DOI:10.19476/j.ysxb.1004.0609.2019.02.25
功能化杯[4]芳烃对称硫醚衍生物的制备及其对铀的吸附行为
彭国文1, 2, 3, 4,蒲移秋1, 3,肖方竹2, 4,余丽梅1, 3,王成1, 3,刘婕1,刘永2
(1. 南华大学 化学化工学院,衡阳 421001;
2. 南华大学 湖南省铀尾矿库退役治理工程技术研究中心,衡阳 421001;
3. 南华大学 蛋白质结构与功能重点实验室,衡阳 421001;
4. 南华大学 铀矿冶生物技术国防重点学科实验室,衡阳 421001)
摘 要:
以1,3-二溴丙烷对对叔丁基杯[4]芳烃的下沿进行修饰,再利用 Na2S·9H2O 合成制备一种新型的吸附材料杯[4]芳烃对称硫醚衍生物,并研究其吸附铀的主要影响因素,即U(Ⅵ)溶液pH值、吸附剂投入量、铀初始浓度及反应时间,分析其吸附过程的反应动力学和等温吸附规律。结果表明:当温度为25 ℃时,杯[4]芳烃对称硫醚衍生物吸附铀的最佳条件是pH值为4.0,铀初始浓度为20 mg/ L,杯[4]芳烃对称硫醚衍生物加入量为20 mg以及吸附平衡时间为6 h。杯[4]芳烃对称硫醚衍生物对铀的吸附动力学符合准二级动力学模型,吸附过程为化学吸附,相关系数为0.9998;Langmuir、D-R和 Freundlich 等温线均可较好地拟合吸附过程,说明该吸附体系是一个单层覆盖与多层吸附相结合的模式。红外谱图表明,杯[4]芳烃对称硫醚衍生物吸附一定质量的铀后,在817.82 cm-1和810.10 cm-1处出现了铀酰离子的伸缩振动峰,且未发生主要的结构形态变化。
关键词:
文章编号:1004-0609(2019)-02-0422-07 中图分类号:X172 文献标志码:A
随着核能的开发与应用,铀资源被加速开发和利用,广泛应用于化工、航天、军工和能源等领域,特别在国防建设和经济建设中发挥着决定性的作用[1],但随之产生的含铀废水的种类和数量也随之增加[2-3]。而且,由于铀可通过自身衰变而放射出粒子对人体造成辐射危害,也可沿着食物链被生物吸收、蓄积,最终造成人体积累和慢性中毒,对生态环境和人类都有较大危害[3-5]。目前的技术对铀矿冶、铀加工过程中的废水排放质量难以达到我国排放含铀废水标准小于0.05 mg/L[3, 6]。因此,妥善处理含铀废水一项非常迫切而又艰巨的任务。
杯芳烃是继冠醚、环糊精之后的第三代主体分子化合物[7-8]。杯芳烃的上下沿易于化学修饰,且经改性后可提高其溶解性能[9]。杯芳烃与冠醚和环糊精相比具有独特的空穴结构[10],空穴结构大小的调节具有较大的自由度;通过控制反应条件可引入适当的取代基并固定所需的构象;热稳定性及化学稳定性好;连接苯环单元的亚甲基也能进行选择性功能化[11-13]。目前处理含铀废水的方法有萃取法、电化学法、离子交换法、吸附法等,其中吸附法具有吸附材料来源丰富、简单、高效、针对性强、稳定好等优点,是目前提取含铀废水的最常用方法[2]。目前已有不少国内外研究者将合成的杯芳烃类衍生物做为吸附材料应用于提取铀的研究,但杯[4]芳烃对称硫醚类化合物[14-15]提取铀还鲜见文献报道。
本文作者首先使用1,3-二溴丙烷对杯[4]芳烃的下沿进行修饰,再利用Na2S·9H2O合成杯[4]芳烃对称硫醚衍生物(Scheme1),得到一种功能化提取铀的吸附材料,并对合成产物进行红外表征。探究了铀溶液的吸附时间、pH 值、铀初始浓度、吸附材料投加量等因素对杯[4]芳烃对称硫醚衍生物提取铀的效果影响,建立对应的吸附热力学和动力学模型。
1 实验
1.1 主要仪器和试剂
