
ARTICLE
J. Cent. South Univ. (2019) 26: 1449-1457
DOI: https://doi.org/10.1007/s11771-019-4101-z

Structural modulation of anthraquinone with different functional groups and its effect on electrochemical properties for lithium-ion batteries
QIAN Su-hui(钱素惠)1, PAN Jun-xian(潘俊贤)1, ZHU Zhao-sheng(朱肇昇)1, YE Rui-tian(叶锐添)1,
LIN Geng-zhong(林耿忠)1, ZHU Xiao-xing(朱潇行)1, XIONG Zhi-yong(熊志勇)2,
GANESH Venkatachalam3, ZENG Rong-hua(曾荣华)1, LUO Yi-fan(罗一帆)1
1. Key Laboratory of Theoretical Chemistry of Environment of Ministry of Education, School of Chemistry and Environment, South China Normal University, Guangzhou 510006, China;
2. School of Chemical Engineering and Materials Science, Beijing Institute of Technology Zhuhai,Zhuhai 519088, China;
3. Electrodics and Electrocatalysis (EEC) Division, CSIR – Central Electrochemical Research Institute (CSIR–CECRI), Karaikudi 630003, Tamilnadu, India
Central South University Press and Springer-Verlag GmbH Germany, part of Springer Nature 2019
Abstract: Organic electrode materials have high capacity, and environmentally friendly advantages for the next generation lithium-ion batteries (LIBs). However, organic electrode materials face many challenges, such as low reduction potential as cathode materials or high reduction potential as anode materials. Here, the influence of chemical functionalities that are capable of either electron donating or electron withdrawing groups on the reduction potential and charge-discharge performance of anthraquinone (AQ) based system is studied. The cyclic voltammetry results show that the introduction of two —OH groups, two —NO2 groups and one —CH3 group on anthraquinone structure has a little impact on the reduction potential, which is found to be 2.1 V. But when three or four —OH groups are intorduced on AQ structure, the reduction potential is increased to about 3.1 V. The charge-discharge tests show that these materials exhibit moderate cycling stability.
Key words: lithium-ion batteries; anthraquinone; electron groups; reduction potential
Cite this article as: QIAN Su-hui, PAN Jun-xian, ZHU Zhao-sheng, YE Rui-tian, LIN Geng-zhong, ZHU Xiao-xing, XIONG Zhi-yong, GANESH Venkatachalam, ZENG Rong-hua, LUO Yi-fan. Structural modulation of anthraquinone with different functional groups and its effect on electrochemical properties for lithium-ion batteries [J]. Journal of Central South University, 2019, 26(6): 1449-1457. DOI: https://doi.org/10.1007/s11771-019-4101-z.
1 Introduction
Secondary batteries as energy storage devices are widely used in portable electronics and electric vehicles [1-11]. The use of electrode materials for current LIBs mainly depends on depletable metal-based inorganic materials prepared from limited mineral resources. Therefore, it is an urgent demand to explore renewable electrode materials, such as organic materials, which are more abundant, low-cost, and require minimum energy consumption [12-14]. Quinone-based electrode materials (QEMs) have high theoretical capacity owing to multi-lithium ion insertion/deinsertion in quinone structure for lithium ion batteries (LIBs) [15]. Moreover, QEMs have advantages of structure diversity, flexibility, and processability as potential candidates for either cathodes or anodes in LIBs [16-18]. However, QEMs are very restricted in practical application due to high solution, low conductivity, and low discharge platform as cathode or high discharge platform as anode [19]. In particular, discharge platform is the key to improve power of LIBs. Some electron withdrawing groups can be introduced onto QEMs, such as —F, —Cl, —N, —S and —OH groups, which can improve the discharge potentials and cycle performance of quinone based electrodes. LEE et al [20] introduced —NH groups in poly (disulfide diphenylamine) (PDTDA), and the results indicated that the discharge platform of PDTDA reached about 3.0 V, the initial discharge capacity was only 94 mA·h/g and has been reduced to 71 mA·h/g after ten cycles. LI et al [21] prepared poly (disulfide-3-amino- xylene) with the addition of sulfur atoms on the polymer, and the results revealed the discharge platform exhibits about 