同步参考坐标法和正、负序基波提取器在电流检测中的比较
周君求1, 2,陈兰玉2,周沛锋2,王少杰1, 2
(1. 湖南大学 电气与信息工程学院,湖南 长沙,410082;
2. 邵阳学院 电气工程系,湖南 邵阳,422000)
摘 要:简述正、负序基波提取器基本原理,提出无功、谐波和负序电流检测的2种方法,即改进同步参考坐标法和基于正、负序基波提取器的检测方法。改进同步参考坐标法通过对电网正序基波电压矢量的同步旋转跟踪,可以省去锁相环及三角函数的计算;基于正、负序基波提取器的检测方法则可以进一步省去α-β坐标系变换到d-q坐标系及其反变换的计算。仿真与实验结果表明:采用这2种检测算法都能准确地检测电网中的无功、谐波和负序电流;基于正序基波提取器的检测算法比改进同步参考坐标法的实时性更高。
关键词:电能质量;电流检测;同步参考坐标变换;相序提取器
中图分类号:TM761 文献标识码:A 文章编号:1672-7207(2008)04-0816-08
Contrastive research on improved synchronous reference frame
method and detecting method based on sequence extractor of
positive and negative fundamental wave for detecting current
ZHOU Jun-qiu1, 2, CHEN Lan-yu2, ZHOU Pei-fei2, WANG Shao-jie1, 2
(1. School of Electrical and Information Engineering, Hunan University, Changsha 410082, China;
2. Department of Electrical Engineering, Shaoyang University, Shaoyang 422000, China)
Abstract: Sequence extractors of positive and negative fundamental wave were discussed, and two types of methods for detecting current with reactive power, harmonics and negative sequence were proposed, which are the improved synchronous reference frame method and the detecting method based on sequence extractor of positive and negative fundamental wave. By synchronizing the grid voltage vector with positive sequence, the improved synchronous reference frame method is very simple without the phase locked loop and calculations for sinusoidal function. And the detecting method based on sequence extractor of positive and negative fundamental wave can furtherly omit the transformation from the α-β coordinate to the d-q coordinate and its inverse transformation. Simulation and experimental results show that the two methods are valid and useful.
Key words: electric energy quality; distorted current detection; synchronous reference frame method; sequence extractor
随着电力电子装置的广泛应用,电力系统的电能质量问题日益突出,为此,人们开发了有源滤波器(Active power filter, APF)[1-3]、静止同步补偿器(Static synchronous compensator, STATCOM)[4-6]、统一电能质量调节器(Unified power quality conditioner, UPQC)[7-9]等。上述柔性交流输电质量系统(Flexible alternative current transmission system, FACTS)设备能否按其工作原理改善系统电能在很大程度上有赖于对电网中无功、谐波和负序分量快速而准确的检测。
目前,可供选用的检测方法主要是基于瞬时无功理论的p-q法[10]、ip-iq法[11-12]和d-q法[13-14]。p-q法的核心思想是根据所定义的瞬时功率波动部分为谐波电流和系统电压作用的结果来提取谐波分量,当系统三相电压对称不含谐波时,运用该方法可以迅速、准确地检测出被检电流中的谐波分量和(或)无功分量,但是,当系统电压波形发生畸变时,该方法存在检测误差。为了克服p-q法检测精度受电压质量影响的不足,p-q法又经过不断地改进和完善,其中,ip-iq法和d-q法就是在瞬时功率理论基础上发展起来的谐波检测方法。ip-iq法由于没有直接使用系统电压信息,只是借助于构造的正弦和余弦函数,以实现在与三相基波电流的合成矢量同步的旋转坐标系下的Park变换,因此,检测结果的精度不受系统电压波形畸变的影响。但是,该方法要求由正弦和余弦函数合成的综合矢量与三相基波正序电压的合成矢量同步,且同相位,否则,基波正序无功分量的检测精度将受相位差的影响。d-q法的思想是:根据对称分量法,不对称的任意次谐波都可分解为相应次数的正序、负序和零序分量,因此,任意三相畸变不对称电流的Park变换都可以表示成各次谐波序分量的Park变换之和。其中,Park变换将第n+1次正序分量变换成d-q坐标系中的第n-1次分量;将第n次负序分量变换成d-q坐标系中的第n+1次分量;只有基波正序分量在d-q坐标系中为直流量,用低通滤波器(Low pass filter, LPF)才能将其分离,再通过Park反变换即可获得基波正序有功分量和无功分量,与负载电流相减可得负荷电流中的谐波分量。由以上分析可知,d-q法的原理实际上与ip-iq法的原理相同。
针对上述检测方法的不足,在简述正、负序基波提取器基本原理的基础上,本文作者提出了无功、谐波和负序电流的2种检测方法,即改进同步参考坐标法和基于正、负序基波提取器的检测方法,阐述这2种检测算法的原理、实现及特点,并从准确性、实时性、可靠性、适用范围和实现的难易程度等方面,对改进同步参考坐标法和基于正、负序基波提取器的检测方法进行比较研究。最后,用仿真与实验结果验证本文所述理论的正确性以及基于正、负序基波提取器的检测方法的优越性。
1 正、负序基波提取器的基本原理
与直流信号相似,正弦信号
的幅值积分为
。将正弦信号
延时90?后可得辅助信号
,对上述3个信号进行拉普拉斯(Laplace)变换后,有:

