DOI: 10.11817/j.issn.1672-7207.2017.08.012
基于CFD的风雨环境翼伞动力学建模
孙青林1,梁炜1,陶金1,罗淑贞1,陈增强1,贺应平2
(1. 南开大学 计算机与控制工程学院,天津 300350;
2. 航宇救生装备有限公司 实验部,湖北 襄阳,441022)
摘要:为研究风雨对翼伞飞行性能的影响,引入风雨环境翼伞动力学模型,在气动方程中加入雨膜、风荷载、雨荷载等影响因素。利用CFD技术模拟风雨环境:通过网格速度模拟风场,多相流模拟降雨,动网格模拟翼伞姿态变化,并求解时均Navier-Stokes(RANS)方程,对气动方程进行补充与验证,从而完成风雨环境的翼伞动力学建模工作。研究结果表明:CFD模拟结果与NASA经典风洞试验结果接近,验证了翼伞气动方程的合理性;所建模型能够较好描述翼伞在风雨环境下的飞行性能,为复杂环境下翼伞建模提供了新思路。
关键词:翼伞;动力学模型;风雨环境;数值模拟;气动计算
中图分类号:V211.3 文献标志码:A 文章编号:1672-7207(2017)08-2053-10
Dynamic modeling of parafoil in wind and rain environment based on CFD method
SUN Qinglin1, LIANG Wei1, TAO Jin1, LUO Shuzhen1, CHEN Zengqiang1, HE Yingping2
(1. College of Computer and Control Engineering, Nankai University, Tianjin 300350, China;
2. Department of Experiment, Aerospace Life-Support Equipment Co. Ltd., Xiangyang 441022, China)
Abstract: In order to explor the influences of wind and rain on parafoil flight characteristics, parafoil dynamic model was introduced in wind and rain environment by adding the effect factors of rain film, wind load and rain load into its aerodynamic equations. Then, the wind and rain environment was simulated by the CFD method: with wind simulated by mesh velocity, rainfall simulated by multiphase flow and parafoil attitude simulated by dynamic mesh, the Reynolds Averaged Navier Stokes (RANS) equations were solved for the supplements and verification of parafoil aerodynamic equations, so as to complete the task of parafoil dynamic modeling in wind and rain environment. The result shows that CFD simulation results is close to classical NASA wind tunnel test results, which verifies the rationality of parafoil aerodynamic equation. Parafoil dynamic model established in this paper describes the flight characteristics of parafoil in wind and rain environment, which provides a new idea for parafoil modeling in complex environment.
Key words: parafoil; dynamic modeling; wind and rain environment; numerical simulation; aerodynamic calculation
翼伞是一种前缘有缺口,利用冲压空气维持一定形状的柔性飞行器,广泛应用于港口消雾、物资运输、飞行器回收等领域[1-2]。翼伞在风雨环境中飞行时,受到风场影响和降雨冲击,表面形成雨膜,其气动性能与正常状态存在较大差异,因此,建立风雨环境翼伞动力学模型对预测不同环境下翼伞的性能和提高翼伞的可控性有重要意义。目前相关领域研究较少,现有的研究成果主要集中在平直翼型对阵风和降雨的响应。主要研究成果有:仅考虑阵风,SINGH等[3]结合线性活塞理论,研究了亚音速翼型对阵风的阶跃响应,突出了阵风对翼型气动计算的影响;RAVEH[4]侧重于弹性翼型在阵风中的振动与俯仰研究,观察了翼型的抗风能力;KARPEL[5]基于状态空间,研究了翼型抑制阵风策略;许晓平等[6]针对不同展弦比翼型进行数值模拟,得到了展向不同站位的阵风响应历程;聂雪媛等[7]则基于CFD技术实现了降阶模型阵风缓减控制器的设计。GAUDY等[8]针对不同降雨量对翼型气动性能影响进行了NASA风洞试验;DOUVI等[9]研究了翼型风力涡轮机在暴雨中的影响;THOMPSON等[10]侧重于翼型表面雨膜对翼型气动性能的影响;HASTINGS等[11]结合试验分析了雨膜在翼型表面分布情况;REEHORST等[12]则进一步讨论了雨膜在高速运动下结冰对翼型气动性能的影响。然而,在风雨环境下翼型飞行,通常受到风雨共同作用,需要考虑风雨的耦合关系, 对此,CHOI[13]提出风驱雨模型,着重研究了风场对降雨轨迹的影响;黄成涛等[14]则重点对翼型在风雨流场中的开环与闭环性能进行了讨论。以上研究成果主要针对高速运动翼型的气动性能在风雨环境中的变化,由于翼伞飞行速度与风雨速度在同一量级,对应阵风及降雨的夹角与高速平直翼型存在较大差异。为此,本文作者引入风雨环境翼伞动力学模型,在气动方程中加入雨膜、风荷载、雨荷载等影响因素;然后通过网格速度模拟阵风,多相流模拟降雨,动网格模拟翼伞姿态,分析风雨对翼伞气动性能的影响,进一步对气动方程进行补充和验证,实现风雨环境下翼伞动力学建模;最后针对不同的风雨环境进行仿真分析,验证翼伞模型的合理性。
1 风雨环境翼伞动力学模型
1.1 翼伞气动外形
翼伞气动外形如图1所示。其中:c为气动弦长;b为展长;β为弧面下反角;R为绳长;l为前缘切口长度;ε为弧度角。
1.2 风雨环境模型
1.2.1 风场模型
风场包括阵风与常风,作用于翼伞表面形成风荷载。风场模型如下式所示:

