文章编号:1004-0609(2016)-09-1912-07
双级时效对Ti-25Nb-10Ta-1Zr-0.2Fe医用β钛合金显微组织与力学性能的影响
许艳飞1, 2,文 璟1, 2,肖逸锋1, 2,王 章1, 2,阳文豪1, 2,
易丹青3,刘会群3,吴 靓1, 2,钱锦文1, 2
(1. 湘潭大学 机械工程学院,湘潭 411105;
2. 湘潭大学 焊接机器人及应用技术湖南省重点实验室,湘潭 411105;
3. 中南大学 材料科学与工程学院,长沙 410083)
摘 要:利用XRD、TEM、显微硬度、拉伸试验等分析方法研究双级时效热处理对Ti-25Nb-10Ta-1Zr-0.2Fe医用钛合金的显微组织和力学性能的影响。结果表明:双级时效硬度曲线在单级时效的上方并且出现明显的双峰特征。双级时效后,合金的晶内形成由片层α组成的“阶梯状” α组织,对硬度产生较大的贡献。单级时效(550 ℃)与双级时效((400 ℃,1 h)+550 ℃)的相析出序列分别为β→β+α″→β+α和β→β+ω→β+α″→β+α。合金性能最优的时效工艺为(400 ℃,1 h)+(550 ℃,2 h)。在此条件下合金弹性模量、抗拉强度、伸长率分别为65 GPa、845 MPa、14.3%,具有良好的综合性能。
关键词:TNTZF合金;双级时效;显微组织;力学性能
中图分类号:TG146.2 3 文献标志码:A
钛与钛合金具有较高的比强度、较低的弹性模量以及良好的耐蚀性和生物相容性,已被广泛应用于人体植入材料[1-2]。但是目前临床上广泛使用的Ti-6Al-4V等医用钛合金尚存在一些缺点,如含有潜在毒性元素V和Al,以及弹性模量偏高,容易导致应力屏蔽,其生物和力学相容性有待进一步提高。由此,学者们通过成分设计,采用Nb、Ta、Zr和 Sn等无毒元素替代Al和V,开发了一系列新型的医用β型钛合金。典型的有Ti-13Nb-13Zr[3]、Ti-35Nb-5Ta-7Zr[4]、Ti-29Nb-13Ta-4.6Zr[5]、Ti-15Zr-4Nb-4Ta[6]和Ti-Zr-Sn- Mo-Nb(TLM)[7]等合金。这些新开发的第三代β型医用钛合金的生物相容性大有改善,弹性模量也相对降低30%~50%[8],但是其弹性模量相对与人骨(10~30 GPa)仍然偏高[9]。这些医用β钛合金具有亚稳定性,相变较复杂,热处理效应强,通过后续的热处理工艺可以在很大范围内对其力学性能进行调整[10]。通过热处理工艺来调控合金的显微组织,从而改善力学性能,达到高强度、低模量,并具有良好塑韧性的优良匹配,是发展新型医用β钛合金的另一种途径。
分级热处理工艺在很多金属材料(钢铁、铝合金和铜合金等)中已经得到大量的研究和广泛的应用。例如,在实际生产中对7×××系铝合金采用双级时效热处理制度,在保持强度的同时提高了合金的断裂韧性及抗应力腐蚀性能[11]。分级热处理在钛合金中也得到一定的研究,如通过对TC18钛合金进行双重退火处理可以改善其组织与性能[12];双级时效可以提高Ti-15V-3Cr-3Al-3Sn合金的硬度和强度[13]。而对于医用钛合金来说,大多数采用单级时效处理制度,关于双级时效热处理工艺的报道十分有限,双级时效过程中合金的相转变规律、微观结构演变以及力学性能的变化等问题有待更加深入研究。
为了探索医用钛合金的组织变化与力学性能的关系,以及其弹性模量、力学相容性匹配规律,本文作者以Ti-25Nb-10Ta-1Zr-0.2Fe新型医用β钛合金为对象,研究双级时效对该合金的微观结构和力学性能的影响,确定合金的最优热处理制度,提高其生物力学性能。
1 实验
