Maintaining eco-health of urban waterscapes with imbedded integrating ecological entity: Experimental approach
来源期刊:中南大学学报(英文版)2016年第11期
论文作者:郭一明 宋炳良 刘云国 孙玉琴 李华 谭小飞 江卢华
文章页码:2827 - 2837
Key words:urban waterscape; eco-health; replenishing water; purification; ecological entity
Abstract: An imbedded integrating ecological entity (IIEE) was designed to combine landscaping, replenishing-water purifying and ecosystem maintaining simultaneously. With this IIEE, within 15 d experiment, simulated replenish water (SRW) with high (SRW-I) or low (SRW-II) nutrients concentration was well purified. Relative removal rates of CODCr, TP, TN, Chl-a and turbidity reached 84.87%, 84.05%, 94.76%, 188.17%, 110.93% when dealing SRW-I, and 52.62%, 90.05%, 82.44%, 166.15%, 202.99%, respectively, when dealing SRW-II. The well grew flora and fauna of IIEE benefit eco-maintaining and landscaping. Separately, the maximal root and stem length-increments of Cyperus alternifolius Linn. were 26.1 mm and 28.4 mm, while for Potamogeton crispus Linn. 18.3 mm and 25.7 mm. Mortality for both Bellamya aeruginosa and Misgurnus anguillicaudatus was both under 2.96%. The analysis of variance (ANOVA) indicated that most experimental indexes in each group performed more significantly better than those in their control. All results indicated that the IIEE is a promising technology for future urban waterscapes construction.
J. Cent. South Univ. (2016) 23: 2827-2837
DOI: 10.1007/s11771-016-3346-z

GUO Yi-ming(郭一明)1, SONG Bing-liang(宋炳良)1, LIU Yun-guo(刘云国)2, 3, SUN Yu-qin(孙玉琴)1,
LI Hua(李华)1, TAN Xiao-fei(谭小飞)2, 3, JIANG Lu-hua(江卢华)2, 3
1. School of Economics and Management, Shanghai Maritime University, Shanghai 201306, China;
2. College of Environmental Science and Engineering, Hunan University, Changsha 410082, China;
3. Key Laboratory of Environmental Biology and Pollution Control (Hunan University), Changsha 410082, China
Central South University Press and Springer-Verlag Berlin Heidelberg 2016
Abstract: An imbedded integrating ecological entity (IIEE) was designed to combine landscaping, replenishing-water purifying and ecosystem maintaining simultaneously. With this IIEE, within 15 d experiment, simulated replenish water (SRW) with high (SRW-I) or low (SRW-II) nutrients concentration was well purified. Relative removal rates of CODCr, TP, TN, Chl-a and turbidity reached 84.87%, 84.05%, 94.76%, 188.17%, 110.93% when dealing SRW-I, and 52.62%, 90.05%, 82.44%, 166.15%, 202.99%, respectively, when dealing SRW-II. The well grew flora and fauna of IIEE benefit eco-maintaining and landscaping. Separately, the maximal root and stem length-increments of Cyperus alternifolius Linn. were 26.1 mm and 28.4 mm, while for Potamogeton crispus Linn. 18.3 mm and 25.7 mm. Mortality for both Bellamya aeruginosa and Misgurnus anguillicaudatus was both under 2.96%. The analysis of variance (ANOVA) indicated that most experimental indexes in each group performed more significantly better than those in their control. All results indicated that the IIEE is a promising technology for future urban waterscapes construction.
Key words: urban waterscape; eco-health; replenishing water; purification; ecological entity
1 Introduction
Urban waterscape (UW) is an indispensable part of landscape art. UWs can maintain the integrity of the regional ecosystem, adjust the regional microclimate, play important roles in soil and water conservation, provide habitats for animals or plants, and optimize the spatial patterns of the urban landscapes [1-2]. Nowadays, to build waterscapes in travel destinations or living areas has become widely popular [3]. Considerable amount of water is needed in UW building and maintaining [4-5]. But conspicuous human effects associated with the rapid overpopulation, accelerated urbanization and industrialization have led to excessive water consumption and degradation [6-7].
Linked closely with the living environment, UWs are environmentally sensitive because they are mostly stagnant or slow surface waters with small water area, poor environment capacity and self-purification capability [8]. Human industrial civilization has also aggravated eutrophication and reduced the carrying capacity of UWs [6]. Furthermore, the water quality deterioration in the eutrophication way occurs not only in natural waters, but also in UWs whose ecological issues have become a worldwide environmental problem and a research hotspot in recent years [9-10]. The UWs have a natural tendency to colmatation and eutrophication; therefore, it is essential to purge their water and optimize their ecosystem [10]. Minding the eco-health of UWs, to replenish the evaporation and infiltration of artificial waterscapes is quite necessary [11]. Nevertheless, reclaimed water that already achieved the standards which have been established to ensure its safe use may still induce the eutrophication. For instance, discharge standards for TN and TP are separately ≤15.0 mg/L and ≤0.5 mg/L in China which are much higher than the thresholds (TN 0.20-0.84 mg/L, TP 0.02-0.07 mg/L) of eutrophication [12-15]. Limited water availability, poor water quality and unhealthy UW ecosystem can consequently impair life quality and image of tourism destinations [16].