图1 翼伞气动外形
Fig. 1 Parafoil aerodynamic shape
(1)
(2)
(3)
式中:v(z)为高度z的平均风速;v为10 m高度的平均风速;z为海拔高度;kw为阵风频率;S(kw)为阵风谱密度[15];cw为粗糙度系数;Fg为阵风因子;m为阵风组成数;φi随机初相位;vw为大地坐标系下风速。
1.2.2 雨模型
降雨受风场影响,持续冲击翼伞表面形成雨荷载。雨模型如下式所示:
(4)
(5)
(6)
(7)
(8)
式中:ar和n为经验常数;N(D)为雨滴谱密度函数;N0,cr和s为拟合系数;Rr为降雨强度;vs为雨滴收尾速度;vr为大地坐标系下雨速,与风速存在耦合关系。
1.3 风雨环境翼伞动力学模型
根据Kirchhoff动力学方程,并考虑翼伞的附加质量[16],建立六自由度翼伞动力学模型,如下式所示:
(9)
其中:
(10)
(11)
(12)
(13)
(14)
式中:
和
为伞体坐标系下翼伞加速度与角加速度;A11为翼伞质量,包括真实质量mr和附加质量ma;A22为翼伞转动惯量,包括真实转动惯量Ir和附加转动惯量Ia;A12与A21为耦合项;F为翼伞受力总和,包括气动力Faero、重力Fg、真实质量耦合力Frex和附加质量耦合力Faex;M为翼伞力矩总和,包括气动力矩Maero,真实质量耦合力矩Mrex和附加质量耦合力矩Maex;
为矢量叉乘矩阵,
(15)
风雨环境下翼伞气动力Faero及气动力矩Maero的计算成为翼伞建模的关键问题,需要考虑雨膜、风荷载、雨荷载等影响因素。采用分片处理的思想[17-18],将伞衣沿展向对称分为8片,并加入风载荷Fw及雨载荷Fr,得到翼伞气动方程如下式所示:
(16)
(17)
其中:
(18)
(19)
(20)
式中:i=1,2,…,8;
,
,
的定义与
的定义相同;
为分片i坐标系到伞体坐标系的转换矩阵;
为分片i转换角;
和
为分片i的升力与阻力;CL和CD为翼伞升力系数与阻力系数;ρ为空气密度;S为分片特征面积;vi为伞体坐标系下分片i速度。
降雨在翼伞表面形成雨膜,改变伞衣厚度与粗糙度,考虑雨膜影响因子kL和kD,气动系数计算如下式所示:
(21)
(22)
式中:CL0和CD0为零迎角升阻系数;CLα和CDα为翼型系数,与翼伞展弦比、相对厚度有关。
风荷载Fw采用分片计算方法进行求解,如下式所示:
(23)
(24)
(25)
(26)
式中:vow为伞体坐标系下风速;Bdt为大地坐标系到伞体坐标系的转换矩阵;
和
为风场带来的升力与阻力增量。
雨荷载Fr采用动量定理进行求解,如下式所示:
(27)
(28)
(29)
式中:vor为伞体坐标系下雨速;So为翼伞投影面积;
为单位时间收集的雨滴质量;η为雨滴收集率;cLW为液态水含量。
至此,风雨环境翼伞建模问题转化为雨膜影响因子kL和kD,风荷载Fw和雨荷载Fr的计算与辨识问题,可通过CFD技术模拟风雨环境,分析翼伞气动性能的变化,从而解决上述问题。
2 CFD翼伞气动性能模拟
2.1 CFD数值模拟
翼伞气动力的计算是目前的一个难点。基于Navier-Strokes方程的CFD方法由于适合在较大的速度范围内求解复杂外形的气动力问题,因而得到了广泛的应用。本文基于CFD方法模拟分析风雨环境下翼伞气动性能的变化规律。
2.1.1 翼伞设置
翼伞气动外形参数如表1所示,用于CFD数值模拟与动力学建模。
表1 翼伞气动外形参数
Table 1 Parafoil aerodynamic shape parameters

