DOI: 10.11817/j.issn.1672-7207.2017.04.020
基于相关属性的异构数据融合路由策略
李红艳1, 2,刘蓉2,陆翼山3,刘安丰3
(1. 湖南大学 信息科学与工程学院,湖南 长沙,410082;
2. 长沙医学院 计算机系,湖南 长沙,410219;
3. 中南大学 信息科学与工程学院,湖南 长沙,410083)
摘要:提出一种基于属性相关的异构数据融合路由策略使无线传感器网络寿命最大化。该策略的基本内容是:1) 通过将相同属性的感知数据路由到同一个环形路由上,这样可以使不同属性的数据进行充分融合,从而减少数据冗余最小化所需传输数据,节省节点能量;2) 依据无线传感器网络的远Sink能量消耗低、近Sink能量消耗高的特征,将数据融合环形路由建立在远Sink区域,这样充分利用远Sink区域的剩余能量,且同一属性的数据沿环形路由1周,使数据融合达到最大化,从而使需要发送到Sink的数据量极小化。通过模拟与理论分析结果验证策略的有效性。研究结果表明:本文策略是有效的,能极大地提高网络寿命。
关键词:无线传感器网络;多属性环;数据融合;路由;网络寿命
中图分类号:TP393 文献标志码:A 文章编号:1672-7207(2017)04-0996-10
Correlation attributes based heterogeneous data fusion routing scheme
LI Hongyan1, 2, LIU Rong2, LU Yishan3, LIU Anfeng3
(1. College of Computer Science and Electronic Engineering, Hunan University, Changsha 410082, China;
2. Department of Computer, Changsha Medical University, Changsha 410219, China;
3. School of Information Science and Engineering, Central South University, Changsha 410083, China)
Abstract: A correlation attributes based on heterogeneous data fusion routing(CADFR) scheme was proposed to maximize network lifetime for WSNs. The main features of CAFR scheme are as follows. 1) Routes the data with the same attribute to the same ring routing path, so the data fusion can be fully used, the redundancy transmission can be eliminated, and the node’s energy can be saved. 2) Considering the feature of WSNs is that the energy consumption of wireless sensor networks is low near the Sink and high faraway the Sink, the ring routing path is built in far Sink area which can make full use of the surplus energy far Sink region. On the other hand, the data of the same attribute routes a circle along a ring route, which furtherly eliminates redundancy data. Both theoretical computation and simulation were used to verify the effectiveness of the scheme. The results show that the proposed scheme is effective, and can significantly improve the performance of network.
Key words: wireless sensor networks (WSNs); aggregating ring; data aggregate; route; network lifetime
无线传感器网络的数据融合对于提高传感器网络寿命具有重要的意义[1-3]。数据融合是指传感器网络节点之间产生的数据具有相关性甚至完全相同[2, 4-8],因而,每一个节点没有必要都独立地将自己的数据发往Sink。具有相关性的2个数据包在路由过程中相遇,数据融合成1个数据包,这个数据包的大小比2个独立数据包的大小更小。将这个数据包发往Sink,这样就能够减少需要路由的数据量,提高网络寿命,但没有减少Sink接收到数据的信息。在该方法中,最重要的是使具有相关性的数据包在路由过程中能够尽量相遇而使数据融合,而且相遇的数据越多,对提高网络寿命越有利[9-11]。目前,已有数据融合的路由策略有如下几类:1) 随机性的数据融合路由[4-7];2) 汇集性数据融合路由[2, 6];3) 基于汇集环的数据融合路由(aggregation ring based routing, ARR)[2];4) 基于代表节点的数据冗余减少策略[12]。这些策略中存在1个重要假设前提,即网络中所有节点感知的数据都存在一定相关性,因而,这些数据相遇越多越好。但没有考虑到在1个异构网络中,不同的节点甚至同一个节点产生的数据也不能进行数据融合,如节点感知的湿度与声音(振动)之间没有相关性,不能进行数据融合。将这种不同性质的数据称为异构数据。本文提出一种能够进行全局事件信息融合的策略,称为基于相关属性的数据融合路由(correlation attributes based data fusion routing, CADFR)策略。
1 系统模型与问题描述
1.1 网络模型
本文所用的网络模型见文献[2,6, 11],即n个相同属性的传感器被随机部署在1个以Sink(基站)为中心的圆形区域,每单位面积的传感器密度为ρ。每个节点可能配置多个感知器件,不同的感知器件感知的数据是不同质的,如感知的温度与湿度是不同质的数据,不同质的数据被认为相关性很弱,而同质(相同属性)的数据之间相关性较强。每个节点产生数据的速度为λ。
本文采用多跳逐步数据融合模型[7, 11]。在该数据融合模型中,输入源节点si的聚集是按顺序执行的。用φ(si,sj)表示节点si的数据和节点sj的数据进行数据融合(data aggregate)后的结果,数据融合公式为
(1)
式中:
和
为节点产生的原始数据;ci,j为节点si和节点sj数据的相关系数(correlation coefficient)[11],
(2)
di,j为si和sj之间的距离;c为相关系数,当c→0时,ci,j→0,表示没有相关性。若节点si和节点sj的原始数据在融合过程中,只要其中1个数据不是原始数据包,则融合数据的公式为
(3)
其中:ξ为遗忘系数,小于1,如ξ=0.6;φi和
分别为节点i参与数据融合的中间结果和节点j经过处理后的结果。φi与fj中会有1个或者2个都不是原始数据。
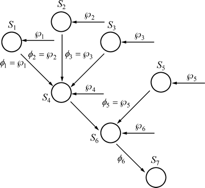
图1所示为数据融合过程的例子。节点s1首先产生原始数据
,与此同时,节点s4产生原始数据
,接着,s1的原始数据将传送至节点s4进行数据融合,据式(1),有