Though UW designers have sought to use reclaimed water to alleviate the water resources crisis, how to maintain the UW in ecological healthy and beautiful state remains to need the efforts. Thus, to enhance the pollutant carrying and self-purifying capacity of a UW is necessary to have the replenish water be deeply purified and its ecological structure be optimized. Submerged macrophyte restoration is particularly effective in water deep purification and crucial to UWs’ ecological structure [8, 17-18]. The submerged macrophytes are regarded as forest under water. It can firstly compete for nutrients and light with phytoplankton and absorb toxins; secondly provide the structure for periphyton, shelter for organisms and invertebrates, and spatial refuge for zooplankton or small fish; thirdly reduce the mixing of the water column and resuspension; additionally provide food for aquatic animals; finally inhibit the growth of phytoplankton by releasing allelochemicals [19-21]. Yet, comparable with natural surface waters, there are restrictions on UW ecology conservation like waves, water depth, sediment properties, fish communities, nutrient loading, periphyton, etc [20, 22].
Ecological floating bed (EFB) has been widely applied in landscape water pollution treatment and water restoration [23]. As an important in-situ repair technology, the EFBs have the unique advantage of occupying no land area compared with conventional macrophyte-based constructed wetlands in scenic water ecosystem [24]. The integrated ecological floating bed (IEFB) has been proved to have the better purification than the normal EFB. To employ more compositions under principles of the food chain and integrate them into an ecological system in EFB has attracted more and more attention [25]. Though researchers have investigated the scenic effect and scientific utilization of water resources in UW designing and maintaining, few studies have focused on the deep purification of UW replenishing- water, and on constructing an ecological entity based on EFB technology so as to restore the submerged macrophytes in UWs [8, 26-27].
In this work, an imbedded integrating ecological entity (IIEE) was designed to combine landscaping, replenishing-water purifying and ecosystem maintaining processes simultaneously. Outdoor experiments were carried out to 1) evaluate the water purification efficiency of the IIEE; 2) verify whether the IIEE can maintain the regional ecological health; 3) offer a new solution balance between the scenic effects and UW ecological functions.
2 Materials and methods
2.1 Design of IIEE
As an ecological entity, the IIEE was designed following principles of the food web in order to perform the eco-functions of hydrophyte, aquatic animals and microorganisms. To maintain a healthy ecosystem in IIEE, insufficient attention was given to the restrictions from external to internal of the UW. An IIEE was designed based on the symbiosis theory, principles of biodiversity and food chain while the landscape effects were considered as well. The IIEE was composed of a floating bed (FB) and a lifting bed (LB) as shown in Figs. 1 and 2. Whole underwater part of IIEE was covered with the oxidation-resistant polyvinyl chloride (PVC) net (pore diameter 1.5 mm) which might help promoting subtractively the wind wave and stabilizing the inner habitat. This mesh cover could also provide an extensive surface area for periphyton and grazing area for Bellamya aeruginosa (B. aeruginosa), which might help to enhance the purification ability [28].

Fig. 1 Schematic drawing of IIEE

Fig. 2 Arrangement of FB (a) and LB (b) in IIEE
The FB and LB were same orthohexagonal shaped and sized so that more IIEEs could be bolted together in different directions and greater eco-functions could be performed. The side length of the outer hexagon skeleton was 300 mm, and the inner 150 mm. Buoyancy of the IIEE was largely provided by three inflatable air chambers (IACs) in FB, and partly by tubular structural skeletons of FB and LB.
The FB and LB were split into 12 subzones separately. Sequence numbers of the subzones and components of IIEE are shown in Fig. 2. Correspondingly, components information about FB and LB is illustrated in Table 1.
In the FB, the subzones A1, A3, A5 whose area took 37.5% of the total were set to hold aquatic plants above the water. The rest 62.5% photic zone of FB was designed to guarantee enough light for the P. crispus that were grew centrally within B7-B12 (25% of LB). As an auxiliary, three halyards inside the IIEE were set to adjust the depth of the LB. To stabilize the roots of C. alternifolius and P. crispus, layer thickness of natural zeolite in nutritional baskets (pore diameter 3 mm) was about 60 mm in FB and 30 mm in LB, respectively.
2.2 Materials and biotas of IIEE
The plants and animals embedded in IIEE were native species from the Xiangjiang river basin in Changsha, China. Emerged plant C. alternifolius and submerged plant P. crispus were employed in IIEE, and the scraping predator B. aeruginosa and organic residuum feed M. anguillicaudatus were applied. Natural zeolite (density 2.16 g/cm3 and particle size (4.0±0.8) mm) was obtained from Jinyun, Zhejiang Province, China. Two types of simulated replenish water (SRW) were utilized in the experiment. SRW-I was pumped from an eutrophic water pool in the Xiangjiang River basin. SRW-II was collected at the outfall of a sewage treatment plant in Changsha. Specific initial water quality parameters (WQPs) are shown in Table 2.
Table 1 Components and their subzones in IIEE a

Table 2 Initial water quality parameters of SRW-I and SRW-IIa

2.3 Experimental setup
In order to achieve the research objectives, the study took 3 trials to verify the practical eco-functions of IIEE. Detailed settings of each trial are presented in Table 3.