主要仪器如下:SHT型数显恒温搅拌电热套(山东省鄄城新华电热仪器有限公司),AL104电子天平(梅特勒-托利多仪器(上海)有限公司),UV-Vis 8500型紫外-可见分光光度计(上海天美科学仪器有限公司),PHS-3C型精密pH计(上海雷磁仪器厂),SHZ-D(III)循环水式真空泵(台州求精真空泵有限公司),DF205电热鼓风干燥箱(北京中兴伟业仪器有限公司),IR Prestige-21 型傅里叶变换红外光谱仪(日本岛津公司)。
主要试剂:铀标准溶液采用文献[16]方法配制(根据实验需要稀释成对应浓度)。Na2S·9H2O、CHCl3及其他试剂均为分析纯,叔丁基杯[4]芳烃(产品Ⅰ)参照文献[17]中方法合成。
1.2 杯[4]芳烃对称硫醚衍生物的制备
1.2.1 产品Ⅱ的合成
在100 mL的三口圆底烧瓶中依次加入2 g对叔丁基杯[4]芳烃,1 g无水K2CO3,移取8 mL 1,3-二溴丙烷(98%)、38 mL CH3CN,在N2保护下回流48 h,回流结束后,真空旋蒸至剩余少量溶剂和固体残余物,向残余物中加入稀盐酸和CH2Cl2 (40 mL)。水洗至中性,萃取分离有机相,并加入无水MgSO4 干燥8 h,过滤,加甲醇得产品Ⅱ,产率为65%。
1.2.2 产品Ⅲ的合成
称取0.40 g产品Ⅱ、0.51 g四丁基碘化铵、0.48 g Na2S·9H2O、加入20 mL水、40 mL无水乙醇于100 mL的三口圆底烧瓶中,在50 ℃搅拌反应12 h,停止加热和搅拌,冷至室温后,真空旋转蒸去大量乙醇后用乙酸乙酯萃取,有机相用饱和NaCl水溶液洗涤,水洗至中性,再使用无水MgSO4干燥8 h,加入20 mL CHCl3,20 mL甲醇静置,得产品Ⅲ,产率为67%。
1.3 吸附实验

图1 产品Ⅰ、Ⅱ和Ⅲ的合成图
Fig. 1 Formation of products Ⅰ, Ⅱ and Ⅲ
在50 mL 锥形瓶中盛装10 mL不同浓度的铀标准溶液,用不同浓度(0.05、0.01、0.1 mol/L)的HCl和NaOH调节溶液pH;根据实验要求,加入一定量的杯[4]芳烃对称硫醚衍生物,置于恒温(25 ℃)水浴摇床内进行恒温振荡吸附6 h,再离心(8000 r/min 15 min),反应后用针式滤器过滤,选取合适移液枪移取1 mL上清液,1 mL质量浓度为0.2%的偶氮胂Ⅲ,加入10 mL容量瓶中,再加入适量醋酸-醋酸钠缓冲溶液定容,震荡摇匀,充分混合均匀后静置10 min。用紫外可见分光光度计在波长652 nm处分别测其吸光度,并根据以下公式计算出相应的吸附容量。
吸附率(p)按照式(1)计算:
(1)
(2)
式中:p为吸附率(%);q为吸附容量(mg);ρ0为吸附前铀的质量浓度(mg/L);V为所用铀溶液体积(L);ρe为t时刻铀的剩余质量浓度(mg/L)。
2 结果与讨论
2.1 吸附剂杯[4]芳烃对称硫醚衍生物对铀的吸附效果影响因素分析
2.1.1 IR 分析
杯[4]芳烃对称硫醚衍生物及其的红外光谱图见图2。从图2可以看出,杯[4]芳烃对称硫醚衍生物的红外光谱中1199.72 cm-1处为酚的—C—O—的伸缩振动峰,1583.56 cm-1、1458.18 cm-1和1483.26 cm-1处分别为芳环的骨架振动峰,2960.73 cm-1和2868.15 cm-1处为甲基—CH3上—C—H 的振动峰,1483.26 cm-1处为亚甲基—CH2—的振动峰,1394.53 cm-1和1361.74 cm-1处为叔丁基—C—H 对称弯曲振动峰。由此可知,该物质具备杯[4]芳烃对称硫醚衍生物的基本官能团。与杯[4]芳烃对称硫醚衍生物相比,其吸附铀后的谱图在在817.82 cm-1和810.10 cm-1处出现了铀酰离子的伸缩振动峰,表明杯[4]芳烃对称硫醚衍生物对铀发生了吸附作用。由于杯[4]芳烃对称硫醚衍生物结构复杂,在整个波数范围内均吸收明显,这样就使得某些峰未能表现出来,一些不太灵敏的吸收峰被掩盖。