图1 数据融合过程
Fig. 1 Process of data aggregate
接着,由节点s2产生的原始数据传送至s4节点,s4节点的中间数据将会与s2产生的原始数据进行融合,据式(3),有


由节点s3产生的原始数据传送至s4节点,s4节点的中间数据将会与s3产生的原始数据进行融合,据式(3),有


节点s6将会接受到节点s5产生的原始数据,s6与s5产生的原始数据融合公式满足式(1),即


s4的数据传送给s6,即s4的最终数据与s6的中间数据相融合,所用公式满足式(3),即

1.2 能量消耗模型
(4)
≥d0时 (5)
(6)
式中:l为数据量;d为传输距离;Eelec为传输电路的能量损耗;εfs和εamp为上述2种模型中功率要实现放大过程所需要的能量[13-16]。采用经典的能量消耗模型[2, 11, 13-16],数据接收的能量消耗为式(4)和式(5),数据发送为式(6)。根据发射器和接收器之间的距离,在模型中使用自由空间(功率损耗)和多径衰落(功率损耗)信道模型。当传输距离不超过阈值d0时,系统会处于自由空间模型,功率损耗增大(如式(4));若传输距离超过阈值d0或等于阈值d0,则系统会处于多路径衰减模型(如式(5))。网络参数见表1。
表1 网络参数
Table 1 Network paramters

1.3 问题描述
本文的主要目标是要提高网络寿命,也就是尽量减少在每轮数据采集中最大能量消耗节点的能量消耗,即
max(T)=max(min0<i≤n(ti))=
式中:ti为第i个节点的网络寿命;E为节点的初始能量;ei为第i个节点在一轮数据收集中的能量消耗。
2 CADFR策略设计
CADFR 策略主要研究目的有:1) 不同属性的数据由于相关性弱,很难进行数据融合,因而,在CADFR策略中,将不同属性的数据分别进行融合,从而使数据充分融合,大大减少节点发送的数据量,提高网络寿命;2) 仅仅将相同属性的数据融合还不能大幅度地提高网络性能,因而,CADFR策略充分利用远Sink区域的剩余能量,在远Sink区域创建不同的环形路由,每个环形路由对应一类属性的数据,将这些数据在能量充裕的区域进行充分融合后再发往Sink,从而大幅度地提高网络寿命。下面分析已有的数据聚集网络中节点承担数据量的情况。
定理1:在一般数据融合的传感器网络中,节点和Sink之间的距离为x,网络进行1次数据收集,节点承担的数据量为
(7)
式中:
;τ为数据包长度;
,
,
,
,
和
为相关系数;ξ为遗忘因子。
证明:距离Sink角度为
,宽度为dx的扇形区域记为Bx,k。取x处且在
角度内的,在Bx,k区域内,因为节点的发送半径为r,故扇形区域Bx+r,k将会把数据传送至Bx,k区域内,即Bx,k接收Bx+r,k的数据。以此向后推算,Bx+2r,k中存储的数据将由Bx+r,k接收,接收后再进行转发,一直到最外层Bx+zr,k中的数据。若数据计算选择的区域较大,则Bx,k要承担的数据量不均匀。所以,要选择非常小的区域,就可以认为在所研究的这个区域中每个节点的数据是相同的,这样就可以对整个区域中的每个数据进行计算。
将Bx,k区域与Sink进行连接,连接两者的连线夹角(弧度)设为dθk,该值很小,连线的宽度dx也很小。Bx,k可以看作是1个扇形,但选取的宽度非常小,即将其视为微积分里面的长方形来计算面积,长度为dθkx,宽度为dx。所以,Bx,k的区域面积为:
。Bx,k区域共有节点数为:
。
用nx表示距离Sink为x的区域内的节点个数。位于x的节点位置其接收到的数据包个数fx为
(8)
设节点产生3种属性,分别为属性A、属性B和属性C。设A与B,A与C及B与C之间的相关系数分别为
,
和
(不同属性间可把
设为0,即无法进行融合)。所有的节点产生的数据包大小都相等,用τ表示,表示环形路由中外区域与Sink距离为x的节点在环形路由w处进行数据融合后得到的数据包的大小。用
表示与Sink距离为x的节点在进行数据包中间阶段聚集时,承担的数据包的大小。与Sink距离为x的节点在这个过程中会接收到x+r的最终数据包
。而位于x处的节点可能为属性A、属性B,也可能为属性C。位于x+r处的节点也可能是属性A、属性B和属性C中的任意值,可能出现的情况导致相关系数可能有
,
,
,
,
和
,它们出现的概率分别1/9
,1/9
,1/9
,2/9
,2/9
和2/9
,