2.1.2 多相流与网格速度模拟
多相流用于模拟降雨,主要包括Lagrange法与Euler法,其中Lagrange法在已知流场分布前提下对雨滴进行受力分析,通过求解运动方程得到雨滴轨迹与动量,可用于模拟雨荷载;Euler法将雨滴与空气看作互相渗透的模拟流体,通过求解每相的控制方程得到雨滴溅射效果,可用于模拟雨膜。
气相控制方程[19-20]如下式所示:
(30)


(i,j=1,2,3) (31)
液相控制方程[19-20]如下式所示:
(32)


(i,j=1,2,3) (33)
式中:下标a表示气相部分,下标r表示液相部分;λ为相体积分数;ρ为流体密度;u为流体速度;u′为流体脉冲速度;p为流体动能;μ为扩散系数;Si为源项。
网格速度用于模拟变化的风场,利用相对运动原理,认为网格速度为u,相当于计算域在网格不动的情况下,整体受到-u的来流运动,可有效避免流场内速度突变引起的计算发散问题。当风以速度vw冲击翼伞时,流场内并未使气流速度突增,而是定义网格以速度-vw运动来模拟风,可以缓建气流迎角突变带来的数据震荡。
2.1.3 动网格模拟
采用弹性光顺法与局部重划法相结合生成网格,模拟翼伞的俯仰与滚转运动。图2所示为降雨冲击分析。图2中:P为俯仰中心;R为滚转中心;O为翼伞质心;T为降雨等效作用点;αr和βr为雨滴迎角与雨滴侧滑角。
翼伞气动系数的计算如下式所示:
(34)
(35)
式中:Cl′和Cd′为翼伞等效气动系数,包括雨膜、风荷载、雨荷载等附加影响;Fq为伞体坐标系下翼伞气动力。
翼伞姿态角的计算如下式所示:
(36)
(37)
式中:ζ和θ为翼伞滚转角与俯仰角;Jx和Jz为翼伞滚转与俯仰转动惯量;Dθ,Dζ,Kθ和Kζ为翼型结构参数[21];Mq为伞体坐标系下翼伞气动力矩。
Fq和Mq的计算如下式所示:
(38)
(39)
(40)
式中:Ft和Mt为流体坐标系下翼伞气动力与气动力矩;Bqt为流体坐标系到伞体坐标系的转换矩阵;α为气流迎角;β为气流侧滑角。