本实验中采用真空自耗电弧熔炼方法制备了Ti-25Nb-10Ta-1Zr-0.2Fe(TNTZF,质量分数,%)合金。样品块先在管式炉中进行固溶处理,氩气保护。固溶处理900 ℃/1 h,水淬,将固溶处理之后的样品切成12 mm×12 mm×3 mm小块,真空玻璃管封并放入管式电阻炉中进行单级和双级时效处理,空冷至室温,具体热处理制度见表1。利用OLYMBUSBX51M型光学显微镜对合金进行金相组织观察,腐蚀剂为Kroll试剂,试剂体积比V(HF):V(HNO3):V(H2O)=1:2:9。显微硬度测试在HV-1000型显微硬度计上进行,载荷9.8 N,每个样至少取7个点求平均硬度值作为结果。根据国家标准GB228—2002,采用电火花切割,制备标准拉伸样,采用FR-100C型微机控制电子万能试验机进行常温接头拉伸测试。采用日本理学Rigaku D/Max 2500型X射线衍射仪(XRD)对不同时效态的样品进行物相分析,使用Cu Kα 作为辐射源,石墨单色器,操作电压20 kV、电流250 mA,扫描速度2 (°)/min,选择衍射角范围2θ=20°~80°。采用FEI Tecnai G2 20型透射电子显微镜(TEM)对时效态样品进行微观结构分析。TEM薄片试样经手工研磨至厚度约0.1 mm,冲裁成直径3 mm圆片,再用不同颗粒度的砂纸细磨厚度约为0.05 mm。然后在MTP-1型双喷电解减薄仪上进行双喷减薄、穿孔,双喷电压20 V,电流40 mA。电解液选用:5%高氯酸+35%正丁醇+60%甲醇(体积分数),双喷时采用液氮冷却,温度控制在-25 ℃左右,试样穿孔后用无水乙醇多次浸泡清洗。
表1 TNTZF合金的热处理制度
Table 1 Heat treatment of studies for TNTZF alloy

2 结果与分析
2.1 双级时效对合金硬度的影响
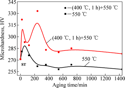
图1所示为TNTZF合金经过(900 ℃,1 h)固溶处理(ST)后,经过550 ℃单级和(400 ℃,1 h)+550 ℃双级时效的时效硬化曲线。从图1中可以看出合金固溶处理后的显微硬度约为270 HV。合金经过单级550 ℃等温时效后,硬度曲线先升高后降低至一个稳定的平台,时效1 h后硬度达到峰值为293 HV,4 h后硬度值稳定在258 HV左右。合金双级时效硬化曲线整体处于单级时效的上方,呈现出明显的双峰形状,最后随第二阶段时效时间延长,硬度趋至稳定。双级时效制度下合金表现出较敏感和较高的时效硬化响应。双级时效对应的两个峰时效时间和硬度分别是(20 min,321 HV)和(4 h,332 HV),8 h之后硬度值稳定在278 HV左右。

图1 TNTZF合金的时效硬化曲线
Fig. 1 Hardness aging time curves of TNTZF alloy
2.2 双级时效对合金相转变的影响
图2所示为TNTZF合金经过单级和双级时效后的XRD谱。前期工作表明固溶态TNTZF合金由亚稳β和少量的马氏体α″组成[14]。从图2(a)单级等温时效的XRD谱中可以看出,400 ℃单级时效20 min后,合金组织由β相、ω相和少量马氏体α″组成。随着时效时间延长至1 h,α″相的衍射峰强度明显升高,伴随β相发生马氏体转变、ω相向α″马氏体和α转变,使得α″数量增多,另外ω相弥散分布为α相析出提供均匀形核的条件。在550 ℃单级时效20 min后,合金主要由α、β相组成且存在少量的马氏体α″,随时效时间延长,马氏体α″向α相转变,时效1 h后马氏体α″完全分解消失,合金达到α+β两相平衡。在400 ℃较低温度时效时,随时效时间延长,合金中发生ω→α″→α或ω→α转变。在550 ℃单级时效情况下,由于温度较高,原子扩散速率加快,ω相或马氏体α″的存在时间比较短,α相转变加快,短时间达到了α+β两相平衡状态;一般而言,时效温度越高,α相析出的动力学阻力就越小,因此合金中单个晶粒析出α相的体积就会越大[15]。