2.6 V, and the first discharge capacity was 225 mA·h/g. NISHIDE et al [22] added methacrylate group on polymethacrylic acid (2,2,6,6-tetramethyl) piperidine-4-ester and the discharge platform of this electrode material increased to about 3.5 V. The initial discharge capacity was only 77 mA·h/g, which was 70% of the theoretical capacity, the discharge capacity did not decrease obviously after 1000 cycles, revealing the better cycle performance. For the influence of the introduction of S element onto QEMs, for instance, the synthesized dibenzo[b,i]thianthrene-5, 7,12,14-tetrone (SPT) electrode achieved the average reduction potential about 2.6 V, which had distinctly 0.4 V inhancement compared with 5,7,12,14- pentacenetetrone (PT) by the addition of S atoms [23]. XUE et al [24] replaced oxygen on carbonyl with sulfur on anthraquinone to synthesize anthrax [1`,9`,8`-b,c,d,e] [4`,10`,5`-b`,c`,d`,e`] bis- [1,6, 6a(6a-SIV)-trithia] pentalene (ABTH), and the discharge platform reached 3.3 V. WAN et al [25] confirmed the influences of the SO3Na– groups on the reduction potential of the anthraquinone electrode, the average reduction potential increased with the increase of SO3Na– groups. Halogen as the strong electron withdrawing group is also used to enhance reduction potential of QEMs for LIBs. For instance, CHEN et al [26] demonstrated the effect of chlorine groups on hydroxyl p-benzoquinone,and the electrochemical performance test displayed that the discharge platform of this material was about 2.3 V, the average reversible capacity reached to about 200 mA·h/g. Also, the impact of fluoroalkyl groups as substituents on benzoquinone (BQ) was studied by YOKOJI et al [27]. The results showed that, compared with BQ, the average discharge platforms of 2,5-bis(trifluoromethyl)-1, 4-benzoquinone (CF3-BQ), 2,5-bis(perfluorobutyl)- 1,4-benzoquinone (Rf4-BQ) and 2,5- bis(perfluorohexyl)-3,6-dichloro-1,4-benzoquinone (Rf6-Cl-BQ) increased apparently and raised to about 3.0 V through the addition of CF3 (trifluoromethyl), Rf4 (perfluorobutyl) and Rf6 (perfluorohexyl) groups. BANDA et al [28] demonstrated the redox potential of perylene diimides (PDIs) was tuned by a simple and efficient approach as high discharge platform postive materials for sodium ion batteries (SIBs). With suitable functional groups (—Br, —CN, —S) as substituents on PDIs, the experiment shows the discharge platform has a remarkable tunability from 2.1 to 2.6 V. In addition, BACHMAN et al [15] investigated the influence of a variety of electron groups on redox potential of AQ in flow batteries by using density functional theory (DFT). The increase of methyl (electron donating groups) can decrease reduction potential of AQ. However, the C=O, carboxylic acid (COOH), and oxy-methyl dioxolane (electron withdrawing groups) can improve reduction potential of AQ. Other electron donating groups, such as tert-butyl, ethyl, phenyl, and alkoxy substituents, and electron withdrawing groups, such as alkoxy substituents, did not increase or reduce the reduction potentials.
Herein, we studied the influence of the different functional (to alter the electronic structure) groups (—OH, —NO2 and —CH3 groups) on the reduction potential of AQ based electrode materials in LIBs, and studied charge-discharge properties of those electrode materials.
2 Experimental
2.1 Physical characterizations
To make sure high purities, anthraquinone (AQ) and its derivatives, including anthraquinones (AQ), 1,5-dihydroxy anthraquinones (2OH-AQ), 1,2,7- trihydroxy-anthraquinone (3OH-AQ) and 1,2,5,8- tetrahy-droxy-anthraquinone (4OH-AQ), 1,5- dinitroanthraquinones (2NO2-AQ), 2-methyl anthraquinones (CH3-AQ), were obtained commercially and used directly as the electrode materials for LIBs.
The powder X-ray diffraction (XRD) data were collected through a Bruker AXS D8-Advanced diffractometer at 40 kV and 40 mA with Cu Kα N1 radiation (λ=1.5406
) at a scanning speed of 0.02 °/s. The experimental XRD patterns were refined by using Accelrys Materials Studio. The morphology was observed by using scanning electron micros-cope (SEM, JEOL JSM6700F) at an accelerating voltage of 5 kV.