In Table 3, trials A and B were conducted to compare the water purification and scenic performance of IIEE in SRWs. The WQPs TP, TN, NH4+-N, CODCr, Chl-a and turbidity were chosen as the evaluation indexes. Trial C was carried out to investigate whether the IIEE could provide formative environments for biotas. Biological responses of C. alternifolius, P. crispus and aquatic animals relevant with the sedimentation velocity (vs) of LB were investigated. Height increment of P. crispus, and C. alternifolius and mortality of B. aeruginosa and M. anguillicaudatus were chosen as the indicators.
All groups were conducted in opaque drum wall tanks, which were each filled with (380±0.5) L of SRW. To exclude rainfall and ensure natural ventilation as well as light, the experiments were performed at a horticultural shelter without walls.
2.4 Sampling and analysis
Distilled water was added daily to compensate the loss of evaporation and transpiration in each group. 15 d′ data were collected after IIEE were imbedded the SRW.
Table 3 Settings of experimental groupsa

Water samples were collected at the middle depths of each tank at 10:30 and 15:00 and analyzed according to National Environmental Protection Agency, China [12]. The WQPs, root and stem increments of P. crispus as well as C. alternifolius were detected every 3 d. The mortality rate of aquatic animals was assessed at the end of the experiment (dead individuals were picked out once found).
All the compositional analyses were performed in triplicate, and the data were expressed as mean ± standard errors. Graphical works were carried out with the software Origin 9.0 (Origin Lab, USA). Data were analyzed by SPSS 19.0 (USA). The analysis of variance (ANOVA) and Tukey’s HSD were used to assess the differences between group means. A value of p<0.05 was considered statistically significant.
The removal rate (R) was analyzed according to the following formulas:
R=(1-Cr/Ci)×100 (1)
Ri=Rt-Rc (2)
where Cr represents the average residual concentration of nutrients in each tank; Ci is the initial concentration; Ri is the individual actual average removal rate; Rt is the total ultimate average removal rate in each group; Rc represents the average removal rate of the control group.
3 Results and discussion
3.1 Meteorological conditions
Moderate meteorological conditions can promote the photosynthesis of vegetations and the proliferation of microorganisms [30]. As shown in Fig. 3, the air temperature ranged a lot during the experiment, which might affect the IIEE to develop a lot. The temperature has raised in the first 9 d, but declined twice in day 2 and day 6 separately. On the contrary, the temperature dropped in overall but raised in the last 2 d during the 10-15 d. Therefore, the physiological activities of biotas in IIEE might have been restrained during the temperature fallen days and intermittently 7 raining days [31]. Besides, the removal of the pollutants may be affected a lot by the meteorological conditions.

Fig. 3 Variation of air temperature during experimentation (Raining days are marked with
)
3.2 Purification efficiency of COD
COD indicates the organic substances of water and manifest water pollution indirectly. The CODCr variations in trial A and trial B are depicted in Fig. 4. As shown in Fig. 4, and proved by the One-way ANOVA. The removal of CODCr is the best in group A1 and B1.
One-way ANOVA showed that significant differences were found among trial A groups (F=3.17, p<0.05) and B groups (F=3.59, p<0.05). Tukey’s HSD analysis revealed that Cr values of CODCr in A1 ((50.36± 30.01) mg/L), A2 ((56.74±26.57) mg/L), A3 ((69.89±17.02) mg/L) were lower than those in A4 ((86.89±0.54) mg/L); B1 ((9.91±2.50) mg/L), B2 ((10.49±2.18) mg/L), B3 ((11.08±1.92) mg/L) were lower than that of B4 ((13.30±1.10) mg/L).
Previous research has shown that most organic compounds can be removed by degradation of microorganisms and plant uptake and utilization [32]. Assisted by IIEE, organic degradation of microorganisms in the root zone could be assimilated by C. alternifolius and P. crispus. And the Ri of CODCr could also be enhanced by the predation of M. anguillicaudatus and B. aeruginosa. Synergistic effects of plant-substrate- microbe system may also help to remove organic compounds from wastewater [33]. Thus, the IIEE did a great function in COD removal and UW scenery optimization.
3.3 Purification efficiencies of TP and TN
As essential components of living systems, excess phosphorus and nitrogen can lead to eutrophication of UWs. As shown in Figs. 5(a) and (b), after IIEE purification, Cr of TP and TN in trial A (with SRW-I) and trial B (with SRW-II) were all reduced within the threshold levels (TP 0.02-0.07 mg/L, TN 0.20-0.84 mg/L) of eutrophication. Group A1 (Ri=(84.05± 3.33)%, Cr=(0.07±0.02) mg/L for TP; Ri=(94.76±0.54)%, Cr=(0.41±0.04) mg/L for TN) and B1 (Ri=(78.98± 12.53)%, Cr=(0.03±0.01) mg/L for TP; Ri=(82.44± 7.22)%, Cr=(0.13±0.02) mg/L for TN) worked best at the end of the experiment in each trial.
