DOI: 10.11817/j.issn.1672-7207.2016.02.029
非饱和土基坑刚性挡墙抗倾覆设计与参数分析
张常光1,陈新栋2,朱东辉1
(1. 长安大学 建筑工程学院,陕西 西安,710061;
2. 长安大学 公路学院,陕西 西安,710064)
摘要:针对非饱和土基坑刚性挡墙提出其抗倾覆计算的基本假定,推导基质吸力均匀分布和线性减小2种情况下满足不同抗倾覆稳定系数的埋置深度方程,并对新定义的抗倾覆埋置系数进行参数影响特性分析。研究结果表明:基质吸力及其分布、吸力角和有效抗剪强度参数对抗倾覆埋置系数的影响显著,抗倾覆埋置系数随基质吸力、吸力角和有效抗剪强度参数的增加不断减小甚至为零;忽略基质吸力的饱和土基坑挡墙抗倾覆设计过于保守,线性分布时基质吸力的影响不如均匀分布时显著,应合理假定基质吸力分布并采取工程措施确保其稳定存在。
关键词:非饱和土;基坑刚性挡墙;抗倾覆稳定性;埋置深度
中图分类号:TU432;TU476+.4 文献标志码:A 文章编号:1672-7207(2016)02-0569-08
Anti-overturning design and parametric analysis for rigid retaining wall of foundation pit in unsaturated soils
ZHANG Changguang1, CHEN Xindong2, ZHU Donghui1
(1. School of Civil Engineering, Chang’an University, Xi’an 710061, China;
2. School of Highway, Chang’an University, Xi’an 710064, China)
Abstract: Some basic assumptions for the anti-overturning calculation were firstly made for rigid retaining wall of foundation pit in unsaturated soils; then the embedment depth equations to meet different anti-overturn stability coefficients were derived at the matric suction with both uniform distribution and linear distribution; finally, parametric investigations about a new definition anti-overturning buried coefficient were discussed. The results show that the influence of matric suction and its distribution, suction angle and effective shear strength parameters on the anti-overturning buried coefficient is significant; the anti-overturning buried coefficient decreases and even becomes zero with the increase of the matric suction, suction angle and effective shear strength parameters; the anti-overturning design for foundation pit wall with saturated soils ignoring matric suction is too conservative; the influence of matric suction with linear distribution is not as remarkable as that of matric suction with uniform distribution; the distribution of matric suction should be reasonably assumed and some engineering measures are needed to ensure its stability.
Key words: unsaturated soils; rigid retaining wall of foundation pit; anti-overturning stability; embedment depth
随着人类对城市土地资源的大量需求和不堪承受的交通拥堵,超高层建筑和地下轨道交通迅速发展,相应的复杂基坑工程越来越多,同时对基坑的施工及其对周围环境影响的控制要求也逐渐提高。抗倾覆稳定性是基坑挡墙设计的一个重要内容,当前对基坑刚性挡墙的抗倾覆稳定性验算主要采用的是饱和土的土压力理论[1-2],没有考虑基坑周围土体的非饱和状态。实际上,不但干旱和半干旱地区的基坑周围土体处于非饱和状态,而且地下水位较高地区的基坑因施工时常采用坑外井点降水或坑内降水等措施,使得其周围土体仍处于非饱和状态。基坑周围非饱和土体的基质吸力和分布与外部环境条件密切相关[3-4],如降雨、蒸发、植被、覆盖层等,且与土体应力变化的关系不大,但基质吸力与外部环境因素之间明确的函数关系还不确定,同时现有基质吸力测量手段与设备还存在很大的局限性,故工程应用时常做近似[3]:假定基质吸力均匀分布或沿深度线性减小至地下水位为0 kPa 2种情况。考虑非饱和特性能更加充分发挥土体的真实强度潜能,并能保证挡墙设计的经济性和安全性,具有重要的理论意义和工程应用价值。针对非饱和土基坑挡墙稳定性的相关研究主要有:吴剑敏等[5]基于实测土-水特征曲线探讨了基质吸力对非饱和土基坑支护结构内力的影响,陆秋生等[6]用膨胀力推导了非饱和土基坑的无支护开挖深度,尚军[7]提出了考虑基质吸力的水泥搅拌桩抗滑移和抗倾覆稳定性的验算方法,刘熙媛等[8]采用总应力强度指标研究了含水量对非饱和土基坑抗倾覆稳定性的影响,WHENHAM等[9]通过现场试验分析了基质吸力对非饱和土垂直切坡稳定性的影响,AMABILE等[10]探讨了饱和度对非饱和土挡墙抗倾覆稳定性的影响,李顺群等[11]分析了预留土对非饱和土基坑支护结构嵌固深度、位移和内力的影响,STANIER等[12]利用塑性上限定理提出了砂性非饱和土挡墙张拉区深度的确定方法,张常光等[13-14]讨论了中间主应力对基坑挡墙抗倾覆稳定性的影响。而有关非饱和土基坑刚性挡墙抗倾覆稳定性的相关理论研究鲜有报道。因此,本文作者首先提出非饱和土基坑刚性挡墙抗倾覆计算的基本假定,其次推导2种基质吸力分布下满足不同抗倾覆稳定系数的埋置深度方程,最后得出各参数对新定义的抗倾覆埋置系数的影响特性,所得结果可为非饱和土基坑挡墙的优化设计和施工提供一定的理论指导和建议。
1 挡墙抗倾覆埋置深度
1.1 基本假定
在基坑施工中,常采用井点降水或坑内降水等措施,使地下水位Dw降至基坑开挖深度以下。取狭长基坑中部纵向单位长度的刚性挡墙,如图1所示,其靠近土体的墙面为AB面,图1中H为基坑开挖深度,D为挡墙抗倾覆埋置深度,yo为墙后土体张拉区深度。

