Flow behavior and constitutive description of 20CrMnTi steel at high temperature
来源期刊:中南大学学报(英文版)2018年第5期
论文作者:赵新海 刘丹丹 吴向红 刘广荣 陈良
文章页码:1013 - 1024
Key words:20CrMnTi; constitutive equation; Arrhenius-type model; hot deformation
Abstract: In order to research the flow behavior of 20CrMnTi and obtain its constitutive equation, the isothermal compression tests of 20CrMnTi were carried out using the Gleeble–3500 thermo-simulation machine, up to a 60% height reduction of the sample at strain rate range from 0.01 s–1 to 10 s–1 and deformation temperature range from 1123 K to 1273 K. According to the experimental results, the constitutive equation of 20CrMnTi was established based on Arrhenius model. In addition, the compensation of strain was taken into account and a new method of modifying the constitutive equation was proposed by introducing a coefficient K related to the deformation temperature and stain rate, which effectively improved the prediction accuracy of the developed constitutive equation. The results show that the flow stress decreases with increasing deformation temperature and decreasing strain rate, and the proposed constitutive equation well predicts the flow stress of 20CrMnTi during the high temperature deformation.
Cite this article as: ZHAO Xin-hai, LIU Dan-dan, WU Xiang-hong, LIU Guang-rong, CHEN Liang. Flow behavior and constitutive description of 20CrMnTi steel at high temperature [J]. Journal of Central South University, 2018, 25(5): 1013–1024. DOI: https://doi.org/10.1007/s11771-018-3801-0.
J. Cent. South Univ. (2018) 25: 1013-1024
DOI: https://doi.org/10.1007/s11771-018-3801-0
ZHAO Xin-hai(赵新海)1, 2, LIU Dan-dan(刘丹丹)1, WU Xiang-hong(吴向红)1,LIU Guang-rong(刘广荣)3, CHEN Liang(陈良)1, 2
1. Key Laboratory of Liquid–Solid Structural Evolution & Processing of Materials of Ministry of Education, Shandong University, Jinan 250061, China;
2. State Key Laboratory of Materials Processing and Die and Mould Technology, Huazhong University of Science and Technology, Wuhan 430074, China;
3. School of Civil Engineering, Shandong University, Jinan 250061, China
Central South University Press and Springer-Verlag GmbH Germany, part of Springer Nature 2018
Abstract: In order to research the flow behavior of 20CrMnTi and obtain its constitutive equation, the isothermal compression tests of 20CrMnTi were carried out using the Gleeble–3500 thermo-simulation machine, up to a 60% height reduction of the sample at strain rate range from 0.01 s–1 to 10 s–1 and deformation temperature range from 1123 K to 1273 K. According to the experimental results, the constitutive equation of 20CrMnTi was established based on Arrhenius model. In addition, the compensation of strain was taken into account and a new method of modifying the constitutive equation was proposed by introducing a coefficient K related to the deformation temperature and stain rate, which effectively improved the prediction accuracy of the developed constitutive equation. The results show that the flow stress decreases with increasing deformation temperature and decreasing strain rate, and the proposed constitutive equation well predicts the flow stress of 20CrMnTi during the high temperature deformation.
Key words: 20CrMnTi; constitutive equation; Arrhenius-type model; hot deformation
Cite this article as: ZHAO Xin-hai, LIU Dan-dan, WU Xiang-hong, LIU Guang-rong, CHEN Liang. Flow behavior and constitutive description of 20CrMnTi steel at high temperature [J]. Journal of Central South University, 2018, 25(5): 1013–1024. DOI: https://doi.org/10.1007/s11771-018-3801-0.
1 Introduction
20CrMnTi is a type of carburizing steel with superior performance. The addition of alloying elements such as chromium, manganese, titanium, vanadium effectively refines the grain and improves the harden ability of 20CrMnTi. Generally, 20CrMnTi has been widely used to manufacture structural components such as gear, ring gear, gear shaft cross. In recent years, with the rapid development of the gear precision forging process, many researchers have devoted their efforts to the studies of plastic deformation of 20CrMnTi.