由式(1)~(3)可知:

1.1 幅值积分信号的选频特性
a. 当正弦信号e(t)的频率有偏差时,即

则此时的辅助信号和幅值积分信号分别为

由式(5)和(6)可知:

当频率偏差
足够小时,有:

因此,式(8)可改写为:

由式(7)和(10)可得:

这充分说明,只要频率偏差
足够小,式(4)在一定的采样误差或电网频率偏移情况下仍然成立。
b. 当频率偏差
较大时,有

此时,由式(8)和(12)可知:

所以,式(11)只对频率偏差
较小的信号成立;而对于其他频偏较大的信号,式(11)中的
将近似为0。
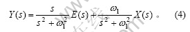
上述研究结果表明,当输入信号中除了基波分量e(t)外还含有其他谐波分量时,通过式(4)可以得到基频正弦信号e(t)的幅值积分信号,即式(4)的运算具有频率选择性。
1.2 正、负序基波提取器的实现
由式(4)可得正、负序基波在αβ坐标系下的实现框图,如图1所示。

图1 α-β坐标系下正、负序基波的实现框图
Fig.1 Implementation of positive and negative fundamental wave in α-β coordinates
对于正序系统,α轴的信号超前于β轴的信号90?;对于负序系统,α轴的信号滞后于β轴的信号90?,由图1可得图2。

(a) 正序系统;(b) 负序系统
图2 正序、负序系统时的实现框图
Fig.2 Implementation in the positive and negative sequence α-β coordinates
综上所述,正、负序基波提取器具有对电网基频偏差不敏感、能对电压(电流)的正、负序基波分量准确提取等优点。基于上述正、负序基波提取器,本文将对无功、谐波和负序电流检测的2种方法进行比较研究。
由此可得正、负序基波提取器,如图3所示。

(a) 正序基波提取器;(b) 负序基波提取器
图3 正、负序基波提取器
Fig.3 Sequence extractors of positive and negative fundamental wave
2 改进同步参考坐标法的原理、实现及其特点
2.1 改进同步参考坐标法的原理
为简化分析,进行以下假设:
a. 电网电压无畸变,故采样电压即为三相电网正序基波电压;
b. 系统为三相三线制,因而零序分量为0。
首先将采样得到的三相电网正序基波电压和三相电流信号进行α-β变换,得到:

式中,上标“1”代表“正序”。

将
和
分别对d-q坐标系中的
轴和
轴进行投影:

