中南大学学报(自然科学版)

深厚软土地区长钻孔灌注桩后注浆试验研究

邹金锋1, 2,安爱军1,邓宗伟1,肖华溪1

(1. 中南大学 土木建筑学院,湖南 长沙,410075;

2. 湖南省交通规划勘察设计院,湖南 长沙,410008)

摘要:对深厚软土地区长钻孔灌注桩的后注浆试验结果进行研究,获得各级荷载作用下桩身轴力和桩侧摩阻力随桩身深度的变化规律、桩顶荷载-位移-时间曲线。研究结果表明:当注浆量不超过3 t且注浆压力为1~3 MPa时,桩侧摩阻力占总荷载的93%左右,桩端轴力只占桩顶荷载的5%左右;当桩顶荷载为4.6 MN时,桩侧注浆可减小桩顶位移23%左右,桩端注浆可减小桩顶位移32%左右;桩侧和桩端后注浆技术是减小桩基工后沉降的有效方法之一。

关键词:

深厚软土后注浆冲水压力钻孔灌注桩

中图分类号:TU473.1           文献标志码:A         文章编号:1672-7207(2011)03-0823-06

Post-grouting in-situ of length bored pile in deep soft regions

ZOU Jin-feng1, 2, AN Ai-jun1, DENG Zong-wei1, XIAO Hua-xi1

(1. School of Civil Engineering & Architecture, Central South University, Changsha 410075, China;

2. Hunan Provincial Communications Planning, Survey and Design Institute, Changsha 410008, China)

Abstract: According to the in-situ test, the rule of load transmission property for axial force and frictional resistance in pile, the load-displacement-time curve at the pile top was obtained. The results show that when the grouting pressure is 1-3 MPa and grouting capacity is about 3 t, the frictional resistance around pile accounts for about 93% of the load, and axial force in pile accounts for about 5%. When the load is 4.6 MN, the displacement of pile top is decreased by about 23% through grouting around pile side and 32% through grouting around pile tip. The grouting method is one of effective technologies for the decrease and acceleration of settlement after construction.

Key words: deep soft soil; post-grouting; pressurized water pressure; bored pile

目前广泛使用的桩基后注浆技术可以固化桩底沉渣,改善桩侧泥皮性能,提高桩的极限承载力,减小桩基工后沉降。国内外学者[1-2]对注浆桩的受力性及其与注浆量的关系进行了研究,并给出了不同的计算分析方法,但是,关于后注浆对桩基工后沉降影响的研究较少。张忠苗等[3]通过试桩获得后注浆桩的承载力比注浆前的承载力提高20%~30%,对砾石持力层,可提高40%以上,且沉降量明显减少。程晔等[4]采用自平衡试桩法获得了几个重大工程的超长大直径钻孔灌注桩桩端承载力实测值。王陶等[5]对超长桩的承载性能和荷载传递机理的研究表明:超长桩的荷载-沉降曲线没有明显破坏点,其竖向荷载主要依靠桩侧摩阻力进行传递,桩侧摩阻力的发挥存在最佳深度。黄生根等[6]通过实验获得桩基总侧阻提高幅度为12%以上,端阻提高1.4倍以上。侧阻力增量对桩极限承载力的贡献可达到1.5倍以上。吴鹏等[10]提出考虑桩侧摩阻力的深度效应的单桩及群桩的荷载传递函数,并获得了较可靠的预测结果。黄敏等[11]分析了后注浆桩的荷载与位移特性的计算方法。周波等[14]通过弹性理论和Mindlin位移解推导出桩顶和桩间土的沉降量计算公式。但是,上述研究并未涉及后注浆桩技术减小桩基工后沉降。在京沪高速铁路的建设中,为控制地基沉降对工程的影响,大量采用桥梁,因此,掌握深厚软土地区中控制长钻孔灌注桩的工后沉降技术非常重要。在此,本文作者在京沪高速铁路的长钻孔灌注桩的后注浆现场实测数据的基础上,对竖向荷载下深厚软土地区长钻孔灌注桩后注浆加固前、后的荷载传递特性、荷载沉降特性等进行研究,揭示深厚软土地区长钻孔灌注桩注浆加固前、后的承载性状和沉降特性等。

1  工程地质与实验概况

根据现场地质勘查资料可知:0~-10 m的土为淤泥质黏土;-10~-17 m的土为粉质黏土;-17~-52.29 m为粉土,且随深度增加,其承载力略有增加;-52.29~ -61 m的土为粉砂土。各土层中,地下水丰富,基本处于饱和状态。