DENG et al [1] optimized the cold rotary forging of a 20CrMnTi alloy spur bevel gear by means of DEFORM-3D in order to achieve a better filling of gear shape and lower forming load. LV et al [2] analyzed the effect of severe shot peening combined with laser melting on the fatigue resistance of 20CrMiTi steel gears in comparison with the traditional shot peening. HAN et al [3] numerically investigated the plastic deformation behavior and mechanical properties of the rolled rings of 20CrMnTi alloy in combination with radial and axial ring rolling. ZHAO et al [4] studied the isothermal forging process of a 20CrMnTi alloy spur bevel gear and the optimal parameters were obtained by FEM simulation. As mentioned above, a number of researchers have studied the plastic behavior and material properties of 20CrMnTi under different forming processes by experimental and simulated methods. However, there is still no report on the constitutive modeling of 20CrMnTi, and this alloy has not been included into the materials database for some numerical software such as DEFORM. For the numerical simulation, the accuracy of materials constitutive model has a great influence on the reliability of the simulated results [5]. Meanwhile, the material properties are of utmost importance for productivity and reliability of processing [6]. Therefore, it is of great significance to study the hot deformation behavior and develop the constitutive equation of 20CrMnTi.
In the past few years, many constitutive models have been proposed to predict the flow stress of materials at high temperature, including the phenomenological, physics-based and artificial neural network (ANN] models [7–11]. Among these models, the phenomenological model provides a definition of the flow stress based on empirical observation. The notable feature of phenomenological model is that the number of material constants is reduced and the required experiments can be carried out easily [12]. The physics-based model accounts for the physical aspects of material behavior. Compared with the phenomenological model, the physics-based model provides more accurate flow stress under wide ranges of strain rate and temperature. However, it requires more physical assumptions and more accurate experimental results in order to calculate large amount of material constants. For ANN model, it is a method using the regression analysis with the experimental results based on phenomenological or physics-based models to obtain the material constants. In the present study, the experiments were carried out by Gleeble–3500 involving limited ranges of temperature and strain rate, and the phenomenological constitutive model was chosen to develop the constitutive equation of 20CrMnTi considering the notable advantages of this model.
Among the phenomenological constitutive models, the Arrhenius model [13] proposed by SELLARS and MCTEGART is one of the most well-known and widely used models. This model has been widely used to predict the flow stress of variable metals and alloys, such as aluminum alloys [14, 15], V–5Cr–5Ti [16], NiTi shape memory alloy [17], Sanicro-28 super-austenitic stainless steel [18], Mg–Zn–Y–Zr alloy [19] and Ni60–Ti40 [20]. These mentioned reports reflect that the Arrhenius-type model can precisely describe the relationship between the flow stress, strain rate, and temperatures, especially at high temperature.
In this work, the hot deformation behavior of 20CrMnTi steel at high temperature was studied by the isothermal compression tests and the constitutive equation was developed. The experiments were performed using the Gleeble– 3500 device, up to a 60% height reduction of the sample with strain rates ranging from 0.01 s–1 to 10 s–1 and deformation temperatures ranging from 1123 K to 1273 K. The constitutive equation was developed based on Arrhenius model and Zener–Hollomon parameter. In order to improve the prediction accuracy of the constitutive equation, the strain was considered and a coefficient K related to the temperature and strain rate was proposed in this study. Finally, the predictability of the developed constitutive equation was verified by comparing the predicted stress–strain curves with the experimental curves and calculating the average absolute relative error (AARE) and correlation coefficient (R).
2 Materials and experiments procedure
The material used in this study was 20CrMnTi, and the chemical composition of this alloy is listed in Table 1.