2.2 Electrochemical measurements
The six electrodes were fabricated by mixing 2NO2-AQ, CH3-AQ, etc, conductive carbon blacks (Super-P), polyvinylidene fluoride (PVDF) binder at a mass ratio of 60:30:10 in N-methyl-2- pyrrolidone. Individual slurries were pasted and compressed onto Al foil, and dried in a vacuum at 100 °C for 12 h. The loaded mass of electrodes with an area of 1 cm2 was about 2 mg. The electrolyte was 1 mol/L LiPF6 in EC and DMC (VEC:VDMC=1:1). The separator was a Celgard 2300 microporous membrane. Coin-type cells (size: 2025) were assembled coin-type in an Ar-filled glove box. The charge/discharge experiments were carried out at a constant current density of 100 mA/g by using LAND-CT2001A instrument. Cyclic voltammograms were performed at a scan rate of 50 μV/s by using Autolab instrument.
3 Results and discussion
3.1 Physical properties
Figure 1 presents the morphology of 2NO2-AQ and CH3-AQ. As can be seen from Figures 1(a) and (b), the morphology of 2NO2-AQ shows irregular block, the diameters is in the range of 2-10 μm. However, the CH3-AQ is composed of inhomogeneous particles, the particles are 0.5-2 μm in diameters (Figures 1(c) and (d)). The structures of 2NO2-AQ and CH3-AQ are further studied through XRD (Figures 2(a) and (b)). As can be seen from Figure 2(a), after experimental XRD pattern of 2NO2-AQ was refined by using materials studio, the diffractions of 2NO2-AQ are characteristic of monoclinic system and C2c space group (lattice parameters: a=10.3279(6)
, b=11.2263(0)
, c=10.7906(9)
, β=94.5004(4)°). Also, CH3-AQ sample is a monoclinic system and P21/c space group (Figure 2(b),(PDF# 00-048-2443)), which are different from 2NO2-AQ. However, the SEM images and XRD patterns of AQ, 2OH-AQ, 3OH-AQ and 4OH-AQ have been described and analyzed in our previous work [29].

Figure 1 Low and high magnification SEM images of 2NO2-AQ (a, b) and CH3-AQ (c, d)

Figure 2 XRD patterns of 2NO2-AQ (a) and CH3-AQ (b)
3.2 Relation between reduction potentials and functional groups
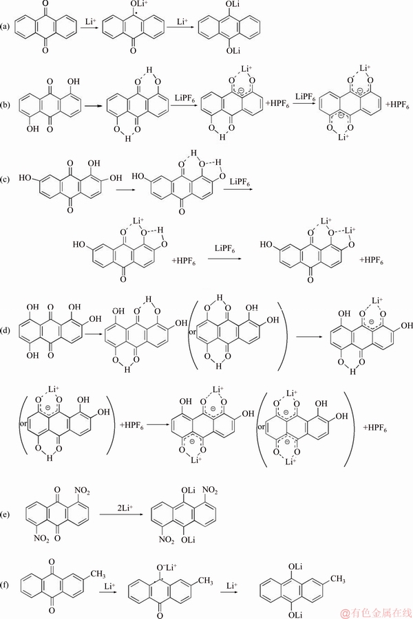
To well comprehend the relation between the reduction potentials and functional electron groups, cyclic voltammetry (CV) testing for AQ, 2OH-AQ, 3OH-AQ, 4OH-AQ, 2NO2-AQ and CH3-AQ are performed. It should be noted that the CV results of AQ, 2OH-AQ, 3OH-AQ, 4OH-AQ have been studied by our previous work [29]. To investigate the relation between the reduction potentials and electron groups, we further analyze —OH groups in combination of —NO2 and —CH3 groups. As shown in Figures 3(a), (b), (e) and (f), during the negative sweeping, the two reduction peaks can be observed, which located at 2.1 and 2.0 V for AQ, 2.3 and 2.0 V for 2OH-AQ, 2.2 and 1.9 V for CH3-AQ, respectively. However, only one reduction peak located at 2.1 V can be observed for NO2-AQ. It is found that the reduction potential (about 2.1 V) almost not increase or decrease when two —OH groups, two —NO2 groups and one —CH3 group are added onto AQ structure. This means that either one or two electron groups, such as —CH3, —OH and —NO2 groups, do not show any effect on the reduction potential. However, when the —OH electron withdrawing groups are continued to introduce on 2OH-AQ structure, the first reduction potential is increased to about 3.0 V for 3OH-AQ and 4OH-AQ (Figures 3(c) and (d)) [29]. The sum charge is computed on O and H in AQ, 2OH-AQ, 3OH-AQ, 4OH-AQ by using NBO analyses in our previous work [29], the sum negative charge of 3OH-AQ and 4OH-AQ is much larger than that of AQ and 2OH-AQ, indicating the added negative charge promotes the insertion of lithium ion and results in the enhancement of reduction potential in 3OH-AQ and 4OH-AQ [29]. We will continue to add the —NO2 and —CH3 electron groups on 2NO2-AQ and CH3-AQ structure and study the relationship between the number of the electron groups and reduction potentials in the future research work.