One-way ANOVA was conducted to compare the Cr of TP and TN variations in trials A and B. For Cr of TP, no significant difference was found in trial A groups (F= 1.99, p>0.05); however, the Ci of TP was quite to decrease (for example, (84.05±3.33)% in group A1 and (82.72± 3.60)% in group A2). Significant difference was found in B groups (F=3.49, p<0.05). The mean Cr values of TP in A1, A2, A3 and A4 were (1.56±1.20) mg/L, (1.68±1.16) mg/L, (2.04±0.91) mg/L and (2.78±0.15) mg/L, respectively. Tukey’s HSD analysis revealed that Cr values of TP among B1 ((0.19±0.15) mg/L), B2 ((0.21±0.15) mg/L), B3 ((0.24±0.13) mg/L) were significantly lower than that of B4 ((0.40±0.03) mg/L). For Cr of TN, significant difference was found in both trials A (F=3.77, p<0.05) and B (F=3.25, p<0.05). Tukey’s HSD analysis revealed that Cr of TN in A1 ((7.04±5.11) mg/L), A2 ((7.55±4.98) mg/L), A3 ((8.60± 3.98) mg/L) was significantly lower that of A4 ((14.08± 0.15) mg/L), and Cr (TN) of B1 ((0.67±0.47) mg/L), B2 ((0.77±0.41) mg/L), B3 ((0.90±0.32) mg/L) was significantly lower than that of B4 ((1.26±0.04) mg/L).

Fig. 4 CODCr variations in trial A and trial B:

Fig. 5 TP and TN variations in trial A and trial B:
The prominent TP removal in both trails A and B could be due to the following functions of IIEE. Firstly, Cr was decreased by the assimilation of C. alternifolius and P. crispus; Secondly, Ri was enhanced by the coupling effects of phosphorus-decomposing bacteria or phosphorus-concentrating bacteria and plants in rhizosphere; Thirdly, soluble inorganic phosphorus could be precipitated under the promotion of A13+, Fe3+ and Ca2+ in zeolite [34]. Besides, phosphorus release of the organic detritus could be reduced by grazing of B. aeruginosa and M. anguillicaudatus. Within the IIEE, there are different levels of dissolved oxygen at the rhizosphere or leaves of the aquatic plant. Nitrifying and denitrifying bacteria coexist there and achieve the denitrification effect [35]. Mechanisms such as volatilization, ammonification, nitrification (or denitrification), plant uptake (C. alternifolius, P. crispus), matrix adsorption (zeolite) and predation (B. aeruginosa, M. anguillicaudatus), can explain the nitrogen removal function of IIEE.
With the matrix zeolite, NH4+ would be adsorbed rapidly in the beginning stages, through ion exchange, and the adsorbed NH4+ could be further recycled through microbial decomposition or absorbed by aquatic macrophytes [36]. Natural zeolite could help IIEE to maintain stability and tolerate the wide fluctuations. With the specific area of 230-320 m2/g and pore diameter of 3.4-4.0
, zeolite was appropriate for the apposition growth of microorganisms and might gradually turn into bio-zeolite. And this bio-zeolite could enhance the purification capacity of IIEE with its excellent biodegradation and physisorption properties [37]. Plant residues in IIEE could serve as the food for M. anguillicaudatus and B. aeruginosa, which could prevent a further endogenous nitrogen from release. This synergy of biota interactions, adsorption of the matrix and microorganisms could enhance both the TP and TN removal.
3.4 Scenic improvements
Water is vital for the landscape, but only a UW is beautiful in visual perspective, can it be then fully enjoyed [2].
To judge the scenic optimization effects of IIEE, Chl-a, turbidity and biota growth were chosen as the evaluating indexes. Chl-a which endangers UW scenery very much is the most used operational indicator for phytoplankton biomass and also an important indicator to evaluate the level of eutrophication [38]. Variations of Chl-a in trials A and B can be seen in Fig. 6.
An one-way ANOVA was conducted to compare the Chl-a variations of trials A and B. Significant difference was found between trial A groups (F=7.34, p<0.05) and B groups (F=7.81, p<0.05). Tukey’s HSD analysis revealed the mean Cr values of Chl-a were ranged within a small scope both in A groups (from 11.53 μg/L to 12.59 μg/L, SD=2.22) and in B groups (from 5.16 μg/L to 5.28 μg/L, SD=0.92) expect the control group. In the control groups A4 and B4, the Cr of Chl-a increased obvious as indicated in Fig. 6.

Fig. 6 Chl-a variations in trial A and trial B:
In the presence of IIEE, nutrient limitation due to zeolite adsorption, nutrients and light competition from C. alternifolius, P. crispus and periphyton might restrict the phytoplankton biomass growth. C. alternifolius also inhibited the growth of Microcystis aeruginosa (M. aeruginosa) prominently according to our previous study [19]. So, the allelopathic interactions from C. alternifolius and submerged macrophytes might also play an important role in Chl-a reduction [19, 21, 39]. In trials A and B, the IIEE had adequately prevented the excessive algae from growth with a Ri no less than (152.20±30.58)%. Thus, the IIEE could promote and sustain the UW in a low microalgae density state.
Water turbidity is a measure of water clarity and an indicator of water quality for it increases the optical attenuation coefficient and therefore decreases water transparency. Turbidity in excess of 5 NTU is just noticeable to the average person [40]. Elevated turbidity harms the UW not only in scenery, but also in ecosystem stability [41]. Turbidity variations in trials A and B can be seen in Fig. 7.