The isothermal compression experiment was carried out using Gleeble–3500 thermal simulation testing machine at the deformation temperature range of 1123 K to 1273 K with an interval of 50 K, and at the strain rates of 0.01, 0.1, 1 and 10 s–1. The specimens for uniaxial compression testing are cylinders with diameter of 8 mm and height of 10 mm in accordance with ASTM E209 [21]. In order to minimize the friction during deformation, graphite mixed with machine oil was used between platens and specimens.
Table 1 Chemical composition of 20CrMnTi steel used in experiment (mass fraction, %)
The detailed isothermal compression test process is shown in Figure 1 [22]. Firstly, the specimens were heated to 1473 K at a heating rate of 10 K/s and held at that temperature for 5 min by thermo-coupled feedback-controlled AC current. Then, each sample was cooled to the deformation temperature at the rate of 10 K/s and held for 60 s to remove the inner temperature gradient. All compression tests corresponding to a height reduction of 60% were conducted at the deformation temperatures (1123, 1173, 1223,1273 K) and at the strain rates (0.01, 0.1, 1, 10 s–1). After the deformation, the hot specimens were water quenched to preserve the hot deformed microstructure.
Figure 1 Process flowchart of compression test
All the specimens used for metallographic analysis were cut along the compression axis, following by inlaying, grinding, and then etching in a hot solution of saturated picric acid mixed a few drops of detergent. Microstructure observation of deformed specimens was performed by optical microscope (OM) and grain size was measured using circular intercept procedures in accordance with ASTM: E 112-12 [23].
3 Results and discussion
The typical true stress–true strain curves obtained from hot compression tests are presented in Figure 2. It can be seen that all the curves exhibit a peak stress at the strain close to 0.2 after the stress increases sharply due to the effect of work hardening. Then, for high strain rates (Figures 2(a) and (b)), the flow stress enters the steady state, which should be attributed to a balance of work hardening and softening caused by dynamic recovery (DRV). However, in the other cases (Figures 2(c) and (d)), a perceptible drop in flow stress is observed after the peak stress, which is caused by the occurrence of dynamic recrystallization (DRX) [24, 25]. As the strain increases continuously, the flow stress tends to a steady state, in which a new balance of strain hardening and dynamic recrystallization softening is established [26].
Generally, as shown in Figure 2, the flow stress decreases with the increase of deformation temperature. This kind of phenomenon is related to the dislocation motion, and it can be interpreted that the activity of the dislocations and vacancies, as well as the opportunity of dislocation climb and cross-slip also increases with the increase of deformation temperature. At the same time, material thermal activation, average kinetic energy of the metal atoms and the amplitude of vibration of the atoms increase with increasing temperature, which also leads to the decrease of the flow stress. On the other hand, the true stress level increases with increasing strain rate at certain deformation temperature, which indicates that 20CrMnTi is a type of material that has positive strain rate sensitivity [27].
Figure 3 gives the microstructures along the longitudinal section of the samples deformed at (1123 K, 10 s–1), (1273 K, 10 s–1). As is seen in Figure 3, when the strain rate is 10 s–1, the initial grains are elongated perpendicular to the deformation direction and there are no DRX grains. However, at lower strain rates, it is observed that some new recrystallized grains have been formed in the deformed specimens. Deformation at lower temperature and higher strain rate, as shown in Figure 4(a), stores more deformation energies in the deformed microstructure, which will make dislocation generation rate and the dislocation density increase in the deformed grains [28], and produce fine grain size. With the increasing of deformation temperature and the decreasing of strain rate, grain growth is observed in Figures 4(b)–(d).
Figure 2 True stress–strain curves for 20CrMnTi with various deformation temperatures and at strain rates
Figure 3 Microstructures of specimens after experiment at 1123 K, 10 s–1 (a) and 1273 K, 10 s–1 (b)
4 Modeling of constitutive equation
The Arrhenius model is related to the activation energy of hot deformation and the temperature, and it can be mathematically expressed as:
(1)
(2)
(3)
where is the strain rate; s is the flow stress; Q is the activation energy of hot deformation; R is the universal gas constant; T is the absolute temperature; and A1, A2, n1, b and a are the material constants. Equation (1) is suitable for low stress level where as<0.8 and Eq. (2) is preferred for high stress level where as>1.2. Meanwhile, the hyperbolic sine equation of Eq. (3) is widely employed for a wide range of stresses [29], and the material constant of a can be calculated by b/n1.