图1 基坑刚性挡墙模型
Fig. 1 A model for rigid retreating wall of foundation pit
为确定不同抗倾覆稳定系数Kq下的挡墙埋置深度D且简化计算,进行如下假定。
1) 刚性挡墙处于平面应变状态且不计其自重、支撑和地面超载,地下水位始终位于挡墙墙趾以下;
2) 挡墙前后的土体均匀连续、不分层,墙面竖直光滑、填土面及开挖面水平,符合朗肯土压力理论;土体强度τf满足Fredlund非饱和土双应力状态变量抗剪强度[15],即
(1)
式中:c′为有效黏聚力;φ′为有效内摩擦角;ua为孔隙气压力;uw为孔隙水压力;(ua-uw)为基质吸力;σ为总法向应力;(σ-ua)为净法向应力;φb为与基质吸力(ua-uw)有关的吸力角,且角φb只在低吸力范围时才是常数[16-20],一般小于或等于有效内摩擦角φ′。
3) 基质吸力处于低吸力范围,沿深度均匀分布或线性减小至地下水位2种情况,如图2所示。图2中(ua-uw)o为地表处的基质吸力,称为地表基质吸力。当基质吸力沿深度线性减小直到地下水位处为0 kPa时,地表下不同深度y处的基质吸力(ua-uw)y为
(2)
1.2 抗倾覆埋置深度
1.2.1 挡墙土压力
设ct=c′+(ua-uw)×tanφb为非饱和土体的总黏聚力,则式(1)变为
(3)
式(3)与饱和土抗剪强度公式的形式完全相同,这样就能很方便地利用饱和土的已有研究成果来拓展和推进非饱和土理论的工程实践进程。