Figure 4 shows the lithiation process of six electrode materials, and the two split reduction peaks of AQ, 2OH-AQ, 3OH-AQ, 4OH-AQ and CH3-AQ imply the electrons transfer reaction occurs step by step in the carbonyl groups, hydroxyls and lithium ions, and produces either the lithium enolate or complexes. However, only one reduction peak can be observed in 2NO2-AQ, showing two lithium ions inserted into 2NO2-AQ structure simultaneously and generate the lithium enolate [30, 31]. During the positive sweeping, one or two oxidation peaks observed represent one or two steps oxidation reaction, which are ascribed to reoxidation of lithium enolate or complexes to produce the quinonyl group [32, 33]. The lithiation mechanisms in AQ, 2OH-AQ, 3OH-AQ, 4OH-AQ are also reported in detail [29].
3.3 Charge/discharge properties
Galvanostatic charge/discharge profiles were collected for the above mentioned six electrode materials in a potential range of 1.0 to 4.5 V at a current density of 100 mA/g. Figure 5 displays the charge/discharge profiles of 2NO2-AQ and CH3-AQ electrode materials. The initial discharge capacities of 2NO2-AQ and CH3-AQ reach 124 and 147 mA·h/g. After 30 cycles, the discharge capacities of NO2-AQ and CH3-AQ electrodes maintained at 93 and 96 mA·h/g with the capacities decay of 25% and 35%, respectively. The charge/discharge properties of AQ, 2OH-AQ, 3OH-AQ and 4OH-AQ were reported by us in previous work [29]. It is found the six electrode materials exhibit moderate cyclic stability, which may be attributed to the low electronic conductivity of these materials and the solution of these QEMs in organic electrolytes, leading to the sharp fading of the capacity [34]. In addition, the discharge platforms of AQ, 2OH-AQ, 2NO2 -AQ and CH3-AQ are all at about 2.1V, indicating that the introduction of two —OH groups, two —NO2 groups and one —CH3 group on AQ has little influence on the discharge platform, which are consistent with the cyclic voltammetry results.

Figure 3 Cyclic voltammograms for initial cycle at 50 μV/s for AQ (a), 2OH-AQ (b), 3OH-AQ (c), 4OH-AQ (d), 2NO2-AQ (e) and CH3-AQ (f) [29]

Figure 4 Schematic illustrations of lithiation mechanism in AQ (a), 2OH-AQ (b), 3OH-AQ (c), 4OH-AQ (d), 2NO2-AQ (e) and CH3-AQ (f) [29]

Figure 5 Discharge–charge curves for initial 30 cycles of 2NO2-AQ (a), CH3-AQ (b), cycling performance of 2NO2-AQ (c), and CH3-AQ (d)
4 Conclusions
In summary, the relationships between reduction potential and chemical functional groups that are either electron donating or withdrawing in AQ molecular structure have been studied for LIBs. The experimental results reveal that the reduction potentials of these materials have not been improved by the introduction of two —OH groups, two —NO2 groups and one —CH3 group, which is similar to the reduction potential of AQ with about 2.1 V. However, the reduction potentials of 3OH-AQ and 4OH-AQ can increase to about 3.1 V after the three or four groups are added on AQ structure. Meanwhile, the charge-discharge performances of these six electrode materials have also been studied. We will continue to increase the number of —NO2 and —CH3 groups and investigate the relation between reduction potential and electron groups in the future work.
References
[1] YI Jin, LIU Yang, QIAO Yu, HE Ping, ZHAO Hao-sheng. Boosting the cycle life of Li–O2 batteries at elevated temperature by employing a hybrid polymer–ceramic solid electrolyte [J]. ACS Energy Letters, 2017, 2(6): 1378-1384. DOI:10.1021/acsenergy lett.7b00292.