图2 杯[4]芳烃对称硫醚衍生物吸附铀前后的红外光谱图
Fig. 2 IR spectra of calyx [4] arene symmetric thioether derivatives before(a) and after(b) adsorption of uranium
羟基—OH 出现的范围是在3200~3500 cm-1之间,因此,吸附铀后的物质在3498.87 cm-1处观察到的峰可能是—OH的峰,而3500.80 cm-1处的峰消失,1392.61 cm-1处的峰发生偏移,1483.26 cm-1处的峰移向1481.33 cm-1,其他位置的峰基本无明显变化。从杯[4]芳烃对称硫醚衍生物的特征吸收峰来看,在吸附铀前后都未发生明显的结构变化,说明杯[4]芳烃对称硫醚衍生物的主要结构仍然保持完整。
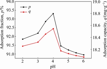
2.1.2 溶液pH值对铀的吸附效果影响
研究表明,溶液 pH 会影响金属的形态和金属离子的结合位点,这是影响功能化材料提取铀的一个重要的因素。在铀初始浓度为20 mg/L、杯[4]芳烃对称硫醚衍生物用量为20 mg、温度为25 ℃、铀标准溶液为20 mL的条件下,调节pH值为2.0~6.0,在摇床中震荡反应6 h后,过滤,取上清液测定残余重金属浓度,为了消除和减少误差,每次测量重复3 次,取平均值,试验结果如图3所示。

图3 pH值对吸附铀的影响
Fig. 3 Effects of pH on adsorption of uranium
由图3可知,当pH值为2.0~4.0时,随着溶液中pH值的升高,吸附率迅速增大。这是由于当溶液pH值过低时,大量存在的H+与金属离子发生竞争吸附,同时溶液中大量存在的H+也会使杯[4]芳烃对称硫醚衍生物中的羟基、硫基基团质子化,增加基团对金属阳离子的静电斥力,减少了吸附位点,因而萃取率较低。随着pH值升高,大量的羟基基团逐渐暴露,这种基团上的氢键容易丢失,然后呈电负性,增强了官能团与金属阳离子之间的结合能力和反应机率,吸附率增大。当pH=5.0时,提取铀的吸附率最高(93.3%),对应的单位吸附容量为18.5 mg/g。当pH值为5.0~6.0时,杯[4]芳烃对称硫醚衍生物对金属离子的吸附率反而下降,这是由于溶液中的金属离子发生水解,形成UO2(OH)2沉淀,不利于杯[4]芳烃对称硫醚衍生物对金属离子的吸附作用。因此,本试验条件下杯[4]芳烃对称硫醚衍生物提取铀酰离子的最佳pH值为4.0。
2.1.3 铀初始浓度对铀的吸附效果影响
在20 mL铀标准溶液中投加20 mg 的提取铀材料杯[4]芳烃对称硫醚衍生物,调节铀标准溶液pH 为4.0,在25 ℃恒温摇床中振荡吸附6 h,探究不同初始铀浓度(ρ为10、25、20、30、40、50、60 mg/ L )对铀的吸附效果影响曲线,实验结果见图4。由图4可以看出,随着铀初始浓度的增加,杯[4]芳烃对称硫醚衍生物对铀的吸附率逐渐减小。这主要是由于在不同浓度但体积相同的溶液中添加相同质量的杯[4]芳烃对称硫醚衍生物,可致其吸附位点在平衡时达到饱和;随着溶液浓度的增高,功能化材料提取铀的吸附率逐渐降低。铀的初始浓度在10~60 mg/ L之间,铀的吸附率均在90.2%以上,表明吸附剂杯[4]芳烃对称硫醚衍生物可处理低浓度含铀废。综合考虑,本实验条件下杯[4]芳烃对称硫醚衍生物吸附铀的最佳铀初始浓度是20 mg/L,吸附率为92%,单位吸附容量18.4 mg/g。