图2 基质吸力分布
Fig. 2 Distributions of matric suction
随着基坑的不断开挖,挡墙逐渐发生位移,使得墙后和坑底的土体应力状态随之变化并达到朗肯土压力,此时墙后土体处于朗肯主动土压力状态(见图1),其水平土压力强度(σh-ua)a为[3]
,
(4)
式中:ka为主动土压力系数。
将竖向应力(σv-ua)=γy(见图1)和总黏聚力ct=c′+(ua-uw)×tanφb代入式(4),得非饱和土主动土压力强度(σh-ua)a为
(5)
式中:γ为非饱和土的重度。
令式(5)中的主动土压力强度(σh-ua)a为0 kPa,得张拉区深度yo为
(6)
另外,墙前坑底附近的土体处于朗肯被动土压力状态(见图1),其水平土压力强度(σh-ua)p为[3]
,
(7)
式中:kp为被动土压力系数。
将竖向应力(σv-ua)=γ(y-H)(见图1)和总黏聚力ct=c′+(ua-uw)×tanφb代入式(7),得非饱和土被动土压力强度(σh-ua)p为
(8)
1.2.2 抗倾覆埋置深度
基坑挡墙抗倾覆稳定系数Kq为绕墙趾B点的抗倾覆力矩与倾覆力矩之比[1],即挡墙被动土压力所形成的抗倾覆力矩与挡墙主动土压力所形成的倾覆力矩之比(见图1),其表达式为
(9)
1) 基质吸力沿深度均匀分布。此时,基质吸力为(ua-uw)且沿深度不变,将式(4)~(6)代入式(9)的分母,得挡墙主动土压力所形成的倾覆力矩为

,
,
,
,
(10)
式中:α0,α1,α2和α3为倾覆力矩参数。
将式(7)和(8)代入式(9)的分子,得挡墙被动土压力所形成的抗倾覆力矩为

,
,
,
,
(11)
式中:β0,β1,β2和β3为抗倾覆力矩参数。
将式(10)和(11)代入式(9),整理得关于挡墙抗倾覆埋置深度D的一元三次方程为
,
,
,
,
(12)
式中:C0,C1,C2和C3为方程系数。
2) 基质吸力沿深度线性减小。此时,基质吸力沿深度线性减小至地下水位处为0 kPa,且其由式(2)确定,将式(2)代入式(5)和(6)得此情况下的主动土压力强度(σh-ua)a和张拉区深度yo分别为

(13)
(14)
将式(13)和(14)代入式(9)的分母,得基质吸力线性分布时挡墙的倾覆力矩为

,
,
,
,
,
,
(15)
式中:m和n为中间参数;χ0,χ1,χ2和χ3为倾覆力矩参数。
将式(2)代入式(8)得基质吸力线性分布时的被动土压力强度(σh-ua)p为