注浆桩的具体情况为:503~508号桩基加3根试验桩S1,S2和S3。其中,505号和506号桩为未注浆桩,S3为桩端桩侧同时注浆,其余为注浆桩。桩侧注浆点的位置为桩长的2/3处,桩端和桩侧注浆均用预埋管。各试验桩注浆参数如表1所示。

2  荷载沉降关系结果

2.1  荷载沉降关系

采用慢速维持荷载堆载法,荷载分9级加载。试验中,仪器可以自动补载,从而保证每级荷载的稳定。加载方法、加载稳定判定标准和终止加载条件严格按


照《铁路基桩检测技术规范》执行。桩荷载-沉降曲线如图1所示。

由图1可以看出:4.6 MN荷载作用下,注浆和未注浆桩均未达到破坏。在荷载水平较低时,注浆与否对荷载-沉降曲线的影响不大。与未注浆柱相比,注浆柱的桩顶沉降减少量如表2所示。从表2可见,在4.6 MN荷载作用下,桩端注浆的桩顶沉降比未注浆桩的减少30%以上,桩侧注浆的桩顶沉降比未注浆的小20%以上。后注浆技术能较好地改善了桩的工程特性。

从图1和表2可以看出:在荷载水平较低时,与未注浆桩相比,桩侧注浆桩的沉降速率较快。对未注浆桩而言,在桩顶施加荷载初期,由于荷载不够大,浅层土体的摩阻力全部承担了桩顶荷载,桩顶位移主要为桩侧土体与桩体之间的相对位移;当桩侧土体注浆之后,桩侧土体被加固,强度显著提高,桩顶位移主要为桩身压缩,而桩侧土体与桩体之间的相对位移所占比例较小。

2.2  持荷时间曲线

由于高速铁路对工后沉降要求极其严格,桩基后注浆加固是减小桩基工后沉降的有效方法之一。本试验主要通过模拟工作荷载作用下桩基持荷时间与沉降

图1  桩荷载-沉降曲线

Fig.1  Curves of load and settlement for pile

表1  试验桩注浆参数

Table 1  Grouting parameters of pile

的关系,获得了9根典型桩基在不同荷载作用下的荷载-时间曲线,如图2所示。

表2  沉降减少量

       Table 2  Decreasement of displacement        %

图2  桩基的荷载-时间曲线

Fig.2  Curves of load and time for pile

从图2可以看出:在6.0 MN恒定荷载作用下(远大于工作荷载4.6 MN),随着持荷时间的延长,总体沉降趋势不变。在持荷荷载为4.6 MN时,随着持荷时间的延长,其沉降有微量回弹趋势。因此,后注浆技术是减小桩基工后沉降的有效方法之一。

3  应力试验结果

3.1  各级荷载下的桩身轴力

试桩在各级荷载作用下的桩身轴力分布可以通过埋设在桩身14个断面处的钢筋应力计所采集的数据换算得到。钢筋应力计实测为钢弦振动频率,由下式计算得到某一级荷载作用下i断面钢筋轴力pi

          (1)

式中:K为标定系数;Fi为某一级荷载作用下i断面钢弦振动频率, Hz;F0为钢弦初始振动频率, Hz;B为计算修正值, kN,由仪器标定书提供。得到i断面钢筋轴力后,可以由下式计算该断面钢筋应变εi

                (2)

式中:Ag为钢筋面积,m2;Eg为钢筋弹性模量,kPa。钢筋和混凝土浇灌在一起,假设二者变形一致,即任一断面钢筋与混凝土具有相同的应变。故桩身轴力为

              (3)

式中:Ec为混凝土弹性模量,MPa;A­c为混凝土面积,m2

3.2  桩侧阻力随深度变化关系

根据静力平衡原理,不考虑桩身自重影响,相邻2个测试断面间的轴力变化值等于两断面间的侧阻发挥值,由此可算出该段桩桩侧平均侧阻力qsi

               (4)

式中:U为桩身周长,m;li为第i层土厚度,m;i-1和i分别为土层的上、下界面;Qi-1和Qi分别为第i个土层上、下分界面处实测轴力,kN。

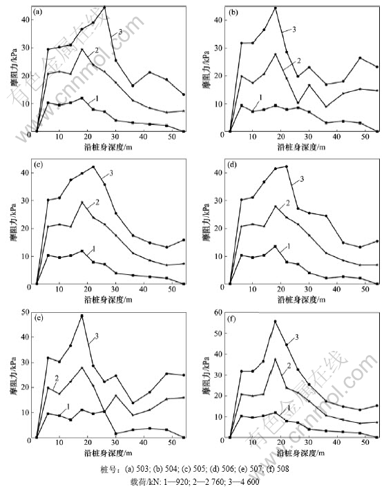
各级荷载下轴力和摩阻力沿桩身深度变化如图3和4所示。从图3和4可以看出:

