DOI: 10.11817/j.issn.1672-7207.2016.12.025
加轴压卸围压条件下岩石的力学特性与能量特征
方前程1, 2,商丽2,商拥辉2, 3,陈钊峰3
(1. 中南大学 资源与安全工程学院,湖南 长沙,410083;
2. 黄淮学院 建筑工程学院,河南 驻马店,463000;
3. 中南大学 土木工程学院,湖南 长沙,410075)
摘要:利用MTS815型压力试验机进行加轴压卸围压路径下花岗岩常规三轴卸载试验,研究加轴压卸围压路径下岩石的应力-应变全过程曲线、力学性质及能量特征。采用剪胀角描述岩石的扩容特性。研究结果表明:在卸围压过程中,侧向应变与围压先呈线性关系后呈非线性关系,且其增长速率明显大于轴向应变增长速率,表现出明显的侧向扩容;变形模量随围压卸载而逐渐减小,且随着初始围压的增大而逐渐增大;泊松比随围压卸载而不断增大,同一时刻点的轴向应变增量变化量度略大于侧向应变增量变化量;剪胀角随着初始围压增大而减小;基于能量原理获得岩石应变能随着围压的卸载呈逐渐增大的规律。
关键词:岩石力学;三轴卸载试验;力学特征;能量特征
中图分类号: TD315 文献标志码:A 文章编号:1672-7207(2016)12-4148-06
Mechanical and energy characteristics of granites under unloading test
FANG Qiancheng1, 2, SHANG Li2, SHANG Yonghui2, 3, CHEN Zhaofeng3
(1. School of Resources and Safety Engineering, Central South University, Changsha 410083, China;
2. Institute of Architecture and Engineering, Huanghuai University, Zhumadian 463000, China;
3. School of Civil Engineering, Central South University, Changsha 410075, China)
Abstract: Through carrying out unloading experiments by increasing axial pressure while decreasing confining pressure on granites in tri-axial unloading test, the complete stress-strain curves, deformation characteristics and energy characteristics were obtained. The dilatancy angle was used to describe the dilatancy characteristics of rock.The results show that the relationship between lateral strain and confining pressure is firstly linear, and then nonlinear in the total stage of unloading confining pressure. Development of lateral plastic deformation is more rapid than that of the axial direction, which shows obvious lateral dilatancy. Deformation modulus decreases with the increase of the unloading confining pressure, and with the increase of the initial confining pressure, deformation modulus increases. The Poisson’s ratio increases continually with the decrease of the confining pressure.The variation of axial increment strain in the same time is slightly greater than that of the lateral increment. The dilatancy angle decreases with the increase of the initial confining pressures.
Key words: rock mechanics; tri-axial unloading test; mechanical characteristics; energy characteristics