[2] QIAO Yu, YI Jin, WU Shu-chao, YANG Si-xie, HE Ping, ZHAO Hao-sheng. Li-CO2 electrochemistry: A new strategy for CO2 fixation and energy storage [J]. Joule, 2017, 1(2): 359-370. DOI: 10.1016/j.joule.2017.07.001.
[3] YI Jin, LIU Xiao-yu, LIANG Peng-cheng, WU Kai, XU Jie, LIU Yu-yu, ZHANG Jiu-jun. Non-noble iron group (Fe, Co, Ni)-based oxide electrocatalysts for aqueous Zinc–air batteries: Recent progress, challenges, and perspectives [J]. Organometallics, 2018, 38(6): 1-14. DOI: 10.1021/acs. organomet.8b00508.
[4] LEI Ping, WANG Yao, ZHANG Fang, WANG Xin, XIANG Xing-de. Carbon-coated Na2.2V1.2Ti0.8(PO4)3 cathode with excellent cycling performance for aqueous Sodium-ion batteries [J]. Chem Electro Chem, 2018, 5(17): 2482-2487. DOI: 10.1002/ celc.201800379.
[5] LI Wan-fang, ZHANG Fang, XIANG Xing-de, ZHANG Xiu-cheng. Electrochemical properties and redox mechanism of Na2Ni0.4Co0.6[Fe(CN)6] nanocrystallites as high-capacity cathode for aqueous sodium-ion batteries [J]. The Journal of Physical Chemistry C, 2017, 121(50): 27805-27812. DOI: 10.1021/acs.jpcc.7b07920.
[6] LIU Yang, YI Jin, QIAO Yu, WANG Di, HE Ping, LI Qi, WU Shi-chao, ZHOU Hao-shen. Solar-driven efficient Li2O2 oxidation in solid-state Li-ion O2 batteries [J]. Energy Storage Materials, 2018, 11: 170-175. DOI: 10.1016/ j.ensm.2017.10.002.
[7] WU Shi-chao, YI Jin, ZHU Kai, BAI Song-yan, LIU Yang, QIAO Yu, ISHIDA M, ZHOU Hao-shen. A super- hydrophobic quasi-Solid electrolyte for Li-O2 battery with improved safety and cycle life in humid atmosphere[J]. Advanced Energy Materials, 2017, 7(4): 1601759. DOI: 10.1002/aenm.201601759.
[8] LEE J, URBAN A, LI Xin, SU Dong, HAUTIER G, CEDER G. Unlocking the potential of cation-disordered oxides for rechargeable lithium batteries [J]. Science, 2014, 343(6170): 519-522. DOI: 10.1126/science.1246432.
[9] LI Lei, RAJI A O, TOUR J M. Graphene-wrapped MnO2–graphene nanoribbons as anode materials for high-performance lithium ion batteries [J]. Advanced Materials, 2013, 25(43): 6298-6302. DOI: 10.1002/adma. 201302915.
[10] HUANG Jun-da, WEI Zeng-xi, LIAO Jia-qin, NI Wei, WANG Cai-yun, MA Jian-min. Molybdenum and tungsten chalcogenides for lithium/sodium-ion batteries: Beyond MoS2 [J]. Journal of Energy Chemistry, 2018, 33(7): 1-25. DOI: 10.1016/j.jechem.2018.09.001.
[11] LEI Kai-xiang, WANG Chen-chen, LIU Luo-jia, LUO Yu-wen, MU Chao-nan, LI Fun-jun, CHEN Jun. A porous network of bismuth used as the anode material for high-energy-density Potassium-ion batteries [J]. Angewandte Chemie International Edition, 2018, 130(17): 4777-4781. DOI: 10.1002/ange.201801389.
[12] GUO Zhao-wei, MA Yuan-yuan, DONG Xiao-li, HUANG Jian-hang, WANG Yong-gang, XIA Yong-yao. An environmentally friendly and flexible aqueous Zinc battery using an organic cathode [J]. Angewandte Chemie International Edition, 2018, 57(36): 11737-11741. DOI: 10.1002/ange.201807121.