Fig. 7 Turbidity and its Ri variations in trials A (a) and B (b)
One-way ANOVA was conducted to compare the turbid variations of trial A groups and trial B groups. Significant difference was found between trial A groups (F=6.80, p<0.05) and B groups (F=9.33, p<0.05). Tukey’s HSD analysis revealed that the mean turbidity values of group A1 ((79.88±42.28)NTU) and A2 ((83.77± 40.11)NTU) were significantly lower than those of A4 ((157.16±19.85)NTU) while B1 ((32.37±24.94)NTU), B2 ((30.78±25.45)NTU) and B3 ((32.26±24.30)NTU) were all significantly lower than B4 ((99.01±29.32)NTU). The one-way ANOVA findings are quite agreed well with Fig. 6. Besides, at day 15, turbidities in group B1 ((4.9± 0.26)NTU), B2 ((4.83± 0.40)NTU), B3 ((3.90±0.62)NTU) were all below 5 and became crystal clear. The results indicated that the IIEE could reduce water turbid efficiently in SRW-II conditions.
Under the effect of IIEE, Ri of turbidity could be promoted by the sedimentation of suspended particulate substances, the root adsorption by C. alternifolius as well as P. crispus, grazing of herbivorous zooplankton and matrix adsorption, etc. The restriction for phytoplankton biomass from IIEE could reduce the turbidity too. Thus, the IIEE could actually preserve and protect the water clarity of a UW.
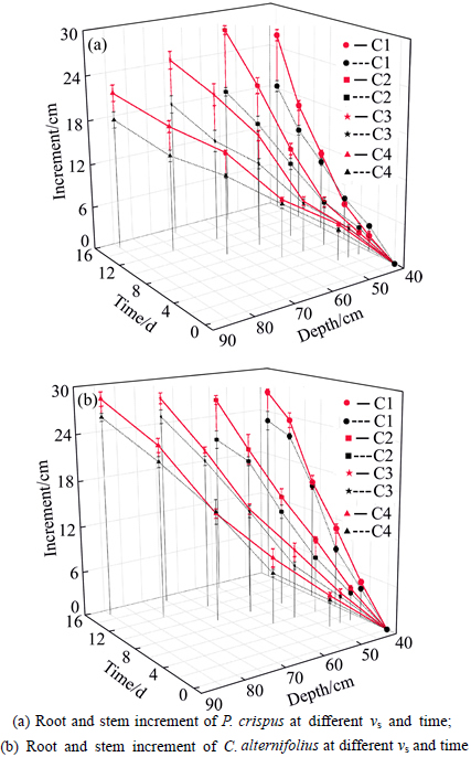
Well vegetation growth contributes the beauty of UWs. Root increment (R-inc) and stem increment (S-inc) of C. alternifolius and P. crispus at different vs of LB in trial C are shown in Fig. 8.

Fig. 8 Root and stem increment of aquatic plants in groups of C1, C2, C3 and C4:
A 4 (group/vs)×6 (time)×24 (DLB) factorial ANOVA was conducted to compare R-inc and S-inc of P. crispus and C. alternifolius in trial C. For P. crispus R-inc, the main effect for vs (C groups, F (3, 20)=0.34, p>0.05) and DLB (F(11, 20)=2.56, p>0.05) was not significant, and the main effect for time was significant (F (5, 20)= 104.29, p<0.01); for P. crispus stem, the main effect for time (F (3, 20)=226.18, p<0.01) and DLB (F(11, 20)=7.17, p<0.05) was significant, and the main effect for vs (represented by group SN) was significant (F (5, 20)= 0.01, p>0.05). For C. alternifolius R-inc, the main effect for vs (C groups, F (3, 20)=0.39, p>0.05) and DLB (F(11, 20)=4.96, p>0.05) was not significant, and the main effect for time was significant (F (5, 20)=607.01, p<0.01); for C. alternifolius S-inc, the main effects for time (F (3, 20)=1221.23, p<0.01) and DLB (F(11, 20)= 8.33, p<0.05) were significant, and the main effect for vs (main difference between each group) was not significant (F (5, 20)=1.12, p>0.05). Tukey’s HSD analysis which matchs the result of Fig. 8 well revealed that the mean plant increment varied in the order C2> C3>C4>C1 for P. crispus root, C3>C2>C4>C1 for P. crispus stem, and C3>C2>C4>C1 for C. alternifolius root, C4>C1>C3>C2 for stem of C. alternifolius. Well growth of P. crispus in group C2 and C3 proved that IIEE promotes the submerged macrophytes to reach the photosynthetic light compensation point by adjusting the DLB.
With the protection of mesh cover, roots of C. alternifolius and plants of P. crispus in IIEE were kept away from external restrictions such as phytophagic fish. Thus, the R-inc and S-inc variation were mainly affected by the nutrition, lighting and water temperature. C. alternifolius is a classic plant in waterscape and a perennial plant with evergreen foliage in the genus Cyperus of the sedge family (Cyperaceae) [42]. It could assimilate nitrogen, phosphorus and CODCr in good efficiencies (NH3-N 45%, TP 72%, CODCr 55% separately) [43]. With low photosynthetic light compensation point, submerged plant P. crispus had a great capacity of capturing light in the IIEE. This characteristic promotes P. crispus restoration and arouses its potential biological traits such as stabilizing sediments, absorbing nitrogen and phosphorus, providing habitats for piscivorous fish etc. [20, 44]. Thus, prominent plant increment in trial C demonstrated on the one hand IIEE provides aquatic plant an appropriate grow environment, and on the other hand IIEE could beautify the UWs.