(9)
设
,则
。
剩下fx-1个数据包将到达,因为
>
,所以,对以后到达的数据包进行以下聚合:

(10)
最后得到的总的数据融合数据为

化简为
(11)
所以,可以推得x+r处每个节点的数据融合数据包为

同理可推得
处节点融合的数据包为

(12)
而在
处的节点,接收的是最外层的数据包即原始数据,所以,
(13)
而最外层发送的是原始数据包为
。
2.1 策略概述
CADFR策略的思路是:在传统的聚集策略当中,没有考虑不同类型的数据无法融合的问题,且按照传统的策略中传至Sink时,Sink周围的节点会有大量的数据转发和发送,从而造成近Sink节点的能量消耗过大,所以,CADFR策略改变了以前不考虑不同数据无法融合的情况。节点产生不同属性的数据,而不同的数据将会传送至某一环上,在环上与同时传送到的特定属性数据充分聚合。环形路由成为某个特定属性的数据融合中心,数据同时传送到节点时呈逆时针方向聚合。所以,最后聚合后的数据将沿着最短路由传到Sink节点。
CADFR策略的大致结构如图2所示。假设网络中有3种不同的属性,将整个圆形区域分为3个不同的环形区域,每个环形区域代表某种特定的类型。3个不同的环均有环外区域与环内区域。环外区域指的是离Sink节点比环远的区域,环内节点指的是离Sink比环近的节点。网络根据整个消耗情况来选定环,整个CADFR的步骤如下。

图2 CADFR策略的结构概况图
Fig. 2 Architecture of CADFR scheme
1) 确定环形区域。根据系统的耗能选定环形路由区域,分别选取距离Sink为wA, wB和wC处的环作为属性A、属性B和属性C的聚合环,不同的数据会传送至不同环上进行聚合。
2) 确定汇聚路径。选定某个范围的特定区域为汇聚区域,当数据聚合后传至这个区域时,会根据自己的感知距离来选择汇聚节点,当所有特定数据在该点汇聚时,会将最后汇聚的数据传送到Sink。
3) 数据分类路由。假设Sink在某些节点的通信范围之内,节点将数据直接传送到Sink。若节点产生了属性A的数据,则将根据属性将数据传到A环上。
4) 环上数据聚合。环上数据按逆时针汇聚,最后将汇聚后的数据以最短路径传送到Sink。
2.2 CADFR策略
CADFR策略算法的伪代码见表2。根据表2,特定属性的数据传送到特定的环上进行聚合。环上的节点在接受到数据后将自身的数据与收到的数据进行聚合,接着将聚合后的数据传送至环上的下一节点,最后将所有聚集后的数据传送到汇聚节点,沿着最短路径传到Sink。在算法1中,网络中任意节点的数据到达Sink所经过的最长路径长度由3部分组成;第2环的数据传送到最外环的路径长度,此数据沿环路由1周的路径长度,此数据路由到Sink的路径长度,故其路由长度为
,故其算法复杂度为
。
表2 CADFR策略算法的伪代码
Table 2 Pseudocode of CADFR scheme