α-β坐标系中,
和
合成所得矢量
的方向与d-q坐标系中d轴的方向相同,如图4所示。

图4 同步参考坐标系下电网正序基波电压矢量
Fig.4 Voltage vector in synchronous reference frame
由于θ实时跟踪电网正序基波电压矢量
,因此,三相电流的正序基波分量在d-q坐标系中为直流分量;而三相电流的无功、谐波和负序分量对应于d-q坐标系中的谐波分量,通过使用截止频率fc<100 Hz的LPF即可实现
和
中直流量
和
以及与交流量
和
的分离。
和
通过
和
变换即可得到三相正序基波电流
,
和
:

最后,用采样得到的三相电流信号
,
和
减去对应的
,
和
即可获得期望的参考电流信号
,
和
(若三相平衡,则只有无功和谐波分量,没有负序分量):

为获得电网正序基波电压的旋转角θ,Bhattcharya等[13]采用PLL技术;为克服PLL电路的缺陷和三角函数计算所带来的延时,陈东华等[14]直接利用
和
计算电网正序基波电压的旋转角θ:

2.2 改进同步参考坐标法的实现
在简介改进同步参考坐标法的基本原理时,假设电网电压无畸变,但电网电压不平衡、含有谐波分量[2]。当电网电压畸变时,将采样得到的三相电网电压变换到α-β坐标系,由
和
合成所得矢量u就是电网正序基波分量
和负序基波分量
的叠加(因只讨论三相三线制,故无零序分量),显然,此时不能按照式(20)和(21)来获取
和
。若将
和
作为图3(a)所示正序基波提取器的输入,则可获得理想电网正序基波电压
和
,进而正确计算出
和
。
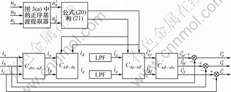
综上所述,改进同步参考坐标法的实现方法如图5所示。

图5 改进同步参考坐标法的实现流程
Fig.5 Principle diagram of improved id-iq
2.3 改进同步参考坐标法的特点
改进同步参考坐标法具有如下特点:
a. 无需PLL,因而消除了PLL给检测带来的不利影响;
b. 需要LPF,因此,必须考虑LPF的动态和静态特征;
c. 可以像ip-iq一样实现多种检测目的。例如,可检测负序和谐波电流、正序基波有功电流、正序基波无功电流以及广义无功电流,只需要对id和iq中不同的分量进行反变换即可达到相应的检测目的[2];
d. 其实质与ip-iq算法一样,有着明确的物理意义。
3 基于正、负序基波提取器的检测 方法
在上述改进同步参考坐标法中,为准确获得期望的参考电流信号,需要使用正序基波提取器和LPF,并进行α-β坐标系变换到d-q坐标系及其反变换的计算。显然,这大大增加了算法实现的复杂性,也降低了算法的实时性。
事实上,直接利用正序基波提取器就能实时、准确地获取期望的参考电流信号
,
和
。
3.1 基于正序基波提取器的无功、谐波和负序电流检测
对于APF,需检测无功、谐波和负序电流,运用正序基波提取器完全可以避免电网正序基波电压的检测。这样,不论电网电压的畸变程度有多严重,电路中的电流是否平衡,都可以准确、快速地获得APF的期望电流信号。其具体实现方法如下。
首先,将采样得到的三相电流信号
,
和
进行
的坐标变换,见式(15);然后,将
和
作为图3(a)所示正序基波提取器的输入,则可获得理想的正序基波电流
和
;再将
和
进行
坐标变换得到三相正序基波电流
,
和
;最后,用采样得到的三相电流信号
,
和
减去对应的
,
和
即可获得期望的参考电流信号
,
和
,结果见式(19)。整个检测方法的实现过程如图6所示。