(16)
将式(16)代入式(9)的分子,得基质吸力线性分布时挡墙的抗倾覆力矩为

,
,
,
,
,
,
(17)
式中:t和s为中间参数;ζ0,ζ1,ζ2和ζ3为抗倾覆力矩参数。
将式(15)和(17)代入式(9),整理得关于挡墙抗倾覆埋置深度D的一元三次方程为
,
,
,
,
(18)
式中:λ0,λ1,λ2和λ3为方程系数。
1.3 对所得结果的讨论
由式(12)和(18)所获得的抗倾覆埋置深度D,可以考虑基坑开挖深度H、基质吸力及其分布、吸力角φb和有效抗剪强度参数(c′和φ′)的综合影响,具有广泛的适用性。给定不同的抗倾覆稳定系数Kq,则对应满足不同要求的埋置深度D;当抗倾覆稳定系数Kq=1时,对应临界抗倾覆埋置深度Dl。当基质吸力为0 kPa时,式(12)和(18)的结果相同,且都退化为饱和土基坑挡墙的抗倾覆设计[1-2]。若地下水位上升至墙趾以上或考虑挡墙自重、支撑和地面超载或成层土、基质吸力具体分布已知时,则可按照本文思路对所得式(12)和(18)进行相应的修正,即本文结果具有很好的可拓展性。
具体工程应用时,可先由式(6)和(14)求得基质吸力沿深度均匀分布和线性减小时的挡墙张拉区深度yo;然后进行判断,若张拉区深度yo≥基坑开挖深度H,则表示基坑能够完全自立,不需要进行挡墙支护;相反,当yo<H时,则应通过试算或迭代由式(12)和式(18)求得相应的基坑挡墙抗倾覆埋置深度D。
单纯讨论某一基坑挡墙抗倾覆埋置深度D的实际意义不大且没有很好的可比性。为了应用统一和方便,建议以基坑挡墙抗倾覆埋置系数fD来比较和应用本文结果,其定义式为
(19)
由式(19)可见,基坑挡墙抗倾覆埋置系数fD的物理意义为:挡墙抗倾覆埋置深度D与基坑开挖深度H的比值,即挡墙抗倾覆埋置深度D相对基坑开挖深度H的比例系数,故埋置系数fD具有明确的物理意义和很好的可比性与统一性。
2 参数影响特性分析
针对不同抗倾覆稳定系数Kq下,基质吸力及其分布、吸力角和有效抗剪强度参数对抗倾覆埋置系数fD的影响特性进行参数分析。工程算例为[4]:某基坑的开挖深度H为6 m,地下水位Dw为15 m,均质非饱和土的重度γ为18 kN/m3,有效黏聚力c′为3 kPa,有效内摩擦角φ′为20°,吸力角φb为12°。
2.1 基质吸力影响
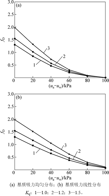
基质吸力的影响特性包括基质吸力及其分布2个方面,若基质吸力为0 kPa,则退化为饱和土。图3所示为当抗倾覆稳定系数Kq为1.0,1.2和1.5时,基质吸力均匀分布和线性减小2种情况下抗倾覆埋置系数fD随基质吸力变化的关系。
由图3(a)可以看出:当基质吸力均匀分布时,随着基质吸力(ua-uw)的增加,埋置系数fD略呈非线性减小;不同抗倾覆稳定系数Kq所对应的埋置系数fD不同,系数Kq越大,埋置系数fD亦越大;随着基质吸力(ua-uw)的增加,不同系数Kq所对应的埋置系数fD之间的差异不断减小。当基质吸力(ua-uw)为0 kPa时,即饱和土基坑挡墙在系数Kq为1.0,1.2和1.5时所对应的系数fD分别为1.41,1.68和2.14;当基质吸力(ua-uw)为100 kPa时,即非饱和土基坑挡墙在系数Kq为1.0,1.2和1.5时所对应的系数fD分别为0.18,0.22和0.27。进而相应的埋置深度D可分别减小5.64,8.76和11.22 m,可见按饱和土的基坑挡墙抗倾覆设计将过于保守,考虑土体强度的非饱和特性可节约大量的工程费用,应采取工程措施确保基质吸力的稳定存在。

图3 开挖深度H=6 m时基质吸力对埋置系数fD的影响
Fig. 3 Influence of matric suction on buried coefficient fD when H=6 m
由图3(b)可以看出:当基质吸力线性分布时,埋置系数fD在不同系数Kq下随着地表基质吸力(ua-uw)o的变化与基质吸力均匀分布时总的规律相似。不同点在于:随着地表基质吸力(ua-uw)o的增加,埋置系数fD线性减小;不同系数Kq所对应的埋置系数fD之间的差异与地表基质吸力(ua-uw)o近似无关;地表基质吸力(ua-uw)o为100 kPa时的非饱和土基坑挡墙相比饱和土时,系数Kq为1.0,1.2和1.5时所对应的埋置深度D可分别减小5.34,6.18和7.38 m。因此,线性分布时基质吸力对埋置系数fD的影响不如均匀分布时那么显著,需要合理考虑和假定实际基质吸力的具体分布。
若在相同的地层和环境条件下,仅基坑开挖深度H变为4 m,抗倾覆埋置系数fD随基质吸力变化的关系,如图4所示。