Mortality of B. aeruginosa and M. anguillicaudatus in trial C was counted on day 15 and the results are shown in Table 4.
As shown in Table 4, after 15 d of experiment, the mortality of M. anguillicaudatus and B. aeruginosa in trial C was no more than 2.86%. M. anguillicaudatus deaths occur mainly in low LB depth groups (C1, C2), instead, B. aeruginosa deaths occur mainly in the deeper LB depth groups (C3, C4). M. anguillicaudatus is a photophobic animal which forages at night and endures low dissolved oxygen well. Its asphyxiation point was 0.48 mg/L for juvenile and 0.24 mg/L for adult at 24.5 °C [45]. The M. anguillicaudatus could inhale the air directly above the hypoxia water surface, breathe with its gills and do gastric-respiration. B. aeruginosa is a viviparid gastropod that widely distributed. Organic debris, periphyton that attached to the IIEE mesh cover and leaves of submerged plants can be the foods for B. aeruginosa. Oxygen excreted by P. crispus and the roots of C. alternifolius might also help the survival of aquatic animals. But the larger Vs of group C3 and C4 may decrease dissolved oxygen and then lead to the death of B. aeruginosa.
Past research reveals that the mutualistic relationship between submerged plants and B. aeruginosa could affect both photosynthesis and nutrients absorption of submerged plants. The two aquatic animals could promote the inorganic level of organic nitrogen and phosphorus, and by this way, the nitrogen and phosphorus removal via IIEE could be enhanced. The well growth of aquatic plants and low aquatic animals mortality in trial C proved that IIEE can effectively help maintaining the regional ecological health especially at a moderate vs. Therefore, the experiment implied that the IIEE can effectively improve the survival condition for aquatic animals.
Table 4 Ultimate mortality of aquatic animals of IIEE in trial C

4 Conclusions
1) Results of this experiment shown that IIEE was helpful for safeguarding the replenish water quality of UWs in both SRW-I and SRW-II. In 15 d experiment, removal rates of TP, TN, CODCr, Chl-a, turbidity reached 84.05%, 94.76%, 84.87%, 188.17 %, 110.93% when dealing SRW-I and 90.05%, 82.44%, 52.62%, 166.15 %, 202.99% when dealing SRW-II. Combining with our previous studies, the pollutant carrying, self-purifying and eutrophication preventing capacity of a UW would be reinforced by IIEE.
2) In the presence of IIEE, different R-inc and S-inc of C. alternifolius and P. crispus proved that IIEE provides aquatic plant appropriate growing environment and beautifys the UWs. Thus the emerged plant could carry out its nutrients purification functions continuously, and the submerged macrophytes could reach its photosynthetic light compensation point more easily within LB. The eco-functions of submerged plants could then be well performed.
3) In short, though in finite time and space, this experiments still have differences with actual UWs; The IIEE provides promising ecological technology for UW replenish water purification, remediation and eco- restoration. With the vigorous and stable aquatic ecosystem that IIEE contributes, the UW scenery and the quality of travel destinations or living areas would be improved.
References
[1] BULUT Z, YILMAZ H. Determination of waterscape beauties through visual quality assessment method [J]. Environmental Monitoring and Assessment, 2009, 154(1/2/3/4): 459-468.
[2] ZHU Ling-yu, LI Yong-kui. A preliminary analysis of the waterscape in face of the shortage of water [J]. Procedia Engineering, 2011, 21: 693-699.
[3] SAKICI C. Assessing landscape perceptions of urban waterscapes [J]. Anthropologist, 2015, 21(1/2): 182-196.
[4] HALL C M. Crisis events in tourism: Subjects of crisis in tourism [J]. Current Issues in Tourism, 2010, 13(5): 401-417.
[5]
S, PEETERS P, HALL C M, CERON J P, DUBOIS G, LEHMANN L V, SCOTT D. Tourism and water use: Supply, demand, and security. An international review [J]. Tourism Management, 2012, 33(1): 1-15.
[6] CUI Fang, YUAN Bo, WANG Ying. Constructed wetland as an alternative solution to maintain urban landscape lake water quality: Trial of Xing-Qing Lake in Xi’an City [J]. Procedia Environmental Sciences, 2011, 10: 2525-2532.
[7] FANG Jing-jing, ZHOU Ai-guo, MA Chuan-ming, LIU Cun-fu, CAI He-sheng, GAN Yi-qun, LIU Yun-de. Evaluation of nitrate source in groundwater of southern part of North China Plain based on multi-isotope [J]. Journal of Central South University, 2015, 22(2): 610-618.
[8] WHITE M, SMITH A, HUMPHRYES K, PAHL S, SNELLING D, DEPLEDGE M. Blue space: The importance of water for preference, effect, and restorativeness ratings of natural and built scenes [J]. Journal of Environmental Psychology, 2010, 30(4): 482-493.