图4 铀初始浓度对吸附铀的影响
Fig. 4 Effects of initial concentration of uranium on adsorption of uranium
2.1.4 吸附剂投加量对铀的吸附效果影响
取铀初始质量浓度为20 mg/L的标准溶液20 mL,调节pH=4.0,在恒温25 ℃的摇床中反应6 h的条件下,考察加入不同质量(m)的杯[4]芳烃对称硫醚衍生物(m为20、25、30、35、40、45和50 mg)吸附剂对铀的吸附性能影响曲线,其结果如图5所示。
从图5可看出,随着投入吸附剂质量的增加,吸附率也在提高。这主要是因为随吸附剂用量的增加,相应地也增加了吸附活性位点和空穴,从而使铀吸附率上升;当杯[4]芳烃对称硫醚衍生物用量进一步增加时,铀酰离子与羟基和硫基结合时受阻,从而使吸附趋于平衡状态,单位吸附容量降低,因此杯[4]芳烃对称硫醚衍生物的最佳用量选择为20 mg。

图5 吸附剂投加量对铀的吸附性能影响
Fig. 5 Effects of adsorption dosage on adsorption of uranium
2.1.5 反应时间对铀的吸附效果影响
在铀初始浓度为20 mg/L的溶液(20 mL)中加入20 mg吸附剂杯[4]芳烃对称硫醚衍生物,调节溶液pH为4.0的实验条件下,在恒温25 ℃的摇床下控制振荡时间分别为5 min、10 min、20 min、30 min、60 min、90 min、120 min、180 min、240 min、360 min,测定铀酰离子的剩余浓度,考察反应时间对铀的吸附效果的影响,其结果见图 6。

图6 时间对铀的吸附性能影响
Fig. 6 Effects of adsorption time on adsorption of uranium
由图6可以看出,吸附剂杯[4]芳烃对称硫醚衍生物对铀的吸附率随反应时间的延长而提高,且其对铀酰离子的吸附速率很快,当反应时间为10 min时,吸附率已达88.78%。随反应时间继续延长,吸附率增加幅度减小,吸附曲线逐渐平缓,表明吸附已达到平衡。这可能是因为杯[4]芳烃对称硫醚衍生物中的羟基官能团刚接触到金属离子时,结合位点多,速率快;随着反应时间的延长,杯[4]芳烃对称硫醚衍生物官能团上的结合位点接近饱和,空穴位点减少,单位吸附量的变化不明显。
2.2 吸附剂杯[4]芳烃对称硫醚衍生物对铀的吸附机理分析
2.2.1 吸附剂杯[4]芳烃对称硫醚衍生物对铀的吸附动力学
为进一步研究杯[4]芳烃对称硫醚衍生物对铀酰离子的吸附量与时间的关系,本试验在铀溶液(20mL)浓度为20 mg/L,吸附剂杯[4]芳烃对称硫醚衍生物投入量为20 mg,pH值为4.0的条件下,采用准二级动力学模型方程
对试验数据进行拟合。
通过t/qt 对t进行准二级拟合,得到杯[4]芳烃对称硫醚衍生物吸附铀的拟合准二级动力学模型:t/qt=0.05561t+0.01856,相关系数
(
=0.9998≈1)较大,且由拟合准二级动力学模型获得的理论平衡吸附量(17.98 mg/g)与实验所得的平衡吸附量(17.98 mg/g)吻合,表明杯[4]芳烃对称硫醚衍生物对铀是主要进行表面吸附,出现这一现象的主要原因是杯[4]芳烃对称硫醚衍生物对铀产生了协同吸附效果。
2.2.2 吸附剂杯[4]芳烃对称硫醚衍生物对铀的吸附等温线