图2(b)所示为TNTZF合金((400 ℃,1 h)+550 ℃)双级时效的XRD谱。从图2(b)可以看出,第二阶段时效1 h后,合金都已经达到了α+β两相平衡。伴随时效时间的延长,α相的衍射峰强度先升高后降低,时效4h峰值达到最高。研究人员对ω相在α相形成过程中所扮演的角色进行了比较详细的研究,一般有3种观点[16]:一种观点认为α相是在距ω/β相界一定距离处形核;第二种观点认为α相是在ω/β相界形核,向β相和ω相内长大,消耗ω相,同时在3种相之间保持了一定的位向关系;第三种观点认为α相直接在ω相内形核。三种观点虽然各有分歧,但说明一点ω相的存在为α相形核提供了有利的场所。结合图2(a)和2(b)分析,在((400 ℃,1 h)+550 ℃)双级时效过程中,发生了ω→α″转变和α″→α转变,使ω、α″分解消失,随时效时间延长,最终达到α+β两相平衡状态。综上所述,550 ℃单级时效析出序列为:β→β+α″→β+α;((400 ℃,1 h)+550 ℃)双级时效析出序列为:β→ω+α″+β→α″+β→α+β。

图2 TNTZF合金单级与双级时效的XRD谱
Fig. 2 XRD patterns of TNTZF alloy after single aging (a) and duplex aging (b)
该合金属于介稳定β钛合金,从β相区固溶淬火冷却至室温,可以得到亚稳定的β相或马氏体α″、淬火ω相等过渡相[17]。这几种相在热力学上都是不稳定的,在随后的时效过程中可以分解成其它的亚稳定相或平衡的α相[18]。有学者研究认为对提高显微硬度的贡献依次为ω>α′>α>β>α″[19-20],因为近β型钛合金的时效硬化主要依靠第二相ω或α相的析出强化,尤其是形成的过渡相ω的硬化效果尤为明显。该合金在低温短时时效时,出现大量ω相,对硬度贡献较大,所以从图1中短时时效硬度迅速升高;随时效时间延长,合金相发生大量ω→α″→α或ω→α转变使得ω相数量减少,此时对合金硬度贡献减少,硬度值下降;时效继续延长,ω相基本消失,α相的数量越来越多,此时合金的硬度贡献较多的为α相,所以合金的硬度再次升高;但随时效时间继续延长,α相的晶粒开始长大使得合金的硬度开始下降,到一定程度合金硬度达到稳定状态,所以整个合金呈现出双峰特征。
2.3 双级时效对合金微结构演变的影响
从图2(a)的XRD谱中可看出合金中存在ω相,为了进一步证明其存在性,对其进行电子衍射花样表征。图3所示为合金400 ℃、20 min单级时效的TEM像及选区电子衍射花样。从图3(a)中可以看出400 ℃、20 min单级时效后,合金中出现椭球状的ω相,尺寸达到50 nm左右。椭球状ω相呈现出两种不同的位向,两种位向的角度接近120°,从其相对应的衍射花样图3(b)也可证实这一点。该结果与XRD分析结果相吻合。
图4所示为550 ℃单级时效4 h后的α相TEM明场像。图4(a)所示基体中α相均匀分布在β基体中,呈针状特征,长度约为0.3~0.8 μm,有的相互连接成V形或三角形(图4(b))。(400 ℃/1 h+550 ℃)双级时效4 h后的α相TEM明场像见图5。从图5中观察到一种不同于单级时效时的α相形貌,称之为阶梯状α相。与西安交通大学陈威等[21]通过对Ti1023合金进行预应变的研究结果相似。陈威等认为这种α/β相间的片层组织是由应变诱发产生的马氏体α″在高温时效阶段分解产生。通过阶梯状α相的放大照片(见图5(b),(c)),可以清楚地看到其内部有很多扁条状的α相相互平行沿同一个方向聚集生长,构成一个大的α相簇,其尺寸相比其他形貌大很多,超过5 μm并贯穿整个观察视野。这种阶梯状的α相在其他双级时效样品中均存在,且随第二阶段时效时间的延长,其尺寸增大。根据前面XRD的分析结果,认为在双级时效的第一阶段400 ℃低温时效时ω开始分解,转变成马氏体α″,α″沿着某一个位向平行生长,并随着第二阶段时效温度升高,马氏体α″向α相转变,随保温时间延长α相开始长大;或者马氏体α″一开始就依附在比较大的α相上,马氏体α″向α相转变并平行生长的同时,α相也跟着长大。所以,在图5(c)所示中看到的阶梯状α相簇,有的已经长大融合在一起,而有的并没有融合在一起。如图1所示,双级时效的硬度曲线整体在单级时效的上面,但是从图2(b)所示相组成来说单级和双级时效一定时间后,都达到β+α的平衡状态。从双级时效的TEM明像场可以看出,阶梯状的α相很明显,数量比较多,所以阶梯状的α相对硬度增加起到明显的作用。这种超大的阶梯α相,在整个合金内相当于一个骨架的作用,所以双级时效的合金显微硬度要比单级时效的要高。

