水洗预处理对垃圾掺烧污泥焚烧飞灰中重金属高温挥发特性的影响
王玉洁,刘敬勇,孙水裕
(广东工业大学 环境科学与工程学院,广东 广州,510006)
摘要:对某垃圾掺烧污泥焚烧厂焚烧飞灰进行采样,在研究重金属形态分布的基础上,重点研究飞灰水洗前后重金属(Cu、Zn、Pb、Cd)高温处置过程中的挥发特性。研究结果表明:飞灰中重金属酸可交换态中Cd的比例最大,其次为Zn,而重金属Cr,Ni和Mn主要以残渣态存在。高温处置过程中,飞灰中Pb表现出最易挥发的特性,其挥发率超过80%,而Cu挥发性较小,其挥发率<30%,4种重金属的挥发性从大至小依次为:Pb,Cd,Zn,Cu。水洗飞灰中Zn的挥发率最高,超过20%,而Cu挥发性最小,水洗飞灰中重金属的挥发性从大至小依次为:Zn,Pb,Cd,Cu。在受热时间为120 min、加热温度为900 ℃条件下,飞灰水洗后Zn,Pb,Cd和Cu的挥发率分别降低了6.87%,70.24%,34.73%和9.52%,其中水洗脱Cl是重金属挥发率降低的主要原因。
关键词:飞灰;焚烧;重金属;挥发率;水洗
中图分类号:X705 文献标志码:A 文章编号:1672-7207(2014)05-1751-08
Effects of water washing on volatile characteristics of heavy metals in fly ash from a MSW and sewage sludge co-combustion plant
WANG Yujie, LIU Jingyong, SUN Shuiyu
(School of Environmental Science and Engineering, Guangdong University of Technology, Guangzhou 510006, China)
Abstract: Fly ash samples were collected from a MSW and sewage sludge co-combustion plant and the chemical forms of heavy metals were determined. The volatilization of heavy metals Pb, Cd, Cu and Zn was investigated. The effect of using water-washing as a pre-treatment on volatilization of heavy metals was also studied. The results show that the largest proportion of extraction of acid soluble/exchangeable fraction is the element Cd, followed by Zn, while the heavy metals Cr, Ni and Mn mostly remain in the residual fraction. The volatilization of heavy metals is very different in the volatilization rate, following the order of Pb, Cd, Zn, Cu, in which the volatilization rate of Pb is more than 80% and that of Cu is less than 30%. After water washing, the volatilization of heavy metals shows differences in volatilization rate when compared to non-water washing ones, with the volatilization rate following the order of Zn, Pb, Cd, Cu, in which the volatilization rate of Zn is more than 20% and the volatilization rate of Cu is the lowest. After water washing the fly ash, the evaporation of Pb, Cd, Cu and Zn is reduced by 70.24%, 34.73%, 9.52% and 6.87% at a temperature below 900 ℃ with a heating time of 120 min, which contributes to dechlorination through water washing.
Key words:fly ash; incineration; heavy metal; volatilization; water washing