Figure 4 Microstructures of specimens after experiment at 1123 K, 1 s–1 (a), 1273 K, 1 s–1 (b), 1123 K, 0.01 s–1 (c),1273 K, 0.01 s–1 (d)
In addition, the effects of the temperature and strain rate on the deformation behavior can be represented by Zener–Hollomon parameter in an exponent-typed equation [30].
(4)
The hyperbolic law in Arrhenius model well describes the stress feature under different strains, strain rates and temperatures. In addition, the hyperbolic law in Arrhenius model gives better approximation between Zener–Hollomon parameter and flow stress [30–33]. Therefore, this study aims to develop the constitutive equation of 20CrMnTi based on Arrhenius model and Zener–Hollomon parameter.
4.1 Determination of material constants for constitutive equation
The flow stress at the strain rates ranging from 0.01 s–1 to 10 s–1 and deformation temperatures ranging from 1123 K to 1273 K were employed to calculate the material constants of the Arrhenius model. The detailed calculation method is explained as follows.
Taking the logarithm on both sides of Eqs. (1) and (2) respectively, and the following equations were obtained:
(5)
(6)
From the above two equations, it can be seen that n1 and β are the slopes of Eqs. (5) and (6) respectively. Thus, taking lns as the x-axis and ln as the y-axis, four lines with different temperatures can be obtained by substituting the values of the strain rate and corresponding flow stress under the strain of 0.2, as shown in Figure 5(a). The value of n1 can be determined by averaging the four slopes of lines in the lns–ln
plot. In a similar way, β can be determined from the four slopes of lines in the s–ln
plot (Figure 5(b)). The mean values of n1 and β were calculated as 8.6761 and 0.0743, respectively, and α=β/n1=0.008564.
The next step is taking the natural logarithm on both sides of Eq. (4), and the following equation is derived:
(7)
Assuming that the temperature is constant, the partial derivative for Eq. (7) is given as:
(8)
Further, when is considered a constant, the partial derivative for Eq. (7) gives:
(9)
Based on Eqs. (8) and (9), Q can be expressed as follows:
(10)
The value of n can be calculated from the four slops of lines in plot, which was calculated as 6.44 (Figure 5(c)), and the value of Rn can be derived by averaging the four slopes of lines in plotting
against 1/T at different strain rates, which was obtained as 6991.6(Figure 5(d)). Then, the value of Q can be determined from Eq. (10) directly as 374.3376 kJ/mol.
For the last parameter A, seen from Eq. (7), it can be derived from the intercept of four lines in
plot, which was calculated as 1.82 s–1.
4.2 Compensation of strain
As well known, the constitutive equation is a mathematical model that reflects the relationship of strain, strain rate, temperature and the flow stress of the material during hot deformation. It is obvious that the strain has an apparent influence on the deformation activation energy and material constants. Therefore, the compensation of strain should be taken into account in order to improve the ability of the prediction accuracy of constitutive equation. Thus, the material constants are assumed to be the polynomial function of the strain [14], as expressed as:
(11)
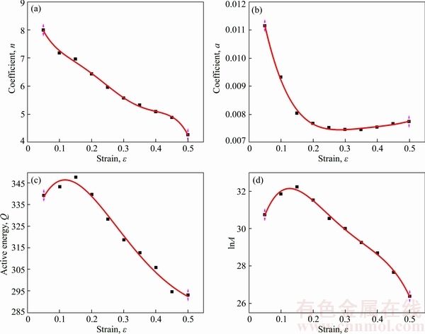
The values of the material constants were calculated at various strains ranging from 0.05 to 0.5 with the interval of 0.05. These values are used for fitting polynomial expressions of material constant and strain. The curve obtained by fitting is shown in Figure 6 and the fitting polynomial constants are listed in Table 2.