图2 降雨冲击分析
Fig. 2 Analysis of rainfall impact
2.1.4 CFD有效性验证
为验证本文CFD数值模拟的有效性,选用文献[8]的NACA64-210翼型风洞试验进行算例分析。风洞试验降雨量通过液态水含量cLW表示,计算公式如下:
(41)
式中:D为雨滴直径;ρr为雨滴密度;N(D)为雨滴谱密度函数。
图3所示为NACA64-210翼型风洞试验与数值模拟。如图3所示,对无雨环境与降雨环境的NACA64-210翼型进行CFD数值模拟,模拟数据与风洞数据接近,最大偏差出现在失速迎角附近,偏差量为5.24%,这是风洞翼型材料与降雨环境的差异造成的。在数值模拟过程中,这些偏差的存在是合理的,从而验证本文数值模拟的有效性。

图3 NACA64-210翼型风洞试验与数值模拟
Fig. 3 Wind tunnel test and numerical simulation of NACA64-210 airfoil
2.2 基于CFD的翼伞气动性能分析
2.2.1 雨膜影响
降雨在翼伞表面形成一层雨膜,包括平铺的水膜层和分散的凸膜层,导致伞衣厚度与粗糙度改变,影响翼伞的气动性能。
水膜层厚度为雨滴在翼伞表面均匀平铺的厚度,计算如下式所示:
(42)
(43)
(44)
式中:hi为弧度sii+1水膜层厚度,相邻弧度水膜层平衡后得到总体水膜层厚度;mi为弧度sii+1的雨滴质量;Δt为雨滴间隔时间;Sa为弧度sii+1对应面积;un为伞衣法向雨滴速度;uw为水膜层流动速度。
雨滴撞击伞衣表面水膜层产生凹坑,凹坑内的水溅射形成凸膜层[22]。凸膜层半径Rc和凸膜层间隔
的计算如下式所示:
(45)
(46)
(47)
式中:
为无因次凸膜层半径;k(D)为直径为D的雨滴形成的凸膜层厚度;N为凸膜层数量。
图4所示为雨膜形成数值模拟结果。设置CFD多相流的基本相为空气,辅助相为降雨,通过调节降雨参数,模拟翼伞表面雨膜的形成。雨膜的形成大致分为4个阶段(图4):降落阶段雨滴受力平衡后以收尾速度降落;接触阶段雨滴速度急剧减小并产生形变;溅射阶段雨滴动量转为对翼伞的冲量,形成雨荷载;平铺阶段雨滴回落并向四周扩散,最终形成雨膜。翼伞表面的雨膜随着旧雨滴的滑落与新雨滴的加入维持动态平衡。

图4 雨膜形成数值模拟结果
Fig. 4 Numerical simulation results of rain film formation
将翼伞表面的气液相数据导出,可用于分析雨膜厚度的分布情况,如图5所示。选择液相体积分数超过0.8的数据作为有效液相数据,用于计算雨膜厚度hr,如下式所示:
(48)
式中:n为液相数据个数;
和
分别为对应数据的液相体积率及雨膜厚度。
雨膜厚度近似为水膜层与凸膜层厚度之和,如表2所示,针对不同降雨强度分别进行雨膜厚度计算与数值模拟,两者差距随着降雨强度的增加而加大,偏差存在与翼型弧度、平面形状及表面粗糙度有关。总体来看,偏差范围在7.5%以内相对较小,验证了多相流模拟翼伞表面水膜的有效性。

图5 雨膜厚度分布
Fig. 5 Thickness distribution of rain film
表2 雨膜厚度计算值与模拟值
Table 2 Calculated and simulated values of rain film thickness