图4 H=4 m时基质吸力对埋置系数fD的影响
Fig. 4 Influence of matric suction on buried coefficient fD when H=4 m
将图4与图3进行对比可以看出:埋置系数fD随基质吸力的变化规律与开挖深度H相关,H=4 m时埋置系数fD随基质吸力的变化都是非线性的。特别是当基质吸力均匀分布且为100 kPa时,不同稳定系数Kq下的埋置系数fD几乎均为0,这是因为此时墙后非饱和土的张拉区深度yo为3.85 m,非饱和土体基本能够完全自立,可不必施作任何挡土结构;相反,如果忽略基质吸力的存在与影响,仍按饱和土基坑进行挡墙抗倾覆设计将造成极大的浪费。
2.2 吸力角影响
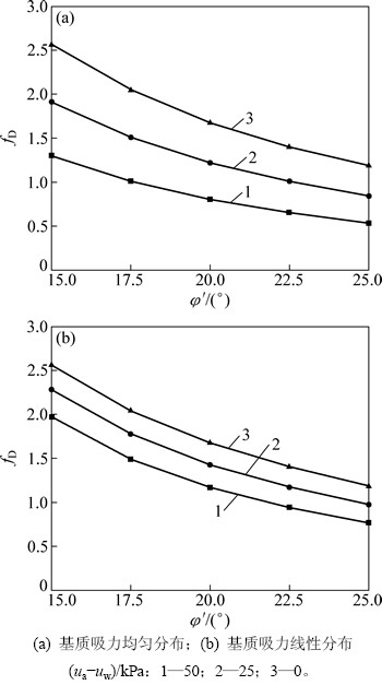
吸力角φb是非饱和土强度特性的重要参数,用以反映基质吸力对抗剪强度的贡献率,吸力角φb一般小于有效内摩擦角φ′。图5所示为抗倾覆稳定系数Kq=1.2时,抗倾覆埋置系数fD随吸力角φb变化的关系,包括2种基质吸力分布和3个具体的基质吸力。
由图5可以看出:当基质吸力为0 kPa时,即饱和土基坑挡墙的埋置系数fD恒为1.68,与吸力角φb无关。只有当(地表)基质吸力不为0 kPa即为非饱和土时,吸力角φb才起作用。随着吸力角φb的增加,埋置系数fD线性减小。基质吸力均匀分布时,吸力角φb=16°时的系数fD相比角φb=8°时分别减小了48.7%(基质吸力为50 kPa)和21.9%(基质吸力为25 kPa);相应基质吸力线性分布时,吸力角φb=16°时的系数fD相比角φb=8°时分别减小了26.7%(地表基质吸力为50 kPa)和11.5%(地表基质吸力为25 kPa)。所以,吸力角φb在基质吸力均匀分布时对系数fD的影响更加显著,考虑吸力角φb的变化可以获得更加合理的埋置深度D。

图5 H=6 m和Kq=1.2时吸力角对埋置系数fD的影响
Fig. 5 Influence of suction angle on buried coefficient fD when H=6 m and Kq=1.2
2.3 有效抗剪强度参数影响
由有效黏聚力c′和有效内摩擦角φ′所引起的饱和土强度是非饱和土强度的重要组成部分,对非饱和土基坑挡墙抗倾覆埋置深度D具有重要影响。图6和图7所示分别为当抗倾覆稳定系数Kq=1.2时,抗倾覆埋置系数fD随有效黏聚力c′和有效内摩擦角φ′的变化 关系。
由图6和图7可以看出:有效黏聚力c′和有效内摩擦角φ′对埋置系数fD的影响显著。埋置系数fD与有效黏聚力c′呈线性关系、与有效内摩擦角φ′呈非线性关系,即有效内摩擦角φ′相比有效黏聚力c′对埋置系数fD的影响更加显著。不同(地表)基质吸力下,埋置系数fD之间近似平行,相同条件下基质吸力线性分布时的埋置系数fD比基质吸力均匀分布时的埋置系数要高,这表明基质吸力线性分布时要保证挡墙抗倾覆稳定性需要更大的埋置深度D。

图6 H=6 m和Kq=1.2时有效黏聚力对埋置系数fD的影响
Fig. 6 Influence of effective cohesion on buried coefficient fD when H=6 m and Kq=1.2