Figure 5 Relationships of lns–ln(a), s–ln
(b), ln[sinh(as)]–ln
(c) and 1/T–ln[sinh(as)](d)
Once the relationships between material constants and the true strain are obtained, the flow stress in specific strain can be calculated according to Eq.(12).
Figure 6 Variations of material constants of n (a), a (b), Q (c) and lnA (d) with strain for 20CrMnTi
Table 2 Polynomial fitting results for 20CrMnTi
(12)
4.3 Modification of developed constitutive equation
Using the above developed constitutive equation (Eq. (12)), the predicted flow stress can be obtained. The comparison between experimental and predicted values under different temperatures and strain rates is shown in Figure 7. It can be seen from Figure 7(c) that the predicted flow stress of 20CrMnTi shows a good agreement with the experimental results at the strain rate of 0.1 s-1. Additionally, it can be seen from Figure 7(a) that the calculated values are higher than the experimental values at the stain rate of 10 s-1. Figures 7(b) and (d) indicate that the calculated values are lower than the experimental values in different degrees at the strain rates of 1 and 0.01 s-1.Thus, in order to improve the prediction accuracy, the developed constitutive equation should be modified. It has been reported that SCHOTTEN et al [34] improved the model description by implementing a new parameter. YIN [35], LIN [36] and PENG [37] utilized a revised Zener–Hollomon parameter to modify the constitutive equation and these modified results are closely consistent to the experimental values. However, in this study, it can be observed that the predicted results have a significant deviation from the experimental results at all temperatures under the strain rate of 1 s-1. Thus, a new method should be proposed to correct the constitutive equation of 20CrMnTi.
Although the deviation between experimental values and predicted values is different, the trend of predicted values has a good agreement with the trend of the experimental values under all temperatures and strain rates. Thus, a parameter K can be introduced to represent the value of experimental value divided by predicted value. Giving that the parameter K is related to the temperature and strain rate, K can be described as a function of T and namely
The next step is to calculate all average values of K under all temperatures and strain rates and to determine the function
is shown in Eq. (13), the coefficients of which are given in Table 3.
Figure 7 Comparisons between calculated and experimental flow stresses of 20CrMnTi at strain rates
(13)
Table 3 Coefficients value of equation K(T)
From the above discussion, the modified constitutive equation can be expressed as follows:
(14)
Substituting the value of temperature, strain rate and strain into the modified constitutive equation, the corresponding flow stress can be calculated, and the comparison between predicted and experimental values is shown in Figure 8. It is obvious that the predicted results are in a good agreement with the experimental values, which reflects that the proposed is effective to modify the constitutive equation.
4.4 Verification of modified constitutive equation
In order to further evaluate the accuracy of the constitutive equation, the standard statistical parameters such as correlation coefficient (R) and average absolute relative error(AARE) were calculated in this study. These statistical parameters are defined as follows:
(15)
(16)
Figure 8 Comparisons between predicted (modified constitutive equation) and experimental flow stresses of 20CrMnTi at strain rates
where Ei is the experimental flow stress and Pi is the predicted flow stress obtained from the modified constitutive equation; and
are the mean values of Ei and Pi respectively; N is the total number of data used in this study; R represents the strength of the linear relationship between the experimental and predicted values. Since it is possible that the constitutive equation can be biased towards higher or lower value, the high value of R may not depict a better correlation. Therefore, AARE as an unbiased statistical parameter for measuring the predictability of an equation model, should also be calculated through a term by term comparison of the relative error [38, 39].