雨膜造成翼伞气动系数斜率的变化,通过雨膜影响因子kL和kD进行修正。对于特定强度的降雨,采用最小二乘法对kL和kD进行辨识,如下式所示:
(49)
式中:θ为辨识参数;
为状态矩阵;YN为输出向量。当θ为kL时,
每一行为不同迎角下的
,YN每一行为对应的CL-CL0;当θ为kD时,
每一行为不同迎角下的
,YN每一行为对应的
,其中CL和CD为模拟的气动参数。
表3所示为雨膜影响因子。通过不同降雨强度的翼伞气动数据可得到对应的kL和kD。由表3可见:kL和kD变化量与降雨强度呈线性关系,较好描述了雨膜对翼伞气动性能的影响规律。
2.2.2 风荷载影响
为得到风荷载对翼伞的影响规律,设置风场环境如下:在5~15 s加入速度为5 m/s的正弦风,观察翼伞姿态变化。图6所示为风场中翼伞俯仰姿态。由图6可见:加入阵风后1.6 s时翼伞俯仰角θ为1.84°;3.3 s时翼伞俯仰角θ为3.77°;4.8 s时翼伞俯仰角θ为5.70°,风荷载导致翼伞产生上仰运动,上仰程度与阵风速度、气流迎角、气流侧滑角等因素有关。
表3 雨膜影响因子
Table 3 Rain film effect factors


图6 风场中翼伞俯仰姿态
Fig. 6 Pitch attitudes of parafoil in wind
阵风速度vw分别设为3,5和7 m/s,分析不同速度阵风对翼伞气动性能影响。图7所示为风荷载对翼伞气动系数影响。由图7可见:翼伞等效升阻系数与风速变化趋势相同,阵风速度为3,5,7 m/s对应的等效升力系数Cl′峰值分别为1.214,1.448和1.749,等效阻力系数Cd′峰值分别为0.260,0.349和0.442。阵风造成翼伞升阻力急剧增加,变化范围与风速成正比,造成翼伞速度与姿态的剧烈变化,成为风雨环境翼伞气动力变化的主要影响因素。
气流迎角与气流侧滑角同样影响翼伞俯仰与滚转运动,分别对0°~18°的气流迎角与气流侧滑角进行数值模拟,通过力矩平衡点得到风荷载等效作用位置,如表4所示。从表4可见:随着气流迎角的增加,作用点的弦向相对位置向后缘移动;随着气流侧滑角的增加,作用点的展向相对位置向迎风侧移动。
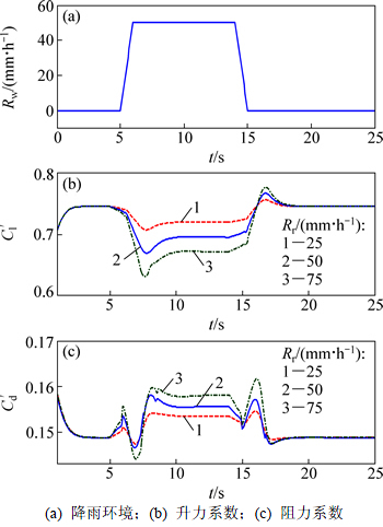
2.2.3 雨荷载影响
为得到雨载荷对翼伞的影响规律,设置降雨环境如下:在5~15 s加入强度为50 mm/h的阶跃雨,观察翼伞姿态变化。图8所示为降雨中翼伞俯仰运动。由图8可见:加入降雨后1.2 s时翼伞俯仰角θ为-1.03°;2.3 s时翼伞俯仰角θ为-2.14°;3.5 s时翼伞俯仰角θ为-3.11°;雨荷载导致翼伞产生下俯运动,下俯程度与降雨强度、雨滴迎角、雨滴侧滑角等因素有关。

图7 风荷载对翼伞气动系数影响
Fig. 7 Wind load effects on parafoil aerodynamic coefficients
表4 风场等效作用点位置
Table 4 Equivalent action points in wind