随着固体废弃物焚烧方式的普遍采用和推广,导致大量焚烧飞灰。焚烧飞灰中含有高浸出质量分数的重金属、盐类以及高毒性的二噁英、呋喃(PCDD/Fs)等有害物质,若不进行妥善处理或处置,重金属及有害物质将在生态环境中迁移,污染地下水、土壤和空气,最终危害人类健康[1]。目前,国内外对垃圾焚烧飞灰无害化处理方法主要有以下4种:熔融固化/玻璃化[2]、水泥固化[3]、化学药剂稳定化[4]、酸或其他溶剂提取法[5],这些经无害化技术处理过的飞灰,从环境长期的安全性考虑,仍会对环境构成潜在的危害。飞灰高温熔融固化法具有明显的优势,该法可将飞灰中重金属固定在致密的Si-O晶格中,大大减少重金属的浸出,还能有效地将飞灰中二噁英等有害物质分解。但是,焚烧飞灰在高温处理过程中,即使采用各种技术和方法来加强重金属固化,仍会有部分重金属挥发,特别是Cl含量较高的情况下,这不但会增加后续尾气处理系统的负担,而且挥发的重金属很可能对环境造成二次污染[6]。另外,飞灰中的重金属在高温热化学处理过程中的迁移转化规律与飞灰物化特性及运行环境诸多因素相关[7],因此,在对飞灰进行高温熔融固化安全处置或资源化利用之前,有必要对飞灰进行预处理,去除其中可以溶解的氯化物和有毒物质,以便飞灰后续的资源化利用或安全处理处置。已有研究表明:生活垃圾焚烧飞灰在资源化利用前经过预处理后可以改善后续处置效果[8]。蒋建国等[9]研究指出水洗预处理能基本去除对水泥固化有影响的可溶物质;Wang等[10]研究指出水洗能去除飞灰中的Cl元素,从而增加重金属的热稳定性;李小东等[11]研究指出水洗工艺对飞灰烧结过程中重金属的稳定化有促进作用;郑鹏等[12]研究指出磷酸洗涤前处理能拟制飞灰烧结过程中重金属的挥发;Nzihou等[13]研究水洗和磷酸钙凝胶沉淀2步处理后的飞灰能安全地用于路基和水泥生产中。然而,目前还未见到水洗预处理对垃圾掺烧污泥焚烧飞灰中重金属高温挥发特性影响研究的报道,而这类飞灰要比垃圾焚烧飞灰更加复杂。通常重金属氯化物的熔点和沸点比氧化物的低,因此,为使重金属挥发率降低,应将飞灰中Cl等化合物进行有效去除,水洗是一种比较理想的方法。张玲等[14]研究指出飞灰水洗前处理可以大大降低飞灰中Cl的含量。本文分析垃圾掺烧污泥焚烧飞灰中重金属形态的同时,对比分析焚烧飞灰水洗前后重金属的挥发特征,探索飞灰中重金属在高温热处理过程中的迁移转化规律及其影响因素,为城市垃圾掺烧污泥焚烧飞灰等残余物最大限度无害化处理及资源化回收利用提供理论依据。
1 实验材料与方法
1.1 材料与试剂
飞灰样品采自浙江省某个正在运行的垃圾掺烧污泥发电厂(进料中污泥量约占50%,污泥含水率为40%~60%),其处理规模为500 t/d×3台,采用半干法与布袋除尘的尾气净化工艺,飞灰采自布袋除尘器。飞灰样品经混匀预处理后,研磨飞灰使颗粒尺寸小于150 mm,然后,在105 ℃下干燥24 h,达到恒质量,装瓶备用。
1.2 飞灰水洗预处理
焚烧飞灰的水洗预处理是将去离子水(体积V)与飞灰(质量m)以液固比(V/m)为10:1混合,置于聚乙烯瓶中,盖紧瓶塞,置于往复式水平振荡器上,以(110±10) r/min的频率进行振荡,振荡1 h后,使用孔径为0.45 μm微孔滤膜进行过滤,将水洗后的焚烧飞灰在马弗炉中于105 ℃下烘干24 h,达到恒质量后混匀,得到水洗灰,装瓶备用。
1.3 实验装置与方法
实验装置包括供气部分、管式炉部分及采样部分(见图1)。管式炉部分(天津中环实验电炉有限公司,SK2-2-130)由电加热供热,电子温控仪(电炉温度控制器KSW-6-16,程序跟踪精度为±2 ℃)根据热电偶来调节和控制各工况所需的温度条件。供气部分以100 mL/min 的速率吹入载气(空气),以带出从飞灰中挥发出的气体,挥发产生的气体通入2个连续的吸收瓶,吸收液为5%(质量分数) HNO3。实验前,将飞灰均匀混合,在105 ℃下干燥24 h。当炉膛达到预设温度时,将载有2 g水洗前后飞灰的瓷舟缓慢推入炉膛,同时将载气调至设定流量并关闭炉门。飞灰在炉膛内停留至设定的时间后,取出瓷舟在干燥器中空气冷却。瓷舟里面的残留的底渣供测定使用。吸收液的主要目的是吸收飞灰高温过程中产生的尾气。
已有的研究证明利用管式炉可以有效模拟焚烧炉中重金属的高温挥发特性[15]。在本实验装置上,飞灰热处理时产生的重金属的挥发物大部分被吸收液所吸收,其余少量会附着在石英管出口处和引出导管内壁上,为提高实验的准确性,每一实验工况完成后需用少量的吸收液冲洗石英管及导管内壁,然后进行下一个工况实验。
飞灰在热处理过程中,控制不同参数,探索飞灰中重金属在挥发过程中的迁移特性。为更好解释实验现象,特引入重金属挥发率PEV,定义如下:
(1)
其中:w1为飞灰中重金属的质量分数,mg/kg;m1为飞灰质量,g;w2为飞灰经过高温处理后残渣中重金属的质量分数,mg/kg;m2为飞灰经过高温处理后残渣的质量,g。

图1 石英管高温反应炉模拟装置
Fig. 1 Experimental apparatus of quartz tube simulation combustion reactor
1.4 实验分析方法