图3 TNTZF合金400 ℃、20 min单级时效态的TEM像和选区电子衍射花样
Fig. 3 Bright field images of TNTZF alloy single aged at 400 ℃ for 20 min (a) and corresponding SAD pattern (b)

图4 TNTZF合金550 ℃/4 h单级时效态的TEM明场像
Fig. 4 Bright field images of TNTZF alloy single aged at 550 ℃ for 4 h
2.4 双级时效对合金力学性能的影响
为了进一步评价双级时效时合金力学性能的影响,对合金选取部分样品进行了拉伸测试。图6所示为合金抗拉强度、弹性模量和伸长率随时效时间的变化趋势。可以看出,随时效时间延长,单级时效合金的伸长率和弹性模量不断增加,抗拉强度先上升后降低;双级时效合金的弹性模量先降低后升高,抗拉强度和伸长率先增加后降低。总的来说单级与双级时效性能参数上没有数量级上的差别,但是双级时效比单级时效的合金具有更好地综合性能表现,且时效时间缩短,相应地减少了能源消耗,能更好的满足实际生产中节能、高效的要求。最优工艺参数是(400 ℃, 1 h)+(550 ℃,2 h),此时合金的抗拉强度较高为845 MPa,弹性模量较低为65 GPa,伸长率为14.3%,综合性能达到良好的匹配,可以满足植入材料对生物力学性能的要求。

图5 TNTZF合金双级时效((400 ℃、1 h)+(550 ℃、4 h))下的TEM明像场
Fig. 5 Bright field micrograph of TNTZF alloy duplex aged at ((400 ℃, 1 h)+(550 ℃, 4 h))

图6 合金时效时间与抗拉强度、弹性模量和伸长率的关系
Fig. 6 Relationship between aging time and ultimate strength (a), elastic modulus (b) and elongation (c) of TNTZF alloy after 550 ℃ single aging and ((400 ℃, 1 h)+550 ℃) duplex aging
3 结论
1) TNTZF合金双级时效硬度曲线基本处于在单级时效硬度曲线的上方。在550 ℃单级时效处理时,合金硬度随时效时间延长先升高后降低,时效1 h后硬度达到峰值,时效4 h后硬度趋于稳定;在((400 ℃、1 h)+550 ℃)双级时效时,硬度曲线呈现出双峰特征,峰值分别出现在(20 min,321HV)和(4 h,332HV),8 h后硬度值稳定在278HV左右。
2) 合金在550 ℃单级时效过程中,β基体中短时间析出马氏体α″相,随后α″相转变成α相。析出序列为β→β+α″→β+α;合金在双级时效第一阶段400 ℃时效时析出ω相和α″相,在第二阶段550 ℃时效时,ω相和α″相转变为α相,双级时效析出序列为β→β+ω→β+α″→β+α。双级时效过程中形成阶梯状的α相簇,对合金硬度有较明显的贡献。
3) 在一定时效范围内,单级随时效时间延长伸长率升高,弹性模量增加;双级时效伸长率先增加后降低,弹性模量先降低后升高。抗拉强度均呈现先上升后降低的趋势。合金性能最优的时效工艺为(400 ℃、1 h)+(550 ℃、2 h),此时合金的抗拉强度较高为845 MPa,弹性模量较低,为65 GPa,伸长率为14.3%,综合性能达到良好的匹配,可以满足植入材料对生物力学性能的要求。
REFERENCES
[1] 赵永庆. 国内外钛合金研究的发展现状及趋势[J]. 中国材料进展, 2010, 29(5): 1-8.