图6 基于正序基波提取器的电流检测方法的实现
Fig.6 Implementation of proposed detection method
仿照这种基于正序基波提取器的无功、谐波和负序电流检测方法,还可以得到UPQC中串联型APF的谐波、负序电压的期望参考信号。
3.2 基于负序基波提取器的电网负序基波电压检测
由于在实际配电网中,电网电压不平衡普遍存在,因此,对于D-STACOM,研究其在电网电压不平衡条件下的运行特性和控制策略等有很重要的意义,但上述一切研究工作的基础应当是建立在对电网负序基波电压的准确检测之上。仿照基于正序基波提取器的无功、谐波和负序电流检测方法,可以准确、快速地检测电网负序基波电压。
3.3 基于正、负序基波提取器的检测方法的特点
基于正、负序基波提取器检测方法的特点为:
a. 适用范围广,可用于获取APF,D-STACOM和UPQC等FACTS设备的参考信号;
b. 算法简单,实时性好,可靠性高。
4 仿真研究
为验证本文所述理论的正确性以及基于正序基波提取器的检测方法的优越性,采用Mat lab仿真软件分别对稳态时电网电压无畸变以及稳态和动态时电网电压畸变3种情况进行仿真分析,具体参数如下:电网正序基波线电压为380 V(50 Hz),正序7次线电压为38 V,正序13次线电压为19 V;电网电阻、电感分别为RS=0.02 Ω,LS=0.1 mH;谐波源为15 kV?A三相可控整流桥带阻感负载,其中,电阻R=2 Ω,电感L=10 mH;有源滤波器的直流侧电压设定为500 V,电容CDC=1.5 mF,PWM逆变器的开关频率设定为10 kHz。仿真结果如图7和图8所示。其中:iS为电源电流;iL为负载电流;iAPF为有源滤波电流;uS为电源电压;uL为负载电压;uAPF为有源滤波电压。
从图7可知:当电网电压无畸变,即为理想情况时,采用这2种检测方法都能准确地检测到电网中的无功、谐波和负序电流。

(a) 采用改进同步参考坐标法;(b) 采用基于正序基波提取器
图7 电网电压无畸变时的仿真结果
Fig.7 Simulation results under ideal gird voltage
从图8可知:在电网电压发生畸变时,采用本文所提出的2种检测算法,都能准确地检测电网中的无功、谐波和负序电流,并取得良好的补偿性能。但基于正序基波提取器的检测算法比本文所提出的改进同步参考坐标法的实时性更强。

(a) 采用改进同步参考坐标法;(b) 采用基于正序基波提取器
图8 电网电压畸变时的仿真结果
Fig.8 Simulation results under distorted gird voltage
5 实验验证
对APF补偿性能进行实验验证,实验条件与仿真实验的条件相同。图9所示为相关的单相实验结果(电源电压的检测通过了一个变比为5?1的单相隔离变压器)。从图9可以看出,实验结果与仿真结果相吻合,证明基于正序基波提取器的检测方法是正确的。