图7 H=6 m和Kq=1.2时有效内摩擦角对埋置系数fD的影响
Fig. 7 Influence of effective internal friction angle on buried coefficient fD when H=6 m and Kq=1.2
3 结论
1) 针对非饱和土基坑刚性挡墙抗倾覆稳定性设计提出其计算的基本假定,利用非饱和土的朗肯土压力和对墙趾的力矩概念推导2种基质吸力分布下满足不同抗倾覆稳定系数Kq的埋置深度D的三次方程,并得到新定义的抗倾覆埋置系数fD的参数影响特性。利用本文结果可绘制不同情况下抗倾覆埋置系数fD的实用图表,以便工程初步设计和快速查询。
2) 本文所得有关抗倾覆埋置深度D的式(12)和(18)具有广泛的适用性和很好的可拓展性,可以考虑基坑开挖深度、基质吸力及其分布、吸力角和有效抗剪强度参数的综合影响。基质吸力为0 kPa时对应饱和土基坑挡墙的抗倾覆稳定性设计。抗倾覆埋置系数fD具有明确的物理意义和很好的可比性与统一性。
3) 基质吸力及其分布对抗倾覆埋置系数fD的影响显著,随(地表)基质吸力的增加,系数fD不断减小甚至为零,相比忽略(地表)基质吸力的饱和土基坑挡墙设计具有重要的经济意义。线性分布时基质吸力的影响不如均匀分布时显著,应合理假定基质吸力分布并采取工程措施确保基质吸力的稳定存在。
4) 抗倾覆稳定系数Kq越大,所对应的抗倾覆埋置系数fD亦越大,且系数fD与开挖深度相关。吸力角和有效抗剪强度参数对抗倾覆埋置系数fD具有重要影响,吸力角的影响与(地表)基质吸力有关,有效内摩擦角相比有效黏聚力对系数fD的影响更加显著。
参考文献:
[1] 高大钊. 土力学与基础工程[M]. 北京: 中国建筑工业出版社, 1998: 385-415.
GAO Dazhao. Soil mechanics and foundation engineering[M]. Beijing: China Architecture and Building Press, 1998: 385-415.
[2] JGJ120—2012. 建筑基坑支护技术规程[S].
JGJ120—2012. Technical specification for retaining and protection of building foundation excavations[S].
[3] FREDLUND D G, RAHARDJO H. Soil mechanics for unsaturated soils[M]. New York: John Wiley and Sons lnc, 1993: 1-20.
[4] LU N, LIKOS W J. Unsaturated soil mechanics[M]. New York: John Wiley and Sons lnc, 2004: 3-40.
[5] 吴剑敏, 李广信, 王成华. 非饱和土基质吸力对基坑支护计算的影响[J]. 工业建筑, 2003, 33(7): 6-10.
WU Jianmin, LI Guangxin, WANG Chenghua. Effect of matric suction of unsaturated soil on the estimation of the load and internal force on supporting structure for deep excavation[J]. Industrial Construction, 2003, 33(7): 6-10.
[6] 陆秋生, 阎长虹. 浅议非饱和土基坑无支护开挖深度的确定[J]. 长安大学学报(地球科学版), 2003, 25(3): 52-55.
LU Qiusheng, YAN Changhong. Calculation of unsupported excavation depth of unsaturated soil slope[J]. Journal of Chang'an University (Earth Science Edition), 2003, 25(3): 52-55.
[7] 尚军. 考虑非饱和土强度理论的水泥搅拌桩挡土墙结构稳定分析研究[J]. 天津城市建设学院学报, 2004, 10(4): 245-251.
SHANG Jun. Applications of unsaturated soil strength theory in the analysis of general stability of cement mixed pile retaining wall[J]. Journal of Tianjin Institute of Urban Construction, 2004, 10(4): 245-251.
[8] 刘熙媛, 窦远明, 徐东强, 等. 河北省非饱和土深基坑稳定性研究[J]. 河北工业大学学报, 2010, 39(2): 100-104.
LIU Xiyuan, DOU Yuanming, XU Dongqiang, et al. Study on stability of deep foundation pit in unsaturated soil of Hebei Province[J]. Journal of Hebei University of Technology, 2010, 39(2): 100-104.
[9] WHENHAM V, VOS D M, LEGRAND C, et al. Influence of soil suction on trench stability[C]//European Proceedings in Physics: Experimental Unsaturated Soil Mechanics, Weimar, 2007: 495-501.
[10] AMABILE A, BALZANO B, URCIUOLI G, et al. Effect of partial saturation on the stability of retaining diaphragms above the water table[C]//Proceedings of the 2nd European Conference on Unsaturated Soils. Naples, Italy, 2012: 263-268.
[11] 李顺群, 郑刚, 王英红. 预留土对非饱和基坑支护结构的影响[J]. 工程力学, 2012, 29(5): 122-127.