表1 吸附等温线方程
Table 1 Isotherm equations of uranium adsorption

为研究吸附过程中杯[4]芳烃对称硫醚衍生物与溶液中U(Ⅵ)的相互作用机理,本文采用常用的 Langmuir、Freundlich和D-R(Dubinin-Radushkevich)吸附等温线(表1所示)来拟合吸附剂杯[4]芳烃对称硫醚衍生物对铀的等温吸附过程,拟合结果见表2。
研究表明,Langmuir吸附等温线是吸附剂通过其表面的具体吸附位点对金属离子进行吸附,形成单分子吸附层,且被吸附的离子间无相互作用。Freundlich吸附等温线是吸附剂对吸附质的吸附为非均一的多层吸附,且被吸附的离子的量随着溶液浓度的增加而增大。从表2的数据可以看出,Langmuir、D-R和Freundlich 等温线模型均能较好地拟合杯[4]芳烃对称硫醚衍生物对铀的吸附。从相关系数
来看,Langmuir等温线比Freundlich 等温线拟合得更好,而且通过Langmuir 等温式得到单分子层饱和吸附容量qm值为16.59 mg/g,以及通过D-R等温线计算得到qmax为17.15 mg/g,与试验值(18.37 mg/g)偏差不大,这说明杯[4]芳烃对称硫醚衍生物对铀的吸附数据可利用Langmuir、D-R和Freundlich 等温线描述。
3 结论
1) 通过对吸附剂杯[4]芳烃对称硫醚衍生物吸附铀前后的红外光谱分析,发现杯[4]芳烃对称硫醚衍生物为吸附铀提供了较大的表面积和更多的吸附位点,而且吸附一定量的铀而未发生主要的变化,表明杯[4]芳烃对称硫醚衍生物对铀有一定的吸附效果。
2) 杯[4]芳烃对称硫醚衍生物对铀具有协同吸附性能,且其提取铀的最佳条件是pH值为4.0,铀初始浓度为20 mg/L,杯[4]芳烃对称硫醚衍生物加入量为20 mg以及反应时间为6 h。
3) 吸附剂杯[4]芳烃对称硫醚衍生物对吸附铀的过程可采用级反应动力学模型进行描述,其线性相关系数高达0.9998,这说明杯[4]芳烃对称硫醚衍生物吸附铀的过程主要是化学吸附。
4) 杯[4]芳烃对称硫醚衍生物吸附铀的行为均能基本符合Langmuir、D-R和Freundlich等温线模型,这体现了单层覆盖与多层吸附结合的吸附模式,且通过等温线计算得到饱和吸附量和试验值偏差不大,可用Langmuir、D-R和Freundlich 等温线描述吸附剂杯[4]芳烃对称硫醚衍生物对U(Ⅵ)的吸附数据。
表2 NFSC吸附铀的等温线参数
Table 2 Isotherm parameters of uranium adsorption by calyx [4] arene symmetric thioether

REFERENCES
[1] 肖方竹, 何淑雅, 彭国文, 唐 艳, 戴益民. 功能化磁性载体固定耐辐射奇球菌及其对铀的吸附行为与机理[J]. 中国有色金属学报, 2016, 26(7): 1568-1575.
XIAO Fang-zhu, HE Shu-ya, PENG Guo-wen, TANG Yan, DAI Yi-ming. Adsorption behavior and mechanism of uranium (Ⅵ) on Deinococcus radiodurans immobilized functionalization magnetic carrier[J]. The Chinese Journal of Nonferrous Metals, 2016, 26(7): 1568-1575.