(1) 503~508号桩桩侧阻力的最大值分别出现在桩顶以下位置:26,18,20,20,18和20 m;对应的最大摩阻力分别为:44.60,44.60,42.20,41.40,48.56和55.73 kPa。而最大摩阻力对应的土层为粉质土,其对桩基的摩阻力发挥比黏土、淤泥质黏土和粉质黏土的好。

(2) 503~508号桩桩端阻力分别占总荷载的6.96%,6.09%,8.70%,8.26%,5.43%和4.35%。说明桩在传递竖向荷载的过程中,大部分荷载转由桩侧土体以摩阻力的形式承担。桩顶荷载在传递过程中,上部土层侧阻力先于下部发挥,随荷载增加,下部土层的侧阻力逐步被激发,同时还可看出各土层侧阻力的增速不同,其峰值有逐渐下移的趋势。503~508号桩桩侧摩阻力占总荷载的93.04%,93.91%,91.3%,91.74%,94.57%和95.65%,说明软土地区超长桩受力以桩侧摩阻力为主。

(3) 在竖向荷载下,桩身轴力曲线大致呈线性分布,且随桩体深度的增加而逐渐减小。轴力曲线上某段区间的斜率则反映了该段土层的侧阻力:斜率越大,

图3  桩轴力沿桩身深度变化曲线图

Fig.3  Distribution of axis force along length of pile


则侧阻力越小;反之,则侧阻力越大。

(4) 加载初期,由于桩侧阻力较小,曲线较陡,随荷载增加,曲线逐步变缓,说明桩侧阻力在逐渐发挥,桩端阻力也随之不断增大,也说明各测试截面轴力随加载的增加逐渐增加,而增幅则与桩侧各土层阻力的发挥程度有关。

(5) 桩侧注浆桩的摩阻力显著提高且轴力传递随深度衰减得更快,层面间轴力曲线的斜率也较大。随着荷载的增加,这种趋势更加显著。

(6) 桩端荷载与未注浆桩相比有所减小。原因是浆液的上升对桩侧泥皮起到固化作用,使桩-土形成一个更加紧密的共同作用系统,改善了基桩的力学性状。而且由于钻孔灌注桩泥浆护壁的存在,阻碍了桩身与桩周土的黏结咬合,降低了桩侧摩阻力。因此,

图4  摩阻力沿桩身深度变化曲线图

Fig.4  Distribution of frictional resistance along length of pile


泥浆护壁的存在成为泥浆护壁法钻孔灌注桩的一大症结,而通过桩基后注浆技术可有效解决,使桩侧摩阻力得到显著提高。

4  结论

(1) 确定了总荷载为4.6 MN时各级荷载作用下的桩身轴力和桩侧摩阻力随桩身深度的变化规律。桩侧摩阻力占总荷载的93%左右,桩端轴力只占桩顶荷载的5%左右。

(2) 当注浆量为3 t且注浆压力为1~3 MPa时,在4.6 MN荷载作用下,桩侧注浆可减小桩顶位移23%左右,桩端注浆可减小桩顶位移32%左右。

(3) 通过桩基后注浆技术,在一定程度上增大了桩径,改善了桩侧土体受力特性,显著提高了桩侧摩阻力。因此,后注浆技术是减小工后沉降的有效方法之一。

参考文献:

[1] Eriksson M, Stille H, Andersson J. Numerical calculations for prediction of grout spread with account of filtration and varying aperture[J]. Tunneling and Underground Space Technology, 2000, 15(4): 353-364.

[2] Almer E C. Grouting for pile foundation improvement[D]. Dleft, Netherlands: Dleft University. School of Civil Engineering, 2001: 101-123.

[3] 张忠苗, 辛公锋. 不同持力层钻孔桩桩底后注浆应用效果分析[J]. 建筑结构学报, 2003, 23(6): 85-90, 94.
ZHANG Zhong-miao, XIN Gong-feng. The application effect analysis of post-grouting under bored piles with different bearing strata[J]. Journal of Building Structures, 2003, 23(6): 85-90, 94.