随着我国浅部资源开采日益殆尽,越来越多的矿山开始向深部开挖。开挖前岩石处于三向应力平衡状态,开挖后岩石一侧处于卸载状态,容易发生岩爆、围岩垮塌、顶板冒落等灾害,而不同的开挖方式、开挖速度、开挖深度等对应着不同的力学性质及能量特性[1-2],为此,有许多学者开展了大量研究,如:陈宗基等[3]对岩石破坏和地震之前与时间有关的扩容进行了研究;尤明庆等[4]对三轴卸围压进行了分析;陈卫忠等[5]对大理岩卸围压幂函数型Mohr强度特性进行了研究;陈景涛等[6]模拟地下开挖进行了真三轴试验研究;黄伟等[7]研究了高围压下岩石卸载的扩容性质及其本构模型;朱杰兵等[8]对页岩卸载流变力学特性进行了试验研究;郭印同等[9]进行了盐岩卸围压力学特性试验,得到了盐岩卸围压过程的应力-应变关系、变形特征及其规律等。在能量方面,谢和平等[10]提出用损伤演化方程从宏观上描述了损伤变量以及相应的广义热力学力—损伤能量释放率的变化规律;尤明庆等[11]认为在岩石应力达到峰值强度前不断吸收外界的能量,而达到峰值后破坏则是能量不断释放的过程;苏承东等[12]发现大理岩的塑性变形与能量特征之间的关系比较明显,三轴压缩过程中屈服前耗能较少,破坏过程的耗能主要在屈服过程中裂隙摩擦滑移产生塑性变形上。以上研究大部分基于恒轴压卸围压的应力路径条件,而深部矿山开采主要是在加轴压卸围压的应力路径条件下进行,对应的力学性质与能量特征不同[13],为此,有必要进行加轴压卸围压条件下岩石的力学特性与能量特征研究。本文作者以花岗岩为研究对象,在实验室条件下开展花岗岩加轴压卸围压三轴试验,得到岩石的应力应变曲线、力学特性以及能量特征。
1 试验
1.1 试验条件
试验在中南大学力学中心MTS815型压力试验机上进行。该试验机配有伺服控制的全自动三轴加卸压、测量系统。在本次试验中,三轴加载试验采用位移加载控制方式,轴压加载速率为0.03 mm/s,围压加载速率为0.1 MPa/s,卸载试验采用荷载控制,由试验辅助软件系统程序自动控制实现,卸围压前轴压加载速率为1.5 kN/s。此花岗岩呈灰白色,岩样在天然含水状态下纵波波速为3.2~3.8 km/s,密度为2.6 g/cm3,岩样直径×长度为50 mm×100 mm,其单轴抗压强度为80 MPa。
1.2 试验方案
1) 首先按静水压力条件施加σ1(σ1=σ3,其中σ1为轴向应力,σ3为围压)到预定值,预定值分别为10,20和30 MPa。
2) 加轴压σ1至预定的初始应力水平。
3) 以0.05 MPa/s的卸载速率卸围压的同时,以0.05 MPa/s加载速率增大轴压。
4) 试件破坏。各岩样的初始应力状态如表1所示。
表1 各岩样初始应力条件
Table 1 Initial geostress condition of various rock samples

2 试验结果分析
2.1 应力应变特征
图1所示为不同围压下加轴压卸围压过程中岩石的应力-应变曲线。从图1可以看出:在加轴压卸围压过程中,轴向应变εax均增大但增大速度极缓慢,而侧向应变εl迅速增大,侧向应变增量为轴向应变增量的10倍左右。由于侧向的膨胀变形量比轴向的压缩变形量大,导致体积应变εv由正转变为负值,说明岩样发生体积扩容,表现为侧向张拉破坏,最终导致岩样发生宏观破坏。

图1 卸载试验下岩石的应力-应变曲线
Fig. 1 Stress-strain curves of rock in unloading tests
2.2 变形参数特征
在三轴卸载试验中,卸载过程的变形参数求解应该考虑侧向变形和围压的影响,基于胡克定律,采用以下计算式[14]:
(1)
(2)
(3)
式中:Et为t时刻的卸载变形模量;μt为t时刻的泊松比;σ1t为t时刻的最大主应力;σ3t为t时刻的最小主应力;ε1t为t时刻的轴向应变;ε3t为t时刻的侧向应变。
图2所示为加轴压卸围压试验过程中岩样的变形模量随围压卸载的变化曲线。从图2可看到:在卸载过程中,岩体变形模量随围压卸载而逐渐减小,且变形模量的变化率随着围压的卸载而逐渐降低。这说明式样抵抗变形能力越弱,岩石裂缝扩展越充分,直到发生宏观破坏。在临近破坏点时,初始围压为30 MPa时的弹性模量最小,初始围压为10 MPa时的弹性模量最大。这是由于在高围压下临近破坏点时,岩石内部裂隙已经贯通,形成了较完整的破裂面,以致发生破坏时,岩石承载力迅速降低。这从另一方面说明在高围压下卸载容易发生岩爆现象。
卸载阶段名义泊松比-围压变化曲线如图3所示。从图3可见:泊松比在卸载初始阶段随着围压的卸载而逐渐增大;当应力达到岩石屈服强度时,泊松比增大速率迅速变大,这是因为在接近破坏点时,侧向应变变化率远大于轴向应变变化率;当卸载到一定程度后,名义泊松比甚至超过了1.5,因此,此时的泊松比不再是一般意义上的材料特性,而包括了裂隙扩展张开变形[14];在初始围压为10 MPa时,泊松比接近1.8,而在初始围压为30 MPa时,泊松比为1.0左右。这表明在低围压下卸载时,岩石侧向变形最大,扩容现象最明显。

