by selective laser melting [J]. Materials Science and Engineering A, 2017, 688: 20-26. DOI: 10.1016/j.msea.2017.01.096.
[32] MANDAL A, TIWARI J K, SATHISH N, SRIVASTAVA A K. Microstructural and mechanical properties evaluation of graphene reinforced stainless steel composite produced via selective laser melting [J]. Materials Science and Engineering A, 2020, 774: 138936. DOI: 10.1016/j.msea. 2020.138936.
[33] BELYAKOV A, WEI F G, TSUZAKI K, KIMURA Y, MISHIMA Y. Incomplete recrystallization in cold worked steel containing TiC [J]. Materials Science and Engineering A, 2007, 471(1, 2): 50-56. DOI: 10.1016/j.msea.2007.04.022.
[34] WANG Z J, QIU Z X, SUN H Y, LIU W C. Effect of TiC content on the microstructure, texture and mechanical properties of 1060/Al-TiC/1060 laminated composites [J]. Journal of Alloys and Compounds, 2019, 806: 788-797. DOI: 10.1016/j.jallcom.2019.07.317.
[35] WEI Ying-kang, LUO Xiao-tao, CHU Xin, HUANG Guo-sheng, LI Chang-jiu. Solid-state additive manufacturing high performance aluminum alloy 6061 enabled by an in situ micro-forging assisted cold spray [J]. Materials Science and Engineering: A, 2020, 776: 139024. DOI: 10.1016/j.msea. 2020.139024.
[36] ARABNEJAD S, BURNETT JOHNSTON R, PURA J A, SINGH B, TANZER M, PASINI D. High-strength porous biomaterials for bone replacement: A strategy to assess the interplay between cell morphology, mechanical properties, bone ingrowth and manufacturing constraints [J]. Acta Biomaterialia, 2016, 30: 345-356. DOI: 10.1016/j.actbio. 2015.10.048.
[37] BENEDETTI M, DU PLESSIS A, RITCHIE R O, DALLAGO M, RAZAVI S M J, BERTO F. Architected cellular materials: A review on their mechanical properties towards fatigue-tolerant design and fabrication [J]. Materials Science and Engineering R: Reports, 2021, 144: 100606. DOI: 10.1016/j.mser.2021.100606.
[38] WEI Ying-kang, LUO Xiao-tao, GE Yi, CHU Xin, HUANG Guo-sheng, LI Chang-jiu. Deposition of fully dense Al-based coatings via in situ micro-forging assisted cold spray for excellent corrosion protection of AZ31B magnesium alloy [J]. Journal of Alloys and Compounds, 2019, 806: 1116-1126. DOI: 10.1016/j.jallcom.2019.07.279.
[39] KRISHNA N G, GEORGE R P, PHILIP J. Anomalous enhancement of corrosion resistance and antibacterial property of commercially pure Titanium (CP-Ti) with nanoscale rutile titania film [J]. Corrosion Science, 2020, 172: 108678. DOI: 10.1016/j.corsci.2020.108678.
[40] WEI Ying-kang, LUO Xiao-tao, CHU Xin, GE Yi, HUANG Guo-sheng, XIE Ying-chun, HUANG Ren-zhong, LI Chang-jiu. Ni coatings for corrosion protection of Mg alloys prepared by an in situ micro-forging assisted cold spray: Effect of powder feedstock characteristics [J]. Corrosion Science, 2021, 184: 109397. DOI: 10.1016/j.corsci.2021.109397.
[41] HAN Bin, ZHU Shi-gen, DONG Wei-wei, BAI Yun-feng, DING Hao, LUO Yi-lan, DI Ping. Improved mechanical performance and electrochemical corrosion of WC-Al2O3 composite in NaCl solution by adding the TiC additives [J]. International Journal of Refractory Metals and Hard Materials, 2021, 99: 105566. DOI: 10.1016/j.ijrmhm.2021.105566.
(Edited by HE Yun-bin)
中文导读
SLM成形多孔结构石墨烯/钛基复合材料的微观结构、力学与腐蚀性能研究
摘要:本研究采用激光选区熔化技术(SLM)制备了具有蜂窝多孔结构的纳米石墨烯增强钛基复合材料(GNPs/Ti),系统研究了石墨烯对SLM GNPs/Ti微观结构、力学与腐蚀性能的影响。结果表明:1)与SLM Ti 相比,SLM GNPs/Ti的密度有所提高;2)在SLM GNPs/Ti中形成了明显的TiC颗粒。钛基体中弥散分布的TiC和细小的GNPs颗粒使得SLM GNPs/Ti的硬度和抗压强度相比SLM Ti分别提高了90%(从HV 236增加到HV 503)和14%(从277 MPa增加至316 MPa)。电化学腐蚀测试结果表明,SLM GNPs/Ti的腐蚀电流密度仅为0.328 μA/cm2,相比SLM Ti降低了约25%。研究工作表明,添加纳米石墨烯是一种强化SLM Ti材料的潜在方法。
关键词:多孔石墨烯/钛复合材料;激光选区熔化技术;微观组织;力学性能;腐蚀性能
Foundation item: Projects(51504191, 51671152, 51874225) supported by the National Natural Science Foundation of China; Project(2019GY-188) supported by the Key R&D Projects of Shaanxi, China; Project(18JC019) supported by the Industrialization Project of Shaanxi Education Department, China; Project(PMMSLKL-901) supported by the State Key Laboratory of Metal Porous Materials, China; Project(2020ZDLGY13-10) supported by the Science & Technology Project of Shaanxi, China
Received date: 2020-11-15; Accepted date: 2021-03-24
Corresponding author: LIU Shi-feng, PhD, Professor; Tel: +86-29-82202933; E-mail: liushifeng66@126.com; ORCID: https://orcid.org/ 0000-0003- 4369-5730