ZHAO Yong-qing. Current situation and development trend of titanium alloys[J]. Materials China, 2010, 29(5): 1-8.
[2] 李 军, 李佐臣, 陈杜娟. 新型外科植入用钛合金TZNT的生物相容性[J]. 中国有色金属学报, 2010, 20(4): 756-764.
LI Jun, LI Zuo-chen, CHEN Du-juan. Biocompatibility of new titanium alloy TZNT for surgical implant application[J]. Chinese Journal of Nonferrous Metals, 2010, 20(4): 756-764.
[3] 查树银, 崔振铎, 朱胜利, 杨贤金. 新型医用β-Ti13Nb13Zr合金组织[J]. 金属热处理, 2006, 31(2): 57-59.
CHA Shu-yin, CUI Zhen-duo, ZHU Sheng-li, YANG Xian-jin. Microstructure of β-Ti13Nb13Zr alloy for biomedical applications[J]. Heat Treatment of Metals, 2006, 31(2): 57-59.
[4] 马秀梅, 孙 威, 杨永建. 生物医用Ti-Nb-(Ta)-Zr合金的微观结构与性能[J]. 中国有色金属学报, 2010, 20(6): 1195-1202.
MA Xiu-mei, SUN Wei, YANG Yang-jian. Microstructures and properties of biomedical Ti-Nb-(Ta)-Zr alloys[J]. Chinese Journal of Nonferrous Metals, 2010, 20(6): 1195-1202.
[5] YILMAZER H, NIINOMI M, NAKAI M, HIEDA J, TADAKA Y, AKAHORI T. Heterogeneous structure and mechanical hardness of biomedical β-type Ti-29Nb-13Ta-4.6Zr subjected to high-pressure torsion.[J]. Journal of the Mechanical Behavior of Biomedical Materials, 2012, 10: 235-245.
[6] CHOE H C, SAJI V S, YEONG-Mu K O. Mechanical properties and corrosion resistance of low rigidity quaternary titanium alloy for biomedical applications[J]. Transactions of Nonferrous Metals Society of China, 2009, 19(4): 862-865.
[7] YU Z T, ZHENG Y F, NIU J L, HUANG P Q, ZHANG Y F, YU S. Microstructure and wear resistance of Ti-3Zr-2Sn-3Mo-15Nb (TLM) alloy[J]. Transactions of Nonferrous Metals Society of China, 2007, 17(S1): s495-s499.
[8] GEETHA M, SINGH A K, ASOKAMANI R, GOGIA A K. Ti based biomaterials, the ultimate choice for orthopaedic implants—A review[J]. Progress in Materials Science, 2009, 54(3): 397-425.