图2 卸载中卸载变形模量E随围压的变化关系
Fig. 2 Relationship between deformation modulus and confining pressure

图3 卸载阶段名义泊松比μ-围压变化曲线
Fig. 3 Mutative curves of Poisson’s ratio and confining pressure in unloading
2.3 应变增量特征
为了描述卸载过程中岩石的变形特征,本文提出1个描述变量-应变增量变化量D,即从卸围压开始点到卸载结束点中任意1点相对于卸载起始点的应变增量与整个卸载过程应变增量的比值,
(4)
(5)
式中:Dax与Dlat分别为轴向应变增量变化量和侧向应变增量变化量;△εax为轴向应变增量;△εlat为侧向应变增量;i为卸载过程中任意时刻点。应变增量变化量表示卸载过程中任意时刻点卸围压时各应变增量变化速度的物理量,它能很好地反映卸载过程中卸围压对各应变的影响程度,也能说明岩石在卸载过程中裂隙扩展的变化情况。应变增量变化量越大,说明变形对卸围压降低越敏感。
以初始围压为30 MPa为例进行分析。图4所示为应变增量变化量与卸围压降低变化量
的关系。

图4 应变增量变化量D随卸围压演化过程
Fig. 4 Evolution of variation of axial strain increment with unloading confining pressures
在加轴压卸围压条件下,同一时刻点的轴向应变增量变化量度略大于侧向应变增量变化量。当卸围压降低变化量为0~0.6时,轴向应变增量变化量和侧向应变增量变化量随着卸围压降低变化量的增大而基本呈线性增大的规律。在这一阶段轴向应变增量变化量和侧向应变增量变化量只增大0.3左右。这说明岩石损伤在第一阶段随着卸围压的进行缓慢发展,在这一阶段微裂缝生成并稳定地扩张,但这些裂缝不会相互作用;当卸围压降低变化量大于0.6时,轴向应变增量变化量和侧向应变增量变化量快速增大。60%~80%的应变变形发生在此阶段,说明在此卸载阶段岩石中裂隙发生大量裂隙,并迅速扩展。
2.4 扩容特征
在岩石力学理论中,通常采用剪胀角ψ来表征岩石的扩容特征。根据VERMEER 等的建议,将剪胀角ψ表示为[15]
(6)
式中:
和
分别为体积应变增量与轴向应变增量。图5所示为从卸载开始至卸载结束过程中剪胀角ψ随侧向应变增量变化量的演化过程。从图5可见:
1) 剪胀角与卸载初始围压有关,剪胀角随着卸载初始围压增大而减小,说明卸载初始围压对岩石的扩容有阻碍作用。
2) 在加轴压卸围压时,剪胀角快速增大到最大峰值水平,随后有小幅度降低,最后基本稳定在固定的剪胀角水平。这是因为在卸载过程中,岩石侧向应力大幅度降低,而轴向应力降低幅度非常小,岩石内部应变能快速释放使许多微裂缝产生、扩展,侧向应变快速增大,而轴向应变来不及发生变形,产生剪胀角快速增大的过程。随着卸载进行,微裂缝进一步扩展和贯通消耗应变能,剪胀角缓慢降低到某一稳定状态直到岩石破坏。

图5 剪胀角ψ随侧向应变增量变化量D的演化过程
Fig. 5 Eevolution of dilatancy angle with variation of lateral strain increment
2.5 能量演化特征
在岩石常规三轴加载试验中,试验机在轴向方向对岩石作正功,侧向方向围压对岩石作负功。假设该物理过程与外界没有热交换,即为封闭系统。因此,根据热力学第一定律在整个试验过程中岩石的应变能U可表示为:
(7)
(8)
U1和U3均可根据应力-应变曲线积分求得:
(9)
(10)
式中:
为t时刻的轴向应变;
为t时刻的侧向应变。在常规三轴试验下,试验过程中t时刻的弹性应变能 Ue 可根据下式[10]求解:
(11)
式中:
和
分别为t时刻的三轴卸载弹性模量和泊松比。增大轴压卸围压试验的能量转换如图 6 所示。由图6可知:在卸围压阶段,岩样的弹性应变能由Uei(数值上为A0A
围成的面积)变为Uej(数值上为B0B
围成的面积),Uej大于Uei,说明在卸围压过程中岩样吸收弹性应变能。轴向方向试验机持续对岩石作正功,环向膨胀,试验机侧向方向对岩石作负功,因此,在加轴压卸围压试验中岩样的耗散能表示为
(12)
其中:Uij数值上为图6中AB
围成的面积。
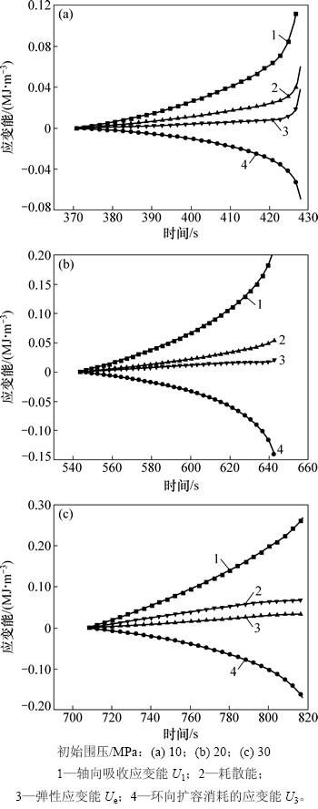
图7所示为3种方案下轴向吸收应变能U1、环向消耗的应变能U3、弹性应变能Ue以及耗散能Ud的时程曲线。由图7可知:
1) 卸围压初始阶段轴向吸收应变能U1基本呈线性增大规律,环向消耗的应变能U3呈线性负增长规律,弹性应变能Ue以及耗散能Ud基本保持不变,这说明岩石处于弹性阶段。这一阶段岩石轴向吸收应变能主要转化为环向消耗的应变能,只有极小部分转化为弹性应变能存储起来。