[9] ZHAO Wen-yu, YANG Guang-wen, CHEN Xiao-xing, YU Jun-yi, MA Bei-kong. Study on integrated restoration technique for eutrophic artificial lakes [J]. Advanced Materials Research, 2013, 807: 1304-1310.
[10] LAPOINTE B E, HERREN L W, DEBORTOLI D D, VOGEL M A. Evidence of sewage-driven eutrophication and harmful algal blooms in Florida's Indian River Lagoon [J]. Harmful Algae, 2015, 43: 82-102.
[11] YI Li-li, JIAO Wen-tao, CHEN Xiao-ning, CHEN Wei-ping. An overview of reclaimed water reuse in China [J]. Journal of Environmental Sciences, 2011, 23(10): 1585-1593.
[12] State Environmental Protection Administration of China. Monitoring and analytic methods of water and wastewater [M]. 4th ed. Beijing: China Environmental Science Press, 2002. (in Chinese)
[13] WANG Xia, LV Xian-guo, BAI Shu-ying, ZHANG Zhu-qing, YAN Bai-ru, YU Li, ZHANG Xue-lin, ZHANG Li-xian. Probability and threshold values for recognizing eutrophication in Lake Songhua [J]. Acta Ecologica Sinica, 2006, 26(12): 3989-3997. (in Chinese)
[14] SOLHEIM A L, REKOLAINEN S, MOE S J, CARVALHO L, PHILLIPS G, PTACNIK R, PENNING W E, TOTH L G, O’TOOLE C, SCHARTAU A K L. Ecological threshold responses in European lakes and their applicability for the water framework directive (WFD) implementation: Synthesis of lakes results from the REBECCA project [J]. Aquatic Ecology, 2008, 42(2): 317-334.
[15] YANG Long, WANG Xiao-yan, WANG Zi-jian, WU Zai-xing, WU Jing. A eutrophication risk assessment system based on phosphorus threshold [J]. China Environmental Science, 2010, 30(Suppl): 29-34. (in Chinese)
[16] HADWEN W L. Lake tourism: An integrated approach to lacustrine tourism systems [J]. Annals of Tourism Research, 2007, 34(2): 555-556.
[17] BARKO J W, JAMES W F. Effects of submerged aquatic macrophytes on nutrient dynamics, sedimentation, and resuspension [M]. New York: Springer, 1998.
[18] GEEST G J V, WOLTERS H, ROOZEN F C J M, COOPS H, ROIJACKERS R M M, BUIJSE A D, SCHEFFER M. Water-level fluctuations affect macrophyte richness in floodplain lakes [J]. Hydrobiologia, 2005, 539(1): 239-248.
[19] ZHU Zhi-lin, LIU Yun-guo, ZHANG Ping-yang, ZENG Guang-ming, HU Xi, LI Hua-ying, GUO Yi-ming, GUO Xing-rong. Co-culture with Cyperus alternifolius induces physiological and biochemical inhibitory effects in Microcystis aeruginosa [J]. Biochemical Systematics and Ecology, 2014, 56: 118-124.
[20] GUO Yi-ming, LIU Yun-guo, ZENG Guang-ming, HU Xin-jiang, LI Xin, HUANG Da-wei, LIU Yun-qin, YIN Yi-cheng. A restoration-promoting integrated floating bed and its experimental performance in eutrophication remediation [J]. Journal of Environmental Sciences, 2014, 26(5): 1090-1098.
[21] WILLIAM R B III, RELYEA R A. A new mechanism of macrophyte mitigation: How submerged plants reduce malathion’s acute toxicity to aquatic animals [J]. Chemosphere, 2014, 108: 405-410.
[22] KARATAYEV A Y, BURLAKOVA L E, PADILLA D K. Invasive aquatic species of europe (impacts of zebra mussels on aquatic communities and their role as ecosystem engineers) [M]. Netherlands: Kluwer Academic Publishers, 2002.
[23] CHUA L H C, TAN S B K, SIM C H, GOYAL M K. Treatment of baseflow from an urban catchment by a floating wetland system [J]. Ecological Engineering, 2012, 49(12): 170-180.
[24] WANG Hong-bo, LI Mei, ZHANG Ke-feng, WANG Cui-yan. Study on in-situ repair technology for different water quality scenic water body [J]. Energy Procedia, 2011, 5(22): 482-486.
[25] LI Xian-ning, SONG Hai-liang, LI Wei, LU Xi-wu, NISHIMURA O. An integrated ecological floating-bed employing plant, freshwater clam and biofilm carrier for purification of eutrophic water [J]. Ecological Engineering. 2010, 36(4): 382-390.
[26] STEVENS Q. Artificial waterfronts [J]. Urban Design International, 2009, 14(1): 3-21.
[27] FOREST B, FOREST P. Engineering the North American waterscape: The high modernist mapping of continental water transfer projects [J]. Political Geography, 2012, 31(3): 167-183.
[28] WU Yong-hong, ZHANG Shan-qing, ZHAO Hui-jun, YANG Lin-zhang. Environmentally benign periphyton bioreactors for controlling cyanobacterial growth [J]. Bioresource Technology, 2010, 101(24): 9681-9687.