[2] PENG Guo-wen, DING De-xin, XIAO Fang-zhu, WANG Xiao-liang, HU Nan, WANG Yong-dong, DAI Yi-min, CAO Zheng. Adsorption of uranium ions from aqueous solution by amine group functionalized magnetic Fe3O4 nanoparticle[J]. J Radioanal Nucl Chem, 2014, 301: 781-788.
[3] XIAO Fang-zhu, PENG Guo-wen, DING De-xin, DAI Yi-min. Preparation of a novel biosorbent ISCB and its adsorption and desorption properties of uranium ions in aqueous solution[J]. J Radioanal Nucl Chem, 2015, 306: 349-356.
[4] WANG Xiao-liang, PENG Guo-wen, YANG Yan, WANG Yang-fei, HE Ting-ting. Uranium adsorption by dry and wet immobilized Saccharomyces cerevisiae[J]. J Radioanal Nucl Chem, 2012, 291: 825-830.
[5] RAHMAN R O, IBRAHIUM H A, HUNG Y T. Liquid radioactive wastes treatment: A review[J]. Water, 2011, 3(2): 551-565.
[6] WANG Jing-song, BAO Zheng-lei, CHEN Si-guang, YANG Jin-hui. Removal of Uranium from aqueous solution by chitosan and ferrous ions[J]. Journal of Engineering for Gas Turbines and Power-Transactions of The Asme, 2011, 133(8): 084502.
[7] SHINKAI S. Calixarenes-the third generation of supramolecules[J]. Tetrahdron, 1993, 49(40): 8933-8968.
[8] BOHMER V. Calixarenes macrocycles with(almost) unlimited possibilities[J]. Angewandte Chemie-International Edition, 1995, 34(2): 713-745.
[9] IKEDA A. ASHINKAL S. Novel cavity design using calix[n]arene skeletons: toward molecular recognition and metal binding[J]. Chemical Review, 1997, 97(5): 1713-1734.
[10] GUTSCHE C D, IQBAL M, NAM K S, SEE K, ALAM I. Conformational and complexational characteristics of calixarenes[J]. Pure and Applied Chemistry, 1988, 60(4): 483-488.
[11] OZCAN F, BAYRAKAL M, ERTUL S. Synthesis and characterization of novel nanofiber based calixarene and its binding efficiency towards chromium and uranium ions[J]. Journal of Inclusion Phenomena and Macrocyclic Chemistry, 2016, 85(1/2): 49-58.
[12] OZCAN F, BAYRAKAL M, ERTUL S. Synthesis and preparation of novel magnetite nanoparticles containing calix[4]arenes with different chelating group towards uranium anions[J]. Journal of Macromolecular Science, Part A: Pure and Applied Chemistry, 2015, 52(8): 599-608.
[13] SALMN L, THUERY P, EPHRITIKHINE M. Uranium(Ⅳ) complexes of calix[n]arenes (n=4, 6 and 8)[J]. Chemical Communications, 2006(8): 856-858.
[14] SHRINER R L, STRUCK H C, JORISON W J. The preparation and properties of certain sulfoxides and sulfones[J]. Journal of the American Chemical Society, 1930, 52(5): 2060-2069.
[15] TARBELL D SWEAVER C. The condensation of sulfoxides with P-toluenesulfonamide and substituted acetamides[J]. Journal of the American Chemical Society, 1941, 63(11): 2939-2942.
[16] 彭国文, 丁德馨, 胡 南, 杨雨山, 王晓亮. 纳米Fe3O4负载啤酒酵母菌对铀的吸附性能与机理[J].中国有色金属学报, 2012, 22(2): 604-610.
PENG Guo-wen, DING De-xin, HU Nan, YANG Yu-shan, WANG Xiao-liang. Adsorption properties and mechanism of saccharomyces cerevisiae loaded by Nano-Fe3O4 on uranium[J]. The Chinese Journal of Nonferrous Metals, 2012, 22(2): 604-610.
[17] GUTSCHE C D, IQBAL M. P-tert-butylcalix[4]arene[J]. Organic Syntheses, 1986, 68: 243-244.