降雨强度Rr分别设为25,50和75 mm/h,分析不同强度降雨对翼伞气动性能影响。图9所示为雨荷载对翼伞气动系数影响。由图9可见:翼伞等效升阻系数在降雨始末阶段存在波动,降雨强度为25,50和75 mm/h,对应的等效升力系数Cl′分别为0.718,0.692和0.670,等效阻力系数Cd′分别为0.153,0.156和0.158。雨载荷造成翼伞升力减小阻力增加,变化范围与降雨强度呈正比,造成翼伞速度与姿态的持久变化。
表5所示为降雨等效作用点位置。雨滴迎角与雨滴侧滑角影响翼伞俯仰与滚转运动,分别对30°~60°的雨滴迎角与0°~30°的雨滴侧滑角进行数值模拟,通过力矩平衡点得到雨荷载等效作用点位置。由表5可见:随着雨滴迎角的增加,作用点的弦向相对位置向后缘移动;随着雨滴侧滑角的增加,作用点的展向相对位置向迎雨侧移动。

图8 降雨中翼伞俯仰运动
Fig. 8 Pitch attitudes of parafoil in rain

图9 雨荷载对翼伞气动系数影响
Fig. 9 Rain load effects on parafoil aerodynamic coefficients
表5 降雨等效作用点位置
Table 5 Equivalent action points in rain

2.3 风雨环境翼伞气动方程验证
图10所示为数值模拟与气动方程对比。通过CFD数值模拟,得到雨膜影响因子kL和kD、风荷载Fw及作用点Low、雨荷载Fr及作用点Lor,代入式(16)~(22)对翼伞气动方程进行补充与验证。

图10 数值模拟与气动方程对比
Fig. 10 Comparison of numerical simulation and aerodynamic equation
设置风雨环境如图10(a)和(b)所示。从图10(a)和(b)可见:阵风环境比较复杂,在25 s出现周期为10 s、峰值为5 m/s的正弦风;在45 s出现周期为5,10和5 s,峰值为3,7和3 m/s的连续正弦风;在75 s出现周期为20 s、峰值为5 m/s的正弦风。降雨环境相对简单,在10 s出现周期为100 s、强度为50 mm/h的阶跃雨。
由图10(c)和(d)可见:气动方程计算结果与数值模拟结果重合较好,局部偏差增大:长周期阵风峰值阶段升力系数增加4.72%,阻力系数增加2.75%;在连续阵风过渡阶段,升力系数增加10.7%~21.1%,阻力系数减小15.3%~17.7%;连续阵风峰值处升力系数减小1.57%~6.61%。由于偏差多出现在过渡阶段相对短暂,总体上翼伞气动方程较好地反映了风雨环境下翼伞气动性能变化规律。
3 风雨环境翼伞动力学模型仿真
通过翼伞气动方程,得到风雨环境下翼伞动力学模型,在阵风降雨与常风降雨环境进行仿真,得到翼伞的姿态、速度、位置等信息变化情况。
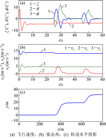
图11所示为阵风降雨环境翼伞飞行性能。阵风降雨环境为25 s加入50 mm/h的降雨,25 s加入周期为10 s、幅值为5 m/s的侧向正弦风,45 s加入周期为10 s、幅值为3 m/s的侧向正弦风。图11所示为常风降雨环境翼伞飞行性能。由图11可见:仅有降雨时翼伞滚转角ζ与偏航角ψ不变,俯仰角θ减小1.32°;侧向速度vy与垂直速度vz保持不变,水平速度vx减小1.12 m/s;水平投影轨迹为直线。加入侧向阵风后,翼伞滚转角ζ与偏航角ψ波动剧烈,俯仰角θ波动平缓;水平速度vx与垂直速度vz保持不变,侧向速度vy增加趋势与阵风的相同;轨迹水平投影表现为翼伞向背风侧偏移,偏移量与风速成正比。