[13] YI Jin, LIANG Peng-cheng, LIU Xiao-yu, WANG Yong-gang, XIA Yong-yao, ZHANG Jiu-jun. Challenges, mitigation strategies and perspectives in development of zinc-electrode materials and fabrication for rechargeable zinc–air batteries [J]. Energy & Environmental Science, 2018, 11(11): 3075-3095. DOI: 10.1039/C8EE01991F.
[14] LUO Zhi-qiang, LIU Luo-jia, NING Jia-xin, LEI Kai-xiang, LU Yong, LI Fun-jun, CHEN Jun. A microporous covalent organic framework with abundant accessible carbonyls for lithium-ion batteries [J]. Angewandte Chemie International Edition, 2018, 57(30): 1-6. DOI: 10.1002/anie.201805540.
[15] BACHMAN J E, CURTISS L A, ASSARY R S. Investigation of the redox chemistry of anthraquinone derivatives using density functional theory [J]. Journal of Physical Chemistry A, 2014, 118(38): 8852-8860. DOI: 10.1021/jp5060777.
[16] HAUPLER B, WILD A, SCHUBERT U S. Carbonyls: powerful organic materials for secondary batteries [J]. Advanced Energy Materials, 2015, 5(11): 1402034. DOI: 10.1002/aenm.201402034.
[17] WANG Heng-guo, SHUANG Yuan, MA De-long, HUANG Xiao-lei. Tailored aromatic carbonyl derivative polyimides for high-power and long-cycle sodium-organic batteries [J]. Advanced Energy Materials, 2014, 4: 1301651. DOI: 10.1002/aenm.201301651.
[18] LIANG Yan-liang, ZHANG Peng, YANG Si-qi, TAO Zhan-liang. Fused heteroaromatic organic compounds for high-power electrodes of rechargeable lithium batteries [J]. Advanced Energy Materials, 2013, 3(5): 600-605. DOI: 10.1002/aenm.201200947.
[19] XING Li-dan, ZHENG Xiong-wen, SCHROEDER M, ALVARADO J, CRESCE A W, XU Kang, LI Qiao-shu, LI Wei-shan. Deciphering the ethylene carbonate–propylene carbonate mystery in Li-ion batteries [J]. Accounts of Chemical Research, 2018, 51(2): 282-289. DOI: 10.1021/acs.accounts.7b00474.
[20] LEE Y G, RYU K S, CHANG S H. Chemically synthesized high molecular weight poly(2,2’-dithiodianiline) (PDTDA) as a cathode material for lithium rechargeable batteries [J]. Journal of Power Sources, 2003, 119: 321-325. DOI: 10.1016/S0378-7753(03)00146-0.
[21] LI Jin-xia, ZHAN Hui, ZHOU Lei, DENG Shi-ren, LI Zhao-ying, ZHOU Yun-hong. Aniline-based polyorganodisulfide redox system of high energy for secondary lithium batteries [J]. Electrochemistry Communications, 2004, 6(6): 515-519. DOI: 10.1016/j.elecom.2004.03.010.
[22] NISHIDE H, IWASA S, PU Y J, SUGA T, NAKAHARA K, SATOH M. Organic radical battery: nitroxide polymers as a cathode-active material [J]. Electrochimica Acta, 2004, 50(2): 827-831. DOI: 10.1016/j.electacta.2004.02.052.
[23] YAO M, ANDO H, KIYOBAYASHI T. Polycyclic quinone fused by a sulfur-containing ring as an organic positive- electrode material for use in rechargeable lithium batteries [J]. Energy Procedia, 2016, 89: 222-230. DOI: 10.1016/ j.egypro.2016.05.029.
[24] XUE Long-jian, LI Jin-xia, HU Su-qing, ZHANG Ming-xia, ZHOU Yun-hong, ZHAN Cai-mao. Anthracene based organodisulfide positive active materials for lithium secondary battery [J]. Electrochemistry Communications, 2003, 5(10): 903-906. DOI: 10.1016/j.elecom.2003.08.018.
[25] WAN Wang, LEE Hung-sui, YU Xi-qian, WANG Chao. Tuning the electrochemical performances of anthraquinone organic cathode materials for Li-ion batteries through the sulfonic sodium functional group [J]. RSC Advances, 2014, 4(38): 19878-19882. DOI: 10.1039/c4ra01166j.