(a) 采用改进同步参考坐标法;(b) 采用基于正序基波提取器的检测方法
图9 采用电源电压畸变时2种检测方法所得动态实验结果
Fig.9 Dynamic experimental results obtained by two methods under distorted gird voltage
6 结 论
a. 改进同步参考坐标法通过对电网正序基波电压矢量的同步旋转跟踪,可以省去锁相环及三角函数计算。基于正序基波提取器的检测方法,不需要对电网正序基波电压进行检测,既不需要锁相环、低通滤波器,也不需要进行α-β坐标系变换到d-q坐标系及其反变换的计算。仿真与实验结果表明,这2 种方法适用范围广,可适用于获取APF,D-STACOM和UPQC等FACTS设备的参考信号。
b. 采用这2种检测方法都能准确地检测电网中的无功、谐波和负序电流,且基于正序基波提取器的检测算法比改进同步参考坐标法的实时性更高,算法简单,可靠性高。
参考文献:
[1] Fujita H, Akagi H. A practical approach to harmonic compensation in power system-series connection of passive and active filters[C]//IEEE IAS Conf Rec Seattle. USA, 1990: 1107-1112.
[2] 王兆安, 杨 君, 刘进军. 谐波抑制与无功功率补偿[M]. 北京: 机械工业出版社, 1998.
WANG Zhao-an, YANG Jun, LIU Jin-jun. Harmonic suppression and reactive power compensation[M]. Beijing: China Machine Press, 1998.
[3] 王 群, 姚为正, 刘进军, 等. 谐波源与有源电力滤波器的补偿特性[J]. 中国电机工程学报, 2001, 21(2): 16-20.
WANG Qun, YAO Wei-zheng, LIU Jin-jun, et al. Harmonic source and compensation characteristics of active power filters[J]. Proceedings of the CSEE, 2001, 21(2): 16-20.
[4] 马晓军, 姜齐荣, 王仲鸿, 等. 静止同步补偿器的分相不对称控制[J]. 中国电机工程学报, 2001, 21(1): 52-56.
MA Xiao-jun, JIANG Qi-rong, WANG Zhong-hong, et al. Unbalanced control based on individual phase for static synchronous compensator[J]. Proceedings of the CSEE, 2001, 21(1): 52-56.
[5] 魏文辉, 刘文华, 宋 强, 等. 基于逆系统方法有功-无功解耦PWM控制的链式STATCOM动态控制策略研究[J]. 中国电机工程学报, 2005, 25(3): 23-28.
WEI Wen-hui, LIU Wen-hua, SONG Qiang, et al. Research on fast dynamic control of static synchronous compensator using cascade multilevel inverters[J]. Proceedings of the CSEE, 2005, 25(3): 23-28.
[6] 刘文华, 宋 强, 张东江, 等. 50 MVA 静止同步补偿器链节的等价试验[J]. 中国电机工程学报, 2006, 26(12): 73-78.
LIU Wen-hua, SONG Qiang, ZHANG Dong-jiang, et al. Equivalent tests of links of 50 MVA statcom[J]. Proceedings of the CSEE, 2006, 26(12): 73-78.
[7] Akagi H, Fujita H. A new power line conditioner for harmonic compensation in power systems[J]. IEEE Trans Power Delivery, 1995, 10(3): 1570-1575.
[8] Fujita H, Akagi H. The unified power quality conditioner: The integration of series-and shunt-active filters[J]. IEEE Trans Power Electron,1998, 13(2): 315-322.
[9] 王 群, 耿云玲, 何益宏. 不同系统联结方式下通用电能质量控制器的功率分析[J]. 中国电机工程学报, 2005, 25(21): 98-105.
WANG Qun, GENG Yun-ling, HE Yi-hong. Power analysis on universal power quality controller under different system connections[J]. Proceedings of the CSEE, 2005, 25(21): 98-105.
[10] Akagi H, Kanazawa Y, Nabae A. Instantaneous reactive power compensators comprising switching devices without energy storage components[J]. IEEE Trans Ind Applicat, 1984, A20(3): 625-630.
[11] 杨 君, 王兆安. 三相电路谐波电流两种检测方法的对比研究[J]. 电工技术学报, 1995(2): 43-48.
YANG Jun, WANG Zhao-an. A study on the comparison of two methods used to detect the harmonic currents of three-phase circuits[J]. Trans of China Electrotechnical Society, 1995(2): 43-48.
[12] WANG Zhao-an, WANG Qun, YAO Wei-zheng, et al. A series active power filter adopting hybrid control approach[J]. IEEE Trans Power Electron, 2001, 16(3): 301-310.
[13] Bhattacharya D M, Banerjee D B. Synchronous frame harmonic isolator using active series filter[C]//Proc EPE. 1991: 30-35.
[14] 陈东华, 谢少军, 周 波. 用于有源电力滤波器谐波和无功电流检测的一种改进同步参考坐标法[J]. 中国电机工程学报, 2005, 25(20): 62-67.
CHEN Dong-hua, XIE Shao-jun, ZHOU Bo. An improved synchronous reference frame method for harmonics and reactive currents detection for active power filter[J]. Proceedings of the CSEE, 2005, 25(20): 62-67.
收稿日期:2008-03-05;修回日期:2008-06-01
基金项目:湖南省科技计划资助项目(2006GK3057)
通信作者:周君求(1949-),男,湖南邵阳人,副教授,从事高质量电能输送研究;电话:0739-5430036;E-mail: junqiuz@163.com