Meanwhile, Figures 9(a) and (b) give the plots of correlation between experimental and predicted flow stress before and after modifying the constitutive equation, respectively. From this figure, it could be seen that the constitutive equation modified by introducing a coefficient K related to the temperature and stain rate shows much higher accuracy at high temperature than the one before the modification. In addition, the R value was calculated to be as high as 0.994 and the value of AARE was found to be only 3.2548% after the modification. High value of R and low value of AARE indicate that the calculated flow stress using the modified constitutive equation has a good agreement with the experimental value. From the above discussion, it can be concluded that the established constitutive equation well predicts the flow behavior under limited ranges of temperature and strain rate within the parameter of analysis.
Figure 9 Correlation between experimental and predicted flow stress values from developed constitutive equation before modification (a) and after modification (b)
5 Conclusions
In this paper, the isothermal compression tests were carried out to study the flow behavior of 20CrMnTi. The following conclusions can be drawn:
1) The flow stress of 20CrMnTi decreases with increasing deformation temperature and decreasing strain rate during hot deformation.
2) The developed constitutive equation based on Arrhenius model and the Zener–Hollomon parameter indicates that the experimental flow stress can be roughly predicted, but the deviations between predicted and experimental values can still be observed.
3) A new method of modifying the constitutive model was proposed by introducing a coefficient K related to the temperature and stain rate, which effectively improved the prediction accuracy of the developed constitutive equation.
4) The correlation coefficient(R) and average absolute relative error (AARE) were 0.994 and 3.2548% respectively, which reflects that the modified constitutive equation well predicts the flow stress of 20CrMnTi during high temperature deformation.
References
[1] DENG Xiao-bin, HUA Lin, HAN Xing-hui, SONG Yan-li. Numerical and experimental investigation of cold rotary forging of a 20CrMnTi alloy spur bevel gear [J]. Material and Design, 2011, 32: 1376–1389.
[2] LV You, LEI Li-qun, SUN Li-na. Influence of different combined severe shot peening and laser surface melting treatments on the fatigue performance of 20CrMnTi steel gear [J]. Materials Science and Engineering A, 2016, 658: 77–85.
[3] HAN Xing-hui, HUA Lin. Plastic deformation behaviors and mechanical properties of rolled rings of 20CrMnTi alloy in combined radial and axial ring rolling [J]. Material and Design, 2014, 58: 508–517.
[4] ZHAO Xin-hai, LIU Dan-dan, WANG Xing-hui, WU Xiang-hong. Optimization of the isothermal forging process of a spur bevel gear [J]. Materials Science Forum, 2017, 878: 28–32.
[5] BUCHKREMER S, WU B, LUNG D, BLECK W. FE-simulation of machining processes with a new material model [J]. Journal of Materials Processing Technology, 2014, 214(3): 599–611.
[6] SCHMITZ G, PRAHL U. Toward a virtual platform for materials processing [J]. The Journal of the Minerals, Metals & Materials Society (TMS), 2009, 61(5): 19–23.
[7] QIAN Dong-sheng, PENG Ya-ya, DENG Jia-dong. Hot deformation behavior and constituive modeling of Q345E alloy steel under hot compression [J]. Journal of Central South University, 2017, 24: 284–295.
[8] LIN You-cheng, CHEN Xiao-min. A critical review of experimental results and constitutive descriptions for metals and alloys in hot working [J]. Material and Design, 2011, 32: 1733–1759.
[9] RUSINEK A, RODRIGUEZ J A, ARIAS A. A thermo- viscoplastic constitutive model for FCC metals with application to OFHC copper [J]. International Journal of Mechanical Sciences, 2010, 52: 120–135.
[10] SHIN Hyun-ho, KIM Jong-bong. A phenomenological constitutive equation to describe various flow stress behaviors of materials in wide strain rate and temperature regimes [J]. Journal of Engineering Materials Technology, 2010, 132: 1–6.
[11] YAN Jie, PAN Qing-lin, ZHANG Xiang-kai, SUN Xue. Characterization of hot deformation behavior of Al-Zn-Mg- Mn-Zr alloy during compression at elevated temperature [J]. Journal of Central South University, 2017, 24: 515–520.