2) 在临近破坏点阶段,轴向吸收应变能U1、弹性应变能Ue、耗散能Ud快速增大,这是由于岩石临近破坏时塑性变形和裂缝快速增大、扩展。而此时岩石内部存储的弹性应变能释放,释放的弹性应变能并不能完全被岩石破裂耗散掉,还有一部分以小岩块的动能形式释放出来,以致产生岩爆现象。
3) 岩样轴向吸收应变能U1、环向扩容消耗的应变能U3、弹性应变能Ue以及耗散能Ud都随着初始围压的增大而增大。这说明在越高的围压下卸载,发生岩爆的可能性越大。而在岩石破坏之前,弹性应变能Ue增率随着围压卸载的进行逐渐降低,说明岩石储存弹性应变能的能力变弱,这时因损伤的耗散能占主导地位,岩石逐渐发生宏观破坏。

图6 卸载试验的能量转换图
Fig. 6 Energy transformation in unloading confining pressure test

图7 卸围压岩石试样应变能转化典型时程曲线
Fig. 7 Typical time-history curves of strain energy conversion for rock specimens under unloading confining pressure
3 结论
1) 在加轴压卸围压过程中,轴向应变增大速度极缓慢,侧向应变迅速增大,且随着围压的卸载先呈线性变化后呈非线性变化规律。
2) 在卸载过程中,岩体变形模量随围压卸载而逐渐减小,且变形模量的变化率随着围压的卸载而逐渐降低。同时,随着初始围压增大,弹性模量逐渐增大。泊松比随着围压的卸载而逐渐增大。
3) 在加轴压卸围压条件下,同一时刻点的轴向应变增量变化量度略大于侧向应变增量变化量,剪胀角随着卸载初始围压增大而减小,说明卸载初始围压对岩石的扩容有阻碍作用。
4) 在卸围压初始阶段,轴向吸收应变能基本呈线性增大规律,环向消耗的应变能呈线性负增长规律,弹性应变能以及耗散能基本保持不变。在临近破坏点阶段,轴向吸收应变能、弹性应变能、耗散能快速增大。
参考文献:
[1] 刘刚, 赵坚, 宋宏伟. 节理岩体中巷道稳定性分析[J]. 中南大学学报(自然科学版), 2013,44(7): 2910-2918.
LIU Gang, ZHAO Jian, SONG Hongwei. Analysis on roadway stability in jointed rock mass[J]. Journal of Central South University (Science and Technology), 2013, 44(7): 2910-2918.
[2] 李娜, 曹平, 衣永亮, 等. 分级加卸载下深部岩石流变实验及模型[J]. 中南大学学报(自然科学版), 2011, 42(11): 3465-3471.
LI Na, CAO Ping, YI Yongliang. Creep properties experiment and model of deep rock with step loading and unloading[J]. Journal of Central South University (Science and Technology), 2011, 42(11): 3465-3471.
[3] 陈宗基, 康文法. 在岩石破坏和地震之前与时间有关的扩容[J]. 岩石力学与工程学报, 1983, 2(1): 11-21.
CHEN Zongji, KANG Wenfa. Time dependent dilatancy prior to rock failure and earthquakes[J]. Chinese Journal of Rock Mechanics and Engineering, 1983, 2(1): 11-21.
[4] 尤明庆, 华安增. 岩石试样的三轴卸围压试验[J]. 岩石力学与工程学报, 1988, 17(1): 24-29.
YOU Mingqing, HUA Anzeng. Triaxial confining depressure test of rock sample[J]. Chinese Journal of Rock Mechanics and Engineering, 1998, 17(1): 24-29.
[5] 陈卫忠, 刘豆豆, 杨建平. 大理岩卸围压幂函数型Mohr强度特性研究[J]. 岩石力学与工程学报, 2008, 11(27): 2214-2220.
CHEN Weizhong, LIU Doudou, YANG Jianping. Power function based Mohr strength criterion for marble with unloading confining pressures[J]. Chinese Journal of Rock Mechanics and Engineering, 2008, 11(27): 2214-2220.