[9] SUMNER D R, GALANTE J O. Determinants of stress shielding: design versus materials versus interface[J]. Clinical Orthopaedics & Related Research, 1992, 274(274): 202-212.
[10] 陈 威, 孙巧艳, 肖 林, 孙 军, 葛 鹏. 时效工艺对Ti1023合金微观组织和力学性能的影响[J]. 稀有金属材料与工程, 2011, 40(4): 708-713.
CHEN Wei, SUN Qiao-yan, XIAO Lin, SUN Jun, GE Peng. Influence of aging process on microstructure and mechanical properties of Ti1023 alloys[J]. Rare Metal Materials And Engineering, 2011, 40(4): 708-713.
[11] 韩念梅, 张新明, 刘胜胆, 宋丰轩, 辛 星. 双级时效对7050铝合金厚板断裂韧性的影响[J]. 中南大学学报(自然科学版), 2011, 42(3): 623-628.
HAN Nian-mei, ZHANG Xin-ming, LIU Sheng-dan, SONG Feng-xuan, XIN Xing. Influence of two-step aging on fracture toughness of 7050 aluminum alloy plate[J]. Journal of Central South University (Science and Technology), 2011, 42(3): 623-628.
[12] 王晓燕, 郭鸿镇, 姚泽坤, 王 涛, 赵 严, 魏寿庸, 王鼎春. 双重退火对TC18钛合金等温锻件组织性能的影响[J]. 材料热处理学报, 2009, 30(1): 100-103.
WANG Xiao-yan, GUO Hong-zhen, YAO Ze-kun, WANG Tao, ZHAO Yan, WEI Shou-yong, WANG Ding-chun. Effect of duplex annealing on microstructure and properties of TC18 titanium alloy isothermally forged[J]. Transactions of Materials and Heat Treatment, 2009, 30(1): 100-103.
[13] SANTHOSH R, GEETHA M, SAXENA V K, NAGESWAEAEAO M. Studies on single and duplex aging of metastable beta titanium alloy Ti-15V-3Cr-3Al-3Sn[J]. Journal of Alloys and Compounds, 2014, 605(9): 222-229.
[14] XU Y F, YI D Q, LIU H Q, WANG B, YANG F L. Age-hardening behavior, microstructural evolution and grain growth kinetics of isothermal ω phase of Ti-Nb-Ta-Zr-Fe alloy for biomedical applications[J]. Materials Science and Engineering A, 2011, 529(1): 326-334.
[15] 麻西群, 于振涛, 牛金龙, 余 森, 韩建业, 张亚峰. Ti-3Zr-Mo-15Nb医用钛合金的显微组织及力学性能[J]. 稀有金属材料与工程, 2010, 39(11): 1956-1959.
MA Xi-qun, YU Zhen-tao, NIU Jin-long, YU Sen, HAN Jian-ye,ZHANG Ya-feng. Microstructure and mechanical properties of Ti-3Zr-Mo-15Nb medical titanium alloys[J]. Rare Metal Materials and Engineering, 2010, 39(11): 1956-1959.
[16] 常 辉, 周 廉, 张廷杰. 钛合金固态相变的研究进展[J]. 稀有金属材料与工程, 2007, 36(9): 1505-1510.
CHANG Hui, ZHOU Lian, ZHANG Ting-jie. Review of solid phase transformation in titanium alloys[J]. Rare Metal Materials and Engineering, 2007, 36(9): 1505-1510.
[17] 吴晓东, 杨冠军, 葛 鹏, 毛小南,冯宝香. β钛合金及其固态相变的归纳[J]. 钛工业进展, 2008, 25(5): 1-6.
WU Xiao-dong, YANG Guan-jun, GE Peng, MAO Xiao-nan,FENG Bao-xiang. Inductions of β titanium alloy and solid state phase transition[J]. Titanium Industry Progress, 2008,25(5): 1-6.