LI Shunqun, ZHENG Gang, WANG Yinghong. Influence of earth berm on retaining structure for unsaturated pit excavation[J]. Engineering Mechanics, 2012, 29(5): 122-127.
[12] STANIER S A, TARANTINO A. An approach for predicting the stability of vertical cuts in cohesionless soils above the water table[J]. Engineering Geology, 2013, 158: 98-108.
[13] 张常光, 赵均海, 朱倩. 非饱和土刚性挡墙抗倾覆临界嵌固深度研究[J]. 岩石力学与工程学报, 2014, 33(11): 2360-2369.
ZHANG Changguang, ZHAO Junhai, ZHU Qian. Critical embedment depth of rigid retaining walls in foundation pit of unsaturated soils[J]. Chinese Journal of Rock Mechanics and Engineering, 2014, 33(11): 2360-2369.
[14] 张常光, 孙珊珊, 殷佳. 考虑中间主应力的非饱和土刚性挡墙抗倾覆稳定性[J]. 四川大学学报(工程科学版), 2014, 46(6): 44-48.
ZHANG Changguang, SUN Shanshan, YIN Jia. Anti- overturning stability of a rigid retaining wall in unsaturated soils considering the intermediate principal stress[J]. Journal of Sichuan University (Engineering Science Edition), 2014, 46(6): 44-48.
[15] FREDLUND D G, MORGENSTEM N R, WIDGER R A. The shear strength of unsaturated soils[J]. Canadian Geotechnical Journal, 1978, 15(3): 313-321.
[16] FREDLUND D G. Unsaturated soil mechanics in engineering practice[J]. Journal of Geotechnical and Geoenvironmental Engineering, 2006, 132(3): 286-321.
[17] HOUSTON S L, PEREZ-GARCIA N, HOUSTON W N. Shear strength and shear-induced volume change behavior of unsaturated soils from a triaxial test program[J]. Journal of Geotechnical and Geoenvironmental Engineering, 2008, 134(11): 1619-1632.
[18] ZHOU A N, SHENG D C. Yield stress, volume change, and shear strength behaviour of unsaturated soils: validation of the SFG model[J]. Canadian Geotechnical Journal, 2009, 46(9): 1034-1045.
[19] 张常光, 胡云世, 赵均海. 平面应变条件下非饱和土抗剪强度统一解及其应用[J]. 岩土工程学报, 2011, 33(1): 32-37.
ZHANG Changguang, HU Yunshi, ZHAO Junhai. Unified solution of shear strength for unsaturated soil under plane strain condition and its application[J]. Chinese Journal of Geotechnical Engineering, 2011, 33(1): 32-37.
[20] 张常光, 赵均海, 张冬芳. 非饱和土强度非线性及对被动土压力的影响[J]. 广西大学学报(自然科学版), 2012, 37(4): 797-802.
ZHANG Changguang, ZHAO Junhai, ZHANG Dongfang. Nonlinear strength of unsaturated soils and its influence on passive earth pressure[J]. Journal of Guangxi University (Natural Science Edition), 2012, 37(4): 797-802.
(编辑 杨幼平)
收稿日期:2015-02-11;修回日期:2015-05-09
基金项目(Foundation item):国家自然科学基金资助项目(41202191);陕西省自然科学基础研究计划项目(2015JM4146);中国博士后科学基金资助项目(2014M562358);陕西省博士后科研资助项目(2015年)(Project (41202191) supported by the National Natural Science Foundation of China; Project (2015JM4146) supported by the Natural Science Foundation of Shaanxi Province; Project (2014M562358) supported by the China Postdoctoral Science Foundation; Project (2015) supported by the Postdoctoral Research Project of Shaanxi Province)
通信作者:张常光,博士,副教授,从事非饱和土与地下工程等研究;E-mail:zcg1016@163.com