[6] 陈景涛, 冯夏庭. 高地应力下岩石的真三轴试验研究[J]. 岩石力学与工程学报, 2006, 25(8): 1537-1543.
CHEN Jingtao, FENG Xiating. True triaxial experimental study of rock with high geostress[J]. Chinese Journal of Rock Mechanics and Engineering, 2006, 25(8): 1537-1543.
[7] 黄伟, 沈明荣, 张清照. 高围压下岩石卸荷的扩容性质及其本构模型研究[J]. 岩石力学与工程学报, 2010, 29(Suppl 2): 3475-3483.
HUANG Wei, SHEN Mingrong, ZHANG Qingzhao. Study of unloading dilatancy property of rock and its constitutive model under high confining pressure[J]. Chinese Journal of Rock Mechanics and Engineering, 2010, 29(Suppl 2): 3475-3483.
[8] 朱杰兵, 汪斌, 杨火平. 页岩卸荷流变力学特性的试验研究[J]. 岩石力学与工程学报, 2007, 26(Suppl 2): 4552-4556.
ZHU Jiebing, WANG Bin, YANG Huoping, et al. Experimental study of rheological mechanical properties of shale under unloading condition[J]. Chinese Journal of Rock Mechanics and Engineering, 2007, 26(Suppl 2): 4552-4556.
[9] 郭印同, 杨春和, 付建军. 盐岩三轴卸荷力学特性试验研究[J]. 岩土力学, 2012, 3(33): 725-732.
GUO Yintong, YANG Chunhe, FU Jianjun. Experimental research on mechanical characteristics of salt rock under triaxial unloading test[J]. Rock and Soil Mechanics, 2012, 3(33): 725-732.
[10] 谢和平, 鞠杨, 黎立云. 基于能量耗散与释放原理的岩石强度与整体破坏准则[J]. 岩石力学与工程学报, 2005, 24(17): 3003-3010.
XIE Heping, JU Yang, LI Liyun. Criteria for strength and structural failure of rocks based on energy dissipation and energy release principles[J]. Chinese Journal of Rock Mechanics and Engineering, 2005, 24(17): 3003-3010.
[11] 尤明庆, 华安增. 岩石试样破坏过程的能量分析[J]. 岩石力学与工程学报, 2002, 21(6): 778-781.
YOU Mingqing, HUA Anzeng. Energy analysis on failure process of rock specimens[J]. Chinese Journal of Rock Mechanics and Engineering, 2002, 21(6): 778-781.
[12] 苏承东, 张振华. 大理岩三轴压缩的塑性变形与能量特征分析[J]. 岩石力学与工程学报, 2008, 27(2): 273-280.
SU Chengdong, ZHANG Zhenhua. Analysis of plastic deformation and energy property of marble under pseudo-triaxial compression[J]. Chinese Journal of Rock Mechanics and Engineering, 2008, 27(2): 273-280.
[13] 杨文东, 张强勇, 陈芳, 等. 不同应力路径下卸围压流变试验分析及模型辨识[J]. 中南大学学报(自然科学版), 2012, 43(5): 1885-1893.
YANG Wendong, ZHANG Qiangyong, CHEN Fang. Analysis of unloading confining pressure rheological tests in different stress paths and model identification[J]. Journal of Central South University (Science and Technology), 2012, 43(5): 1885-1893.
[14] 宋义敏, 姜耀东, 等. 岩石变形破坏全过程的变形场合能量演化研究[J]. 岩土力学, 2012, 5(33): 1352-1358.
SONG Yimin, JIANG Yaodong, et al. Evolution of deformation fields and energy in whole process of rock failure[J]. Rock and Soil Mechanics, 2012, 5(33): 1352-1358.
[15] VERMEER P A, DE BORST R. Non-associated plasticity for soils, concrete and rock[J]. Heron, 1984, 29(3): 1-64.
(编辑 陈灿华)
收稿日期:2016-01-12;修回日期:2016-03-15
基金项目(Foundation item):国家科技部科研院所专项基金资助项目(2011EG122210);河南省高等学校重点科研项目(16A120015);湖南省自然科学基金资助项目(2015JJ4023);湖南省教育厅资助项目(13C308)(Project(2011EG122210) supported by the Special Funds for Research Institute of National Ministry of Science and Technology; Project(16A120015) supported by the Key Scientific Research Projects of Colleges and Universities in Henan Province; Project(2015JJ4023) supported by the Natural Science Foundation of Hunan Province; Project(13C308) Scientific Research Fund of Education Department of Hunan Province)
通信作者:方前程,博士,从事土木工程研究;E-mail:fangqiancheng314@126.com