[4] 程晔, 龚维明, 戴国亮, 等. 超长大直径钻孔灌注桩桩端承载力研究[J]. 南京航天航空大学学报, 2007, 39(3): 407-411.
CHENG Ye, GONG Wei-ming, DAI Guo-liang, et al. Bearing capacity of super-long and large-diameter bored pile tip[J]. Journal of Nanjing University of Aeronautics and Astronautics, 2007, 39(3): 407-411.

[5] 王陶, 马晔. 超长钻孔桩竖向承载性状的试验研究[J]. 岩土力学, 2005, 26(7): 1053-1057
WANG Tao, MA Ye. Study on over-length drilled pile bearing behavior under vertical load[J]. Rock and Soil Mechanics, 2005, 26(7): 1053-1057.

[6] 黄生根, 龚维明. 超长大直径桩压浆后的承载性能研究[J]. 岩土工程学报, 2006, 28(1): 113-117.
HUANG Sheng-gen, GONG Wei-ming. Study on bearing behavior of super long-large diameter piles after grouting[J]. Chinese Journal of Geotechnical Engineering, 2006, 28(1): 113-117.

[7] 肖华溪. 深厚软土桩基后注浆技术试验与研究[D]. 长沙: 中南大学土木建筑学院, 2009: 10-15.
XIAO Hua-xi. Test study on post-grouting technical of piles in depth and soften soil[D]. Changsha: Central South University. School of Civil Engineering & Architecture, 2009: 10-15.

[8] 蒋建平. 大直径超长桩的承载潜力问题探讨[J]. 西安建筑科技大学学报: 自然科学版, 2006, 38(3): 333-338.
JING Jian-ping. Study on the potential bearing capacity of long diameter and super-long pile[J]. Journal of Xi’an University of Architecture and Technology: Natural Science, 2006, 38(3): 333-338.

[9] 费鸿庆, 王燕. 黄土地基超长灌注桩工程性状研究[J]. 岩土工程学报, 2000, 22(5): 576-580.
FEI Hong-qing, WANG Yan. Research of super-long hole bored pile in loess subsoil[J]. Chinese Journal of Geotechnical Engineering, 2000, 22(5): 576-580.

[10] 吴鹏, 龚维明, 梁书亭. 考虑深度效应的超长单桩荷载传递性状的研究[J]. 岩土力学, 2007, 28(6): 1265-1268.
WU Peng, GONG Wei-ming, LIANG Shu-ting. Study on load transfer law of over length piles considering depth effect[J]. Rock and Soil Mechanics, 2007, 28(6): 1265-1268.

[11] 黄敏, 张克绪, 张尔齐. 桩底灌浆在桩端周围土体中引起的应力分析[J]. 哈尔滨工业大学学报, 2002, 34(3): 433-435, 439.
HUANG Min, ZHANG Ke-xu, ZHANG Er-qi. Analysis of stress in soil mass around pile bottom induced by grouting[J]. Journal of Harbin Institute of Technology, 2002, 34(3): 433-435, 439.

[12] 胡庆立, 张克绪. 桩底压浆桩在轴向荷载作用下的有限元分析[J]. 哈尔滨建筑大学学报, 2002, 35(1): 48-52.
HU Qing-li, ZHANG Ke-xu. Finite element analysis of base-grouted pile under axial load[J]. Journal of Harbin University of Civil Engineering and Architecture, 2002, 35(1): 48-52.

[13] 刘金砺, 邱明兵. 单桩、单排桩、疏桩基础及其复合桩基的沉降计算[J]. 土木工程学报, 2007, 40(增刊): 152-158.
LIU Jin-li, QIU Ming-bing. Settlement calculation for pile foundation and composite pile foundation with single pile and sparse piles[J]. China Civil Engineering Journal, 2007, 40(S): 152-158.

[14] 周波, 杨庆光, 张可能. 刚性基础下柔性桩复合地基有效桩长的计算方法[J]. 中南大学学报: 自然科学版, 2007, 38(1): 175-179.
ZHOU Bo, YANG Qing-guang, ZHANG Ke-neng. Calculation method for effective length of flexible piles for composite foundation with rigid foundation[J]. Journal of Central South University, 2007, 38(1): 175-179.

(编辑 赵俊)


收稿日期:2010-03-24;修回日期:2010-05-24

基金项目:高等学校博士点新教师基金资助项目(20090162120039);博士后科学基金资助项目(20090461021);铁道部科技研究开发计划重点项目(2008G032–3)

通信作者:邹金锋(1978-),男,河南新县人,博士,副教授,从事岩土与地下工程的教学与应用研究;电话:0731-82656248;E-mail: zoujinfeng_0@163.com