3 性能分析与优化
CADFR的策略主要通过将不同属性数据进行分类,将特定属性的数据传至非“能量热区”特定的环形区域进行数据融合,最后将融合后的数据传送至Sink节点,从而降低“能量热区”的能量消耗,提高网络寿命。因为是将数据传送到特定的环上进行聚合,所以,环上的能量消耗较大,环要动态轮换工作才能使网络能量均衡。下面分析不同区域的数据承担量,从而对CADFR策略进行相应优化。
定理2:设属性A,B和C的聚集环距离Sink分别位于wA,wB和wC处,且wA>wB>wC,设相应的特定属性在特定环上进行聚合,对于x≤wA ,x≤wB,x≤wC处的节点的离心路由数据承担量为
(14)
证明:首先,对于数据属性A在x≤wA处节点继承和转发x-ir的数据,设
,
。nx为距离Sink为x区域处的节点数,可得
,
假设在同一时间内,节点只产生属性A,B和C的1种数据,则产生数据为属性A的概率为1/3,可以得出位于x处时每个节点所要接收的数据包个数为
(15)
x处的节点接收到x-r处的节点数据后进行融合操作,聚集后的数据包大小为
,再与接下来的节点进行聚合时,可得
。
而之前没有收到上一跳的节点数据为
。
它们将直接转发自己的数据,所以,平均每个节点发送的数据量为
(16)
化简得

同理,对属性B,有

对属性C,有

当x在C环内时,x<wC可能产生3种离心路由的属性数据,所以,

(17)
当x在B环与C环之间时,wC<x<wB,

(18)
当x在A环与B环之间时,wB<x<wA,
(19)
距离Sink不同位置处数据承担量和能量消耗量分别见图3和图4。从图3与图4可以看出:3个聚集环上的数据与能量要比其他位置的高,这是因为环上进行了数据聚合的主要操作,形成了主要负载,而聚合后的近Sink区域能耗略高于非环的区域能耗,是因为3个属性的数据进行融合后将数据一齐向Sink发送。但总体而言,近Sink区域的能量还是大大降低。
定理3:假设属性A,B和C的聚集环分别位于距离Sink为wA,wB和wC处,wA>wB>wC,相应的特定属性在特定环上进行聚合,对于x≥wA,x≥wB,x≥wC处的节点的向心路由数据承担量为
(20)
证明:与定理2类似,用nx表示距离Sink为x的区域节点数,则可得距离Sink为x处产生属性A的数据包个数为:
,
。
对于x处的每个节点所要接受的数据包个数为
(21)
在进行聚合时,节点首先与自身的数据进行聚合。设临时的聚合数据量为
,与x+r处的节点进行融合后,其数据包大小为
(22)
当这些节点进行数据发送时,平均的数据量为

(23)
同理,对属性B,有
(24)
对属性C,有
(25)
对于A环之外的区域即x>wA,属性数据会产生3种不同的向心路由情况,故有


(26)
在A环与B环之间区域即wB<x<wA,会产生属性B与C的向心路由数据,故有

(27)
对于B环和C环之间的区域即wC<x<wB,会产生C属性的向心路由数据,故有
(28)
定理4:在CADFR策略下,属性A的数据会通过环形路由的各个节点,最终发往属性A区域。同理,属性为B或C的数据也会被分类,则节点所承担的数据量如下:
(29)
证明:设属性A的环位于距离Sink为wA处,B属性的环位于wB处,C属性的环位于wC处。首先分析属性为A的数据情况。根据定理2以及定理3中的推导可知,在x≤wA一侧的属性A的数据量为
,在x≥wA一侧,属性A的数据量为
,可以得出数据属性A在环形路由上的融合过程。

图3 距离Sink不同位置处的数据承担量
Fig. 3 Amount of data at different distances from Sink

图4 距离Sink不同位置处的能量消耗量
Fig. 4 Energy consumption at different distances from Sink
在wA环之外x处的节点转发的A属性的数据包长度为
,这个区域与A属性相符的节点数目通过
计算得到;环形路由的路线长度由
计算得到(式中,wA指环形路由中的节点与Sink的距离),这样就可以算出属性A的节点在环形路由中数目为
,这些节点承担将与Sink距离为x的节点的数据传输到下一个节点的功能。这些节点中,每个节点最多能够承受的数据量为
,数据融合计算式为