[29] LIU Wen-wu, WANG Xiu-ping, TU Xue-yan, WANG Chang-yong. Treatment of pretreated coking wastewater by flocculation, alkali out, air stripping, and three-dimensional electrocatalytic oxidation with parallel plate electrodes [J]. Environmental Science & Pollution Research, 2014, 21(19): 11457-11468.
[30] BERNARD O, MOND B R. Validation of a simple model accounting for light and temperature effect on microalgal growth [J]. Bioresource Technology, 2012, 123: 520-527.
[31] PICARD C R, FRASER L H, STEER D. The interacting effects of temperature and plant community type on nutrient removal in wetland microcosms [J]. Bioresource Technology, 2005, 96(9): 1039-1047.
[32] FU Wei, YE Jian-feng, GU Hong, HE Xiao-chu. Analysis on accumulation and transformation of organic matter in vertical-flow constructed wetlands [J]. Environmental Pollution & Control, 2010, 32(3): 55-59. (in Chinese)
[33] SAEED T, SUN Guang-zhi. A comparative study on the removal of nutrients and organic matter in wetland reactors employing organic media [J]. Chemical Engineering Journal, 2011, 171(2): 439-447.
[34] YANG Meng-juan, LIN Jian-wei, ZHAN Yan-hui, ZHU Zhi-liang, ZHANG Hong-hua. Immobilization of phosphorus from water and sediment using zirconium-modified zeolites [J]. Environmental Science and Pollution Research, 2015, 22(5): 3606-3619.
[35] INSEL G, EROL S,
S. Effect of simultaneous nitrification and denitrification on nitrogen removal performance and filamentous microorganism diversity of a full-scale MBR plant [J]. Bioprocess and Biosystems Engineering, 2014, 37(11): 2163-2173.
[36] GUPTA V K, SADEGH H, YARI M, SHAHRYARI G R, MAAZINEJAD B, CHAHARDORI M. Removal of ammonium ions from wastewater: A short review in development of efficient methods [J]. Global Journal of Environmental Science and Management, 2015, 1(2): 149-158.
[37] FENG Yan, YU Yan-zhen, QIU Li-ping, FENG Sheng, ZHANG Jian-wei. Domestic wastewater treatment using biological aerated filtration system with modified zeolite as biofilm support [J]. Desalination and Water Treatment, 2014, 52(25/26/27): 5021-5030.
[38] GREGOR J,
L B. Freshwater phytoplankton quantification by chlorophyll a: A comparative study of in vitro, in vivo and in situ methods [J]. Water Research, 2004, 38(3): 517-522.
[39] LI Fei, MAO Wen-juan, LI Xue, WANG Xiao-yu, XIAO Zhi-hua, ZHOU Yao-yu, ZENG Guang-ming. Characterization of microcystis aeruginosa immobilized in complex of PVA and sodium alginate and its application on phosphorous removal in wastewater [J]. Journal of Central South University, 2015, 22(1): 95-102.
[40] BABA A, OLOWOYEYE O A. The hydrochemistry of Angwan Mallam and environs (PART OF KEFFI SHEET 208 NE) [J]. Journal of Applied Sciences and Environmental Management, 2013, 15(4): 675-680.
[41] KIMBELL H S, MORRELL L J. Turbidity influences individual and group level responses to predation in guppies, Poecilia reticulata [J]. Animal Behaviour, 2015, 103: 179-185.
[42] BAIJNATH H. A study of Cyperus alternifolius L., sens. lat. (Cyperaceae) [J]. Kew Bulletin, 1975, 30(3): 521-526.
[43] ZHU Si-xi, GE Han-liang, GE Ying, CAO Hai-qin, LIU Dong, CHANG Jie, ZHANG Chong-bang, GU Bao-jing, CHANG Scott-X. Effects of plant diversity on biomass production and substrate nitrogen in a subsurface vertical flow constructed wetland [J]. Ecological Engineering, 2010, 36(10): 1307-1313.
[44] SHEN Qiu-shi, ZHOU Qi-lin, SHANG Jing-ge, SHAO Shi-guang, ZHANG Lei, FAN Cheng-xin. Beyond hypoxia: Occurrence and characteristics of black blooms due to the decomposition of the submerged plant Potamogeton crispus in a shallow lake [J]. Journal of Environmental Sciences, 2014, 26(2): 281-288.
[45] CHEN Wang-ke, BAO Jie, NI Xi-yuan, DAI Ji-hong, YU Ye-hui, JIANG Hong-bo. Effects of temperature and sudden change on oxygen consumption rate, ammonia excretion rate and asphyxiation point of loach (Misgurnus anguillicaudatus) [J]. Journal of Shenyang Agricultural University, 2014, 45(6): 741-745. (in Chinese)
(Edited by YANG Hua)
Foundation item: Project(2016M590348) supported by China Postdoctoral Science Foundation; Projects(41301154, 41271332) supported by the National Natural Science Foundation of China
Received date: 2016-04-28; Accepted date: 2016-08-08
Corresponding author: GUO Yi-ming, PhD; Tel: +86-21-38282442; E-mail: ymguo@shmtu.edu.cn