[18] ZHOU Y L, NIINOMI M, AKAHORI T. Decomposition of martensite α″ during aging treatments and resulting mechanical properties of Ti-Ta alloys[J]. Materials Science and Engineering A, 2004, 384(1/2): 92-101.
[19] HAO Y L, NIINOMI M, KURODA D, FUKUNAGA K, ZHOU Y L, YANG R, SUZUKI A. Young’s modulus and mechanical properties of Ti-29Nb-13Ta-4.6Zr in relation to α″ martensite[J]. Metallurgical and Materials Transactions A, 2002, 33(10): 3137-3144.
[20] 于振涛, 余 森, 张明华, 韩建业, 麻西群. 外科植入物用新型医用钛合金材料设计、开发与应用现状及进展[J]. 中国材料进展, 2010, 29(12): 35-51.
YU Zhen-tao, YU Sen, Zhang Ming-hua, HAN Jian-ye,MA Xi-qun. Design, development and application of novel biomedical Ti alloy materials applied in surgical implants[J]. Materials China, 2010, 29(12): 35-51.
[21] CHEN W, SONG Z, XIAO L, SUN Q, SUN J, GE P. Effect of prestrain on microstructure and mechanical behavior of aged Ti-10V-2Fe-3Al alloy[J]. Journal of Materials Research, 2009, 24(9): 2899-2908.
Effects of duplex aging on microstructure and mechanical properties of Ti-25Nb-10Ta-1Zr-0.2Fe alloy
XU Yan-fei1, 2, WEN Jing1, 2, XIAO Yi-feng1, 2, WANG Zhang1, 2, YANG Wen-hao1, 2,
YI Dan-qing3, LIU Hui-qun3, WU Liang1, 2, QIAN Jin-wen1, 2
(1. School of Mechanical Engineering, Xiangtan University, Xiangtan 411105, China;
2. Key Laboratory of Welding Robot and Application Technology of Hunan Province,
Xiangtan University, Xiangtan 411105, China;
3. School of Materials Science and Engineering, Central South University, Changsha 410083, China)
Abstract: The effects duplex aging on the microstructure and mechanical properties of Ti-25Nb-10Ta-1Zr-0.2Fe titanium alloy were studied by XRD、TEM、microhardness and tensile test analysis methods. The results indicate that the hardness curve of duplex aging is on the tops of the curve of single aging, and shows the double-peak feature. Ladder-shaped α composed of lath α in the matrix is observed after duplex aging which leads to the increase of hardness. The precipitation sequence during single (550 ℃) and duplex ((400 ℃, 1 h)+550 ℃) is determined as: β→β+α″→β+α and β→β+ω→β+α″→β+α, respectively. The optimum aging process is ((400 ℃, 1 h)+(550 ℃, 2 h)), in this condition, the elastic modulus, tensile strength and elongation of the alloy are 65 GPa、845 MPa and 14.3%, respectively, the alloy has excellent comprehensive performance.
Key words: TNTZF alloy; duplex aging; microstructure; mechanical property
Foundation item: Project(51401175, 51504213, 51271158) supported by National Natural Science Foundation of China; Project(2015JJ3123) supported by Natural Science Foundation of Hunan Province, China; Project(2015WK3021) supported by Science and Technology Plan of Hunan Province, China; Project supported by Research and Innovation of Xiangtan University Students, China
Received date: 2016-02-24; Accepted date: 2016-07-06
Corresponding author: XIAO Yi-feng; Tel: +86-13107322821; E-mail: xiaoyifeng@xtu.edu.cn
(编辑 王 超)
基金项目:国家自然科学基金资助项目(51401175,51504213,51271158);湖南省自然科学基金资助项目 (2015JJ3123);湖南省重点研发计划项目(2015WK3021);湘潭大学大学生研究性学习和创新项目
收稿日期:2016-02-24;修订日期:2016-07-06
通信作者:肖逸锋,副教授,博士;电话:13107322821;E-mail:xiaoyifeng@xtu.edu.cn