图11 阵风降雨环境翼伞飞行性能
Fig. 11 Flight performance of parafoil in gust and rain environment
图12所示为常风降雨环境翼伞飞行性能。常风降雨环境为25 s加入50 mm/h的降雨与5 m/s的侧向常风。由图12可见:风雨加载阶段俯仰角θ波动范围为2.39°,滚转角ζ波动范围为7.91°,偏航角ψ波动范围为16.80°,稳定后滚转角ζ恢复为0°,俯仰角θ减小1.21°,偏航角ψ增加10.02°;水平速度vx减小1.12 m/s,侧向速度vy增加5.05 m/s,垂直速度vz保持不变,轨迹水平投影表现为翼伞始终向背风侧偏移。
仿真结果表明:本文作者所建翼伞模型可以较好地描述风雨环境下翼伞的姿态、速度、位置等信息,为复杂环境翼伞建模提供了依据。

图12 常风降雨环境翼伞飞行性能
Fig. 12 Flight performance of parafoil in constant wind and rain environment
4 结论
1) 引入风雨环境翼伞动力学模型,在模型的气动方程中加入风载荷、雨载荷、雨膜等影响因素,将建模问题转化为参数计算与辨识问题。
2) 基于CFD数值模拟技术对风雨环境进行模拟:网格速度模拟阵风,多相流模拟降雨,动网格模拟翼伞姿态,借助NASA经典风洞试验数据验证本文数值模拟的有效性。
3) 结合模拟数据,完成气动方程中雨膜、风载荷、雨载荷等参数的计算与辨识,并通过CFD数值模拟进一步验证气动方程的合理性。
4) 在常风降雨与阵风降雨环境中,对所建翼伞模型进行仿真。模型能较好地描述风雨对翼伞飞行性能的影响,为复杂环境翼伞建模提供了新思路。
参考文献:
[1] 李春, 吕智慧, 黄伟, 等. 精确定点归航翼伞控制系统的研究[J]. 中南大学学报(自然科学版), 2012, 43(4): 1331-1335.
LI Chun, L
Zhihui, HUANG Wei, et al. Guidance navigation & control system for precision fix-point homing parafoil[J]. Journal of Central South University (Science and Technology), 2012, 43(4): 1331-1335.
[2] TAO Jin, SUN Qinglin, ZHU Erlin, et al. Quantum genetic algorithm based homing trajectory planning of parafoil system[C]//Control Conference (CCC), 2015 34th Chinese. Hangzhou, China: IEEE, 2015: 2523-2528.
[3] SINGH R, BAEDER J D. Direct calculation of three-dimensional indicial lift response using computational fluid dynamics[J]. Journal of Aircraft, 2012, 34(4): 465-471.
[4] RAVEH D E. Gust-response analysis of free elastic aircraft in the transonic flight regime[J]. Journal of Aircraft, 2012, 48(4): 1204-1211.
[5] KARPEL M. Design for active flutter suppression and gust alleviation using state-space aeroelastic modeling[J]. Journal of Aircraft, 2012, 19(3): 221-227.
[6] 许晓平, 张艳敬. 基于CFD方法的机翼阵风响应研究[J]. 飞机设计, 2011, 31(2): 20-24.
XU Xiaoping, ZHANG Yanjing. Study of the wing gust response for based-CFD method[J]. Aircraft Design, 2011, 31(2): 20-24.
[7] 聂雪媛, 杨国伟. 基于CFD降阶模型的阵风减缓主动控制研究[J]. 航空学报, 2015, 36(4): 1103-1111.
NIE Xueyuan, YANG Guowei. Gust alleviation active control based on CFD reduced-order models[J]. Acta Aeronautica Et Astronautica Sinica, 2015, 36(4): 1103-1111.
[8] GAUDY M B, DUNHAM Jr R E, GENTRY Jr G L, et al. Wind tunnel aerodynamic characteristics of a transport-type airfoil in a simulated heavy rain environment[R]. Hampton: NASA Langley Research Center, 1992: 1-21.
[9] DOUVI E C, MARGARIS D P. Aerodynamic performance investigation under the influence of heavy rain of a NACA 0012 airfoil for wind turbine applications[J]. International Review of Mechanical Engineering, 2012, 6(6): 1228-1235.