Preparation of functionalized calix [4] arene symmetrical sulfide derivative and its adsorption behavior uranium(Ⅵ)
PENG Guo-wen1, 2, 3, 4, PU Yi-qiu1, 3, XIAO Fang-zhu2, 4, YU Li-mei1, 3, WANG Cheng1, 3, LIU Jie1, LIU Yong2
(1. School of Chemistry and Chemical Engineering, University of South China, Hengyang 421001, China;
2. Laboratory of Protein Structure and Function, University of South China, Hengyang 421001, China;
3. Hunan Province Engineering Technology Research Center of Uranium Tailings Treatment, University of South China, Hengyang 421001, China;
4. Key Discipline Laboratory for National Defence for Biotechnology in Uranium Mining and Hydrometallurgy, University of South China, Hengyang 421001, China)
Abstract: By modifying the lower edge of tert butyl calix [4] arene with 1,3-dibromopropane, and then utilizing Na2S·9H2O to prepare a new type of absorption material, that is calix [4] arene symmetric sulfide derivatives. The main influence factors of the uranium adsorption, such as pH value of U(Ⅵ) solution, input of adsorbent, initial concentration of uranium and reaction time, were explored, finally the reaction kinetics and adsorption isothermal law of adsorption process were analyzed. The results show that, the best condition of uranium adsorption are as follows: pH value of 4.0, initial concentration of uranium of 20 mg/L, addition adsorbent of 20 mg, adsorption equilibration time of 6 h at 25 ℃. The adsorption kinetics of calix [4] arene symmetric sulfide derivatives to uranium is accorded with pseudo-second order model. The adsorption process which is better fitted by Langmuir, D-R and Freundlich sorption isotherm is chemisorption and its correlation is 0.9998. The adsorption system is a single layer covering combined with multilayer adsorption model. And the infrared spectrum shows that, after adsorbing, a certain quality of uranium by calix [4] arene symmetric sulfide derivatives. In 817.82 cm-1 and 810.10 cm-1, the stretching vibrations of uranyl ion peak appears and the main structure morphology does not change.
Key words: tert butyl calix [4] arene; functional modifying; adsorption behavior; uranium
Foundation item: Projects(51574152, 11205084) supported by the National Natural Science Foundation of China; Projects(2017JJ2232, 2017JJ3262, 2017JJ4009) supported by the Natural Science Foundation of Hunan Province, China
Received date: 2017-05-10; Accepted date: 2018-07-20
Corresponding author: PENG Guo-wen; Tel: +86-15874720055; E-mail: pgwnh@sohu.com
(编辑 龙怀中)
基金项目:国家自然科学基金资助项目(51574152,11205084);湖南省自然科学基金资助项目(2017JJ2232,2017JJ3262,2017JJ4009)
收稿日期:2017-05-10;修订日期:2018-07-20
通信作者:彭国文,副教授,博士;电话:15874720055;E-mail:pgwnh@sohu.com
摘 要:以1,3-二溴丙烷对对叔丁基杯[4]芳烃的下沿进行修饰,再利用 Na2S·9H2O 合成制备一种新型的吸附材料杯[4]芳烃对称硫醚衍生物,并研究其吸附铀的主要影响因素,即U(Ⅵ)溶液pH值、吸附剂投入量、铀初始浓度及反应时间,分析其吸附过程的反应动力学和等温吸附规律。结果表明:当温度为25 ℃时,杯[4]芳烃对称硫醚衍生物吸附铀的最佳条件是pH值为4.0,铀初始浓度为20 mg/ L,杯[4]芳烃对称硫醚衍生物加入量为20 mg以及吸附平衡时间为6 h。杯[4]芳烃对称硫醚衍生物对铀的吸附动力学符合准二级动力学模型,吸附过程为化学吸附,相关系数为0.9998;Langmuir、D-R和 Freundlich 等温线均可较好地拟合吸附过程,说明该吸附体系是一个单层覆盖与多层吸附相结合的模式。红外谱图表明,杯[4]芳烃对称硫醚衍生物吸附一定质量的铀后,在817.82 cm-1和810.10 cm-1处出现了铀酰离子的伸缩振动峰,且未发生主要的结构形态变化。