因此,数据融合后A属性的数据包大小为
(30)
对于x≤wA的情况,
(31)
所以,


(32)
同理可得属性B和C的情况。
定理5:在CADFR策略下,对于数据属性A,且在属性A的环形路由wA上,环形路由进行数据融合后的最终数据大小为
(33)
证明:根据定理4,在环形路由里,每个节点产生的数据包的大小为
,环形路由上的节点将会接收到环上一节点的数据进行融合操作,则第1次融合后的数据包大小为
(34)
环形路由不断传来数据包大小为
的数据,不断融合后可得到的数据为
(35)
采用与A环上的数据类似的计算方法可求得位于B和C环的最终数据包大小。
4 实验及性能分析
4.1 数据承担量结果
采用OMNET++进行理论验证[17]。在实验仿真中,采用随机分布的2 000个节点组成的圆形无线传感器网络进行模拟,网络半径R=400,通信半径r=100,Sink处于圆形区域的原点处。实验分别采用NDAS,SDAS和CADFR(分别代表不采用属性的数据融合、采用选择性的数据融合以及采用基于多属性环最大限度提升无线传感器网络寿命的聚合路由策略),其中选择性的数据融合会根据节点产生的相同属性进行选择性融合,融合后再将数据传至近Sink节点。不同策略在1轮数据收集时不同位置的数据承担量对比见图5。
从图5(a)可看出NDAS策略的最高的数据承担量近1.8×105 bit,而SDAS策略中虽然周边负载减少,但近Sink区域的数据量并没有显著降低,最高数据负载也近1.4×105 bit 。而在CADFR策略中可以看到数据量主要集中在3个环上,外环的数据量较少,而靠近Sink的环上数据量较多。经过CADFR数据融合后的策略充分利用了远Sink区域的能量,使得整个网络的数据承担量负载均匀,减少了近Sink区域的数据量,最后经过融合后数据发送回Sink能量降低很多。在CADFR策略中,最高的数据承担量只有1×105 bit,与NDAS与SDAS相比降低了许多,而其他2个更改了融合系数的数据量变化趋势也较相符。

图5 不同策略在一轮数据收集时不同位置的数据承担量对比
Fig. 5 Amount of data at different distances from Sink in a round with different schemes
4.2 能量消耗以及网络寿命
不同策略在一轮数据收集中,能量消耗量见图6。从图6(a)可见:NDAS策略的能量消耗集中在近Sink区域,造成大量消耗,最高能耗近0.010 0 J,而离Sink较远的区域的能量并没有很好地被利用。而采用选择性属性数据融合的策略即SDAS策略时,虽然近Sink的最高能耗有所下降,达0.002 2 J,但近Sink的能耗仍较高,并没有较好地利用远区域的能量。在CADFR策略中,能耗主要集中在3个环上,近Sink区域的能耗比前2种策略大大降低,与SDAS方案相比,其最高能耗降低了很多,即最高耗能的节点降低能耗,寿命相应提高。虽然在近Sink区域的能量消耗稍高于其他区域,即3个环上的数据量经过近Sink区域的节点传给Sink,但由于经过了数据融合,能量消耗相比于NDAS和SDAS的能量消耗大大降低,提高了整个网络的寿命。