[12] ALIREZA A B, ABBAS Z H, HASSAN P N, HAGHDADI. A comparative study on the capability of Johnson-Cook and Arrhenius-type constitutive equations to describe the flow behavior of Mg-6Al-1Zn alloy [J]. Mechanics of Materials, 2014, 72: 52–61.
[13] SELLAR C M, TEGART W J. On the mechanism of hot deformation [J]. Acta Metallurgica, 1966, 14(9): 1136–1138.
[14] CHEN Liang, ZHAO Guo-qun, YU Jun-quan. Hot deformation behavior and constitutive modeling of homogenized 6026 aluminum alloy [J]. Material and Design, 2015, 74: 25–35.
[15] CHEN Liang, ZHAO Guo-qun, YU Jun-quan, ZHANG Wen-dong. Constitutive analysis of homogenized 7005 aluminum alloy at evaluated temperature for extrusion process [J]. Material and Design, 2015, 66: 129–136.
[16] QU F S, REN Z Y, MA R R, WANG Z H, CHEN D M. The research on the constitutive modeling and hot working characteristics of as-cast V-5Cr-5Ti alloy during hot deformation [J]. Journal of Alloys and Compounds, 2016, 663: 552–559.
[17] SHAMSOLHODAEI A, HANZAKI Z, GHAMBARI M, MOEMENI S. The high temperature flow behavior modeling of NiTi shape memory alloy employing phenomenological and physical based constitutive models: A comparative study [J]. Intermetallics, 2014, 53: 140–149.
[18] MIRZAEI A, HANZAKI Z, HAGHDADI N, MARANDI A. Constitutive description of high temperature flow behavior of Sanicro-28 super-austenitic stainless steel [J]. Materials Science and Engineering A, 2014, 589: 76–82.
[19] XIA Xian-sheng, CHEN Qiang, HUANG Shu-hai, LIN Jun, HU Chuan-kai, ZHAO Zu-de. Hot deformation behavior of extruded Mg-Zn-Zr alloy [J]. Journal of Alloys and Compounds, 2015, 644: 308–316.
[20] KHAMEI A A, DEHGHANI K. Modeling the hot- deformation behavior of Ni60-Ti40 intermetallic alloy [J]. Journal of Alloys and Compounds, 2010, 490: 377–381.
[21] ASTM E209. Standard practice for compression tests of metallic materials at elevated temperatures with conventional or rapid heating rates and strain rates [M]// Annual Book of ASTM Standard. West Conshohocken: ASTM International, 2010.
[22] LIN Yong-cheng, CHEN Ming-song, ZHANG Jun. Modeling of flow stress of 42CrMo steel under hot compression [J]. Materials Science and Engineering A, 2009, 499: 88–92.
[23] ASTM: E 112-12. Standard test methods for determining average grain size [M]// Annual Book of ASTM Standard. West Conshohocken: ASTM International, 2012.
[24] MCQUEEN H J. Development of dynamic recrystallization theory [J]. Materials Science and Engineering A, 2004, 387: 203–208.
[25] LI Hui-zhong, WANG Hai-jun, LI Zhou. Flow behavior and processing map of as-cast Mg-10Gd-4.8Y-2Zn-0.6Zr alloy [J]. Materials Science and Engineering A, 2010, 528: 154–160.
[26] WANG L, LIU Feng, ZUO Q, CHEN C F. Prediction of flow stress for N08028 alloy under hot working conditions [J]. Material and Design, 2013, 47: 737–745.
[27] XIAO Yu-de, WANG Wei, LI Wen-xia. High temperature deformation behavior and mechanism of spray deposited A1-Fe-V-Si alloy [J]. Transactions of Nonferrous Metals Society of China, 2007, 17: 1175–1180.
[28] FENG Wei, FU You-heng. High temperature deformation behavior and constitutive modeling for 20CrMnTiH steel [J]. Material and Design, 2014, 57: 461–471.