[26] CHEN Hai-yan, POIZOT P, DOLHEM F, BASIR N I, MENTRE O, TARASCON J M. Electrochemical reactivity of lithium chloranilate vs Li and crystal structures of the hydrated phases [J]. Electrochemical and Solid-State Letters, 2009, 12(5): A102-A106. DOI: 10.1149/1.3082038.
[27] YOKOJI T, MATSUBARA H, SATOHB M. Rechargeable organic lithium-ion batteries using electron-deficient benzoquinones as positive-electrode materials with high discharge voltages [J]. Journal of Materials Chemistry A, 2014, 2: 19347-19354. DOI: 10.1039/C4TA02812K.
[28] BANDA H, DAMIEN D, NAGRAJAN K, RAJ A, HARUARAN M, SHAIJUMON M. Sodium-ion batteries: Twisted perylene diimides with tunable redox properties for organic sodium-ion batteries [J]. Advanced Energy Materials, 2017, 7(20): 1701316. DOI: 10.1002/aenm.201770112.
[29] ZENG Rong-hua, XING Li-dan, QIU Yong-cai, WANG Ya-ting, HUANG Wan-na, LI Wei-shan, YANG Shi-he. Polycarbonyl(quinonyl) organic compounds as cathode materials for sustainable lithium ion batteries [J]. Electrochimica Acta, 2014, 146: 447-454. DOI: 10.1016/j.electacta.2014.09.082.
[30] HAN Xiao-yan, CHANG Cai-xian, YUAN Liang-jie, SUN Tao-lei. Aromatic carbonyl derivative polymers as high performance Li-ion storage materials [J]. Advanced Materials, 2010, 19(12): 1616-1621. DOI: 10.1002/adma. 200790044.
[31] XIONG Jiang-feng, CHANG Cai-xian, LI Ming, WU Si-min. A novel coordination polymer as positive electrode material for lithium ion battery [J]. Crystal Growth & Design, 2008, 8(1): 280-282. DOI: 10.1021/cg070386q.
[32] ZHOU Qing, ZHU Zhi-qiang, CHEN Jun. Molecular engineering with organic carbonyl electrode materials for advanced stationary and redox flow rechargeable batteries [J]. Advanced Materials, 2017, 29(48). DOI: 10.1002/adma. 201607007.
[33] WU Yi-wen, ZENG Rong-hua, NAN Jun-min, SHU Dong. Quinone electrode materials for rechargeable lithium/sodium ion batteries[J]. Advanced Energy Materials, 2017, 7(24): 1700278. DOI: 10.1002/aenm.201700278.
[34] PIRNAT K, DOMINKO R, CERE-KOROSEC R, MALI G, GENORIO B, GABERSCSK M. Electrochemically stabilised quinone based electrode composites for Li-ion batteries [J]. Journal of Power Sources, 2012, 199(1): 308-314. DOI: 10.1016/j.jpowsour.2011.10.068.
(Edited by FANG Jing-hua)
中文导读
不同官能团的蒽醌结构调控及其对锂离子电池材料电化学性能的影响
摘要:有机电极材料作为下一代锂离子电池材料具有容量高,环境友好型等优势。然而,有机电极材料面临着许多挑战,如作为正极材料的放电平台低,而作为负极材料的放电平台高。本文研究了具有供电子和吸电子效应的化学官能团对蒽醌(AQ)体系的还原电位和充放电性能的影响。循环伏安法结果表明,在蒽醌结构上引入两个—OH基团、两个—NO2基团和一个—CH3基团对蒽醌结构的还原电位影响较小,还原电位为2.1 V。但在AQ结构上引入3 ~ 4个—OH基团时,还原电位增加到~3.1 V。充放电测试表明这些材料具有适中的循环稳定性。
关键词:锂离子电池;蒽醌;电子基团;还原电位
Foundation item: Project(21875076) supported by the National Natural Science Foundation of China; Projects(2018A050506077, 2017A050506048) supported by the Scientific and Technological Plan of Guangdong Province, China; Project(201910574037) supported by the Undergraduates'Innovating Experimentation Project of China
Received date: 2018-12-12; Accepted date: 2019-01-11
Corresponding authors: ZENG Rong-hua, PhD, Associate Researcher; ORCID: 0000-0001-6009-1432; Tel: +86-20-39310334; E-mail: zengronghua@m.scnu.edu.cn; LUO Yi-fan, PhD, Professor; E-mail: luoyf2004@126.com; ORCID: 0000-0003- 1478-4275