图6 不同策略在一轮数据收集中能量消耗量对比
Fig. 6 Energy consumption at different distances from Sink in a round with different schemes
5 结论
1) 传统传感器网络的数据融合策略认为所有的感知数据都能够进行数据融合,而没有考虑到不同性质的数据不能进行数据融合的情况。本文提出的多属性数据融合策略很好的解决了这个问题,具有很大的实际意义。
2) 本文提出的基于属性的分类数据融合策略能够有效降低网络需要传输的数据量,通过理论分析与实验证实,本文提出的CADFR策略,其网络承担的最大数据量大大减少。
3) 本文提出的策略能够有效均衡网络能量消耗,充分利用了网络能量,提高了网络寿命。本文提出的CADFR策略将数据融合环在网络的非热区进行,从而充分利用了网络非热区剩余的大量能量,将网络寿命大幅度提高。
参考文献:
[1] LIU Anfeng, XIN Jin, CUI Guohua, et al. Deployment guidelines for achieving maximal lifetime and avoiding energy holes in sensor network[J]. Information Sciences, 2013, 230(4): 197-226.
[2] 贺晟, 黄冠银, 朱石明, 等. —基于汇聚环的网内事件路由策略[J]. 中南大学学报(自然科学版), 2015, 46(11): 4100-4107.
HE Sheng, HUANG Guanyin, ZHU Shiming, et al. A In-network event routing approach based on aggregation ring[J]. Journal of Central South University (Science and Technology), 2015, 46(11): 4100-4107.
[3] LIU Yuxin, DONG M, OTA K, et al. ActiveTrust:secure and trustable routing in wireless sensor networks[J]. IEEE Transactions on Information Forensics and Security, 2016, 11(9): 2013-2027.
[4] LUO H, LIU Y, DAS S. Routing correlated data in wireless sensor networks: a survey[J]. IEEE Network, 2007, 21(6): 40-47.
[5] DAI R, WANG P, AKYILDIZ I. Correlation-aware QoS routing with differential coding for wireless video sensor networks[J]. IEEE Transactions on Multimedia, 2012, 14(5): 1469-1479.
[6] LEANDRO A, AZZEDINE B, HEITOR S. DRINA: a lightweight and reliable routing approach for in-network aggregation in wireless sensor networks[J]. IEEE Transactions on Computers, 2012, 99(4): 676-689.
[7] DAVOLI F, MARCHESE M, MONGELLI M. Non-linear coding decoding strategies exploiting spatial correlation in wireless sensor networks[J]. IET Communications, 2012, 6(14): 2198-2207.
[8] WU Chunhao, YU Chee-Tseng. Exploiting multi-spatial correlations of motion data in a body sensor network[J]. IEEE Communications Letters, 2012, 16(5): 662-665.
[9] MIN J, CHUNG C. EDGES: Efficient data gathering in sensor networks using temporal and spatial correlations[J]. Journal of Systems and Software, 2010, 83(2): 271-282.
[10] ENGIN Z, DIDEM K, CRISTINA C, et al. Energy-efficient routing for correlated data in wireless sensor networks[J]. Ad Hoc Networks, 2012, 10(6): 962-975.
[11] JIANG Liangshan, LIU Anfeng, HU Yanling, et al. Lifetime Maximization through dynamic ring-based routing scheme for correlated data collecting in WSNs[J]. Computers & Electrical Engineering, 2015, 41(1): 191-215.
[12] HUNG C, PENG W, LEE W. Energy-aware set-covering approaches for approximate data collection in wireless sensor networks[J]. IEEE Transactions on Knowledge and Data Engineering, 2012, 24(11): 1993-2007.
[13] DONG M, OTA K, YANG L, et al. LSCD:a low storage clone detecting protocol for cyber-physical systems[J]. IEEE Transactions on Computer-Aided Design of Integrated Circuits and Systems, 2016, 35(5): 712-723.
[14] LIU Yuxin, LIU Anfeng, HE Sheng. A novel joint logging and migrating traceback scheme for achieving low storage requirement and long lifetime in WSNs[J]. AEU-International Journal of Electronics and Communications, 2015, 69(10): 1464-1482.
[15] HU Yanling, LIU Anfeng. Improvement the quality of mobile target detection through portion of node with fully duty cycle in WSNs[J]. Computer Systems Science and Engineering, 2016, 31(1): 5-17.
[16] DONG M, OTA K, LIU Aafeng, et al. Joint optimization of lifetime and transport delay under reliability constraint wireless sensor networks[J]. IEEE Transactions on Parallel and Distributed Systems, 2016, 27(1): 225-236.
[17] OMNeT++ community site[EB/OL]. [2011-09-01]. http:// omnetpp.org/.
(编辑 陈灿华)
收稿日期:2016-07-10;修回日期:2016-08-22
基金项目(Foundation item):国家自然科学基金资助项目(61379110,61073104);国家重点基础研究发展计划(973计划)项目(2014CB046305);湖南省教育厅优秀青年项目(15B030);湖南省教育厅一般项目(15C0165)(Projects(61379110, 61073104) supported by National Natural Science Foundation of China; Project(2014CB046305) supported by the National Basic Research Program (973 program) of China; Project(15B030) supported by Youth Foundation of Department of Education of Hunan Province; Project (15C0165) supported by General Project of Department of Education of Hunan Province)
通信作者:刘蓉,副教授,从事无线传感器网络研究;E-mail:hnliurong@163.com