[29] CAI Zhi-wei, CHEN Fu-xiao, GUO Jun-qin. Constitutive model for elevated temperature flow stress of AZ41M magnesium alloy considering the compensation of strain [J]. Journal of Alloys and Compounds, 2015, 648: 215–222.
[30] FAN Q C, JIANG X Q, ZHOU Z H, JI W, CHAO H Q L. Constitutive relationship and hot deformation behavior of Armco-type pure iron for a wide range of temperature [J]. Material and Design, 2015, 16: 193–203.
[31] ZENER C, HOLLOMOM H. Effect of strain rate upon plastic flow of steel [J]. Journal of Applied Physics, 1944, 15: 22–32.
[32] JONAS J, SELLERS C M, TEGART W J. Strength and structure under hot working conditions [J]. International Materials Reviews, 1969, 14: 1–24.
[33] SHI H, MCLAREN A J, SELLERS C M. Constitutive equations for high temperature flow stress of aluminum alloys [J]. Materials Science and Engineering A, 1997, 13: 210–216.
[34] SCHOTTEN K, WOLFGANG B, WINFRIED D. Modelling of flow curves for hot deformation [J]. Steel Research International, 1998, 69: 193–197.
[35] YIN Fei, HUA Lin, MAO Hua-jie, HAN Xing-hui. Constitutive modeling for flow behavior of GCr15 steel under hot compression experiments [J]. Material and Design, 2013, 43: 393–401.
[36] LIN Yong-cheng, CHEN Ming-song, ZHONG Jue. Constitutive modeling for elevated temperature flow behavior of 42CrMo steel [J]. Computational Materials Science, 2008, 42(3): 470–477.
[37] PENG Xiao-na, GUO Hong-zhen, SHI Zhi-feng, QIN Chun, ZHAO Zhang-long. Constitutive equations for high temperature flow stress of TC4-DT alloy incorporating strain, strain rate and temperature [J]. Material and Design, 2013, 50: 198–206.
[38] LI Hong-yong, HU Ji-dong, WEI Dong-dong, WANG Xiao-feng, LI Yang-hua. Artificial neural network and constitutive equations to predict the hot deformation behavior of modified 2.25Cr-1Mo steel [J]. Material and Design, 2012, 35: 557–562.
[39] WU R H, LIU J T, CHANG H B. Prediction of the flow stress of 0.4C-1.9Cr-1.5Mn-1.0Ni-0.2Mo steel during hot deformation [J]. Journal of Materials Processing Technology, 2011, 116(2): 211–218.
(Edited by YANG Hua)
中文导读
20CrMnTi高温流变行为和本构关系的描述
摘要:为了研究20CrMnTi的高温流变行为,获得其高温状态下的本构方程,在Gleeble–3500热模拟试验机上进行了20CrMnTi的等温压缩试验。试样压缩量为60%,应变速率从0.01 s–1到10 s–1,热变形温度范围为1123 K到1273 K。根据试验结果,基于阿伦尼斯模型建立了20CrMnTi的本构方程。为了进一步提高模型的精度,考虑到应变的影响提出了一种新的建立方法。引入了一个和变形温度和应变速率相关的系数K对模型进行了修正,修正后的模型精度得到有效的提高。根据结果发现,随着变形温度的升高和应变速率的降低,流变应力降低。结果表明:采用新方法建立的本构方程可以有效预测20CrMnTi高温变形的流变应力,提高模拟的精度。
关键词:20CrMnTi;本构方程;Arrhenius模型;热变形
Foundation item: Project(2014JC024) supported by the Interdisciplinary Training Project of Shandong University, China
Received date: 2016-06-02; Accepted date: 2016-12-08
Corresponding author: ZHAO Xin-hai, PhD, Associate Professor; Tel: +86–13658625499; E-mail: xhzhao@sdu.edu.cn; ORCID: 0000- 0003-3765-9442