振动高梯度磁选的研究
来源期刊:中南大学学报(自然科学版)1985年第2期
论文作者:孙仲元 李正南
文章页码:1 - 10
关键词:振动高梯度磁选; 研究; 有限差分法; 高梯度磁分离; 分布特性; 夹杂问题; 磁性颗粒; 振动技术; 学报; 分选试验
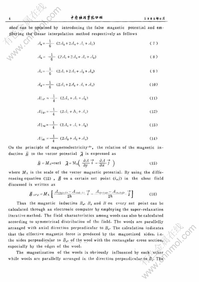
摘 要:本文在采用有限差分法研究单根和多根钢毛周围磁场分布特性的基础上,讨论了高梯度磁分离过程中非磁性颗粒的机械夹杂问题,由此提出一种交流电磁振动技术以强化高梯度磁选中的固-固分离。对黑钨矿-石英混合物及四种实际矿泥的分选试验表明,振动高梯度磁选是处理某些弱磁性矿物细泥的一种有效的方法。
Abstract: On the basis of analysis of magnetic field characteristics around ferromagnetic fibre and polyfibres by means of the finite difference solution, the mechanical entrapment of nonmagnetic particles in high gradient magnetic separation (HGMS) is preliminarily discussed.An alternative electromagnetic vibration technique has been worked out by the authors to improve the solid-solid separation in HGMS. The trial use of the special technique in the separation of wolframite-quartz mixture and four types of the actual slimes shows that the vibration high gradient magnetic separation is very effective to treat some paramagnetic mineral slimes.