[10] THOMPSON B E, JANG J. Aerodynamic efficiency of wings in rain[J]. Journal of Aircraft, 2012, 33(6): 1047-1053.
[11] HASTINGS E C, MANUEL G S. Scale-model tests of airfoils in simulated heavy rain[J]. Journal of Aircraft, 2012, 22(6): 536-540.
[12] REEHORST A, CHUNG J, POTAPCZUK M, et al. Study of icing effects on performance and controllability of an accident aircraft[J]. Journal of Aircraft, 2012, 37(2): 253-259.
[13] CHOI E C C. Numerical modelling of gust effect on wind-driven rain[J]. Journal of Wind Engineering & Industrial Aerodynamics, 1997, 72(1): 107-116.
[14] 黄成涛, 王立新. 风雨对飞机飞行安全性的影响[J]. 航空学报, 2010, 31(4): 694-700.
HUANG Chengtao, WANG Lixin. Effects of rain and wind on aircraft flight safety[J]. Acta Aeronautica Et Astronautica Sinica, 2010, 31(4): 694-700.
[15] 张云彩, 姚美旺, 王敏声,等. 阵风及其谱模拟[J]. 海洋工程, 1996, 14(2): 21-28.
ZHANG Yuncai, YAO Meiwang, WANG Minsheng, et al. Gust simulation[J]. Ocean Engineering, 1996, 14(2): 21-28.
[16] BARROWS T M. Apparent mass of parafoils with spanwise camber[J]. Journal of Aircraft, 2002, 39(3): 445-451.
[17] 熊菁. 翼伞系统动力学与归航方案研究[D]. 长沙: 国防科学技术大学航天与材料工程学院, 2005: 35-38.
XIONG Jing. Research on the dynamics and homing project of parafoil system[D]. Changsha: National University of Defense Technology. School of Aerospace and Materials Engineering, 2005: 35-38.
[18] ZHU Erlin, SUN Qinglin, TAN Panlong, et al. Modeling of powered parafoil based on Kirchhoff motion equation[J]. Nonlinear Dynamics, 2015, 79(1): 617-629.
[19] ZHAN Shuiqing, LI Mao, ZHOU Jiemin, et al. CFD simulation of effect of anode configuration on gas-liquid flow and alumina transport process in an aluminum reduction cell[J]. Journal of Central South University, 2015, 22(7): 2482-2492.
[20] 邓冬. 气液两相流矩形柱绕流旋涡脱落数值研究[D]. 吉林: 东北电力大学能源与机械工程学院, 2009: 26-27.
DENG dong. Numerical investigation of vortex shedding from rectangle cylinders scoured by gas-liquid two-phase flow[D]. Jilin: Northeast Dianli University. College of Energy and Mechanical Engineering, 2009: 26-27.
[21] GHOREYSHI M, CUMMINGS R M. Unsteady aerodynamic modeling of aircraft control surfaces by indicial response methods[J]. AIAA Journal, 2014, 52(12): 2683-2700.
[22] HAINES P, LUERS J. Aerodynamic penalties of heavy rain on landing airplanes[J]. Journal of Aircraft, 1983, 20(2): 111-119.
(编辑 陈爱华)
收稿日期:2016-11-28;修回日期:2017-02-20
基金项目(Foundation item):国家自然科学基金资助项目(61273138);天津市重点基金资助项目(14JC2DJC39300)(Project (61273138) supported by the National Natural Science Foundation of China; Project (14JC2DJC39300) supported by the Key Foundation of Tianjin)
通信作者:孙青林,博士,教授,从事柔性飞行器建模与归航、嵌入式控制系统设计的研究;E-mail:sunql@nankai.edu.cn