飞灰及各种不同处理后残渣经过粉碎、研磨后,通过106 μm分样筛。飞灰及各种不同处理后残渣中重金属总量测定参照USEPA3050采用HNO3-HF- HClO4方法对样品进行消解分析[16-17]。称约0.500 0 g样品(样品设置6个平行样)置于聚四氟乙烯烧杯中,加浓硝酸10 mL,待激烈反应停止后,移至低温电热板上,加热溶解1 h。取下,冷却,加入氢氟酸5 mL,加热溶解1 h,取下,冷却。加入高氯酸5 mL,挥发至近干,然后再加高氯酸2 mL,再次挥发至近干,残渣为灰白,冷却,加入25 mL体积分数为1%的HNO3,煮沸溶液残渣,移至校准过的50 mL容量瓶中,定容,溶液备原子吸收光谱分析仪(atomic adsorption spectrometer,AAS,WFX210)测定重金属Cu,Pb,Zn和Cd含量。
飞灰中重金属形态分析采用欧共体参考物质署(Community Bureau of Reference)提出的3步连续分级提取法(简称BCR法)进行。每个样品设置6个平行样(测定数据为6 次测定的平均值),每个批次实验设置2个空白样品。提取程序将金属分为4个形态:酸可提取态(F1)、可还原态(F2)、可氧化态(F3)和残渣态(F4),具体步骤如下[18]:
酸可交换态(F1):取0.5 g干飞灰样品,置于50 mL聚乙烯离心管中,加入20 mL浓度为0.1 mol/L的HAc,于室温下振荡16 h,于4 000 r/min离心20 min,上层清液经0.45 μm微膜过滤,滤液中加入0.2 mL浓硝酸,原子吸收测定各元素含量。残留物用10 mL去离子水冲洗,离心20 min,洗涤液丢弃。
易还原态(F2):于上一级固相中加入20 mL浓度为0.1 mol/L的NH2OH·HC1 (pH=2.0),于室温下振荡16 h,于4 000 r/min下离心20 min,上层清液经0.45 μm微膜过滤,其他步骤同前。
可氧化态(F3):向上一级固相中加入5 mL 体积分数为30% H2O2,置于25 ℃水浴中1 h,再向其中加入5 mL H2O2,置于85 ℃水浴中1 h,水浴蒸发至近干,然后加入25 mL浓度为1.0 moL/L的NH4Ac (pH 2.0),于室温下振荡16 h,于4 000 r/min下离心20 min,其他步骤同前。
残渣态(F4):将上一级固相取出烘干后消解,测定步骤与总量的测定步骤相同。
样品基本组成成分由日本株式会社理学Rigaku-100e型(日本理学公司)X线荧光光谱仪(XRF)采用归一化法进行测定,测量元素范围:F~U。仪器工作条件为:铑靶X线管,X线电管工作电压为40 kV,工作电流为40 mA,真空光路,粗准直器,直径为30 mm视野光栏和直径为30 mm试样面罩,脉冲高度分析仪器PHA为70~350。样品表面形态和成分组成采用扫描电镜-能谱分析(SEM-EDS)(型号规格为S-3400N-II,日本株式会社日立高新技术公司)。背散射电子像分辨率:4.0 nm/30 kV(可变压力模式);二次电子像分辨率:3.0 nm/30 kV(高真空)和10 nm/3 kV(高真空);加速电压为0.3~30 kV;放大倍数为5~300 000;图像移动范围为±50 μm(工作距离为10 mm时);最大样品直径为200 mm。
2 结果与讨论
2.1 飞灰的物化特性与重金属含量
本实验飞灰呈暗灰色粉末状,烘干后颜色变淡,含水率为0.97%~2.54%。采用X线荧光光谱仪(XRF)和归一化法对飞灰主要化学成分进行测定,结果见表1。从表1可以看出:飞灰主要由Si,Ca,Fe,Al,Cl,S,K和Na等元素构成,约占总质量的87%。飞灰中含有较多的Ca,可能由于在控制焚烧产生的酸性气体时,喷入了一定量的石灰。飞灰中Cl质量分数较高,这与污泥及垃圾的成分有关,Cl质量分数较高易导致飞灰中重金属的浸出及高温过程中的挥发。
表1 飞灰的主要化学成分(质量分数)
Table 1 Chemical composition of fly ash %

飞灰中重金属质量分数见表2,从表2可以看出:飞灰中Pb和Zn的质量分数相对较高,而Ni的质量分数较低,这主要是由于污泥在焚烧过程中Zn和Pb以低熔点的ZnCl2和PbCl2形式进入烟气中吸附在飞灰表面,在后续的除尘设备(如布袋除尘器)中被捕集下来进入飞灰之中,而Ni的熔点高达2 300 ℃左右,在焚烧过程中主要进入焚烧底渣中[19]。孙路石等[20]研究了城市生活垃圾焚烧炉所产生的炉排灰飞灰和底灰,表明城市生活垃圾焚烧过程中沸点温度较高的、难挥发的元素在底灰和炉排灰中分布较多,而易挥发的元素则在飞灰中分布较多。
表2 飞灰中重金属的质量分数
Table 2 Heavy metal contents in fly ash

2.2 飞灰中重金属的形态分布
从图2可以看出:由于重金属的不同理化性质,导致其在飞灰中存在的形态有较大的不同,酸可交换态中Cd的质量分数最大(占26.97%),其次为Zn(占17.44%);可迁移态(F1+F2+F3)质量分数最大的是Zn (占45.75%),其次为Cd(占40.14%),这2种重金属可迁移态比例较高这可能与飞灰中Cl的含量及Zn和Cd易挥发有关[21]。由此可见:飞灰中Zn和Cd的迁移性较高,会随环境pH等变化而变化,具有潜在的环境危害。具体来讲,重金属Cu主要以残渣态存在(质量分数为69.09%),其次是可氧化态(质量分数为19.98%),酸可交换态比例较高为6.84%;重金属Pb主要以残渣态存在(质量分数为74.76%),其次是可氧化态(质量分数为13.61%),酸可交换态比例最小为3.94%;重金属Cd主要以残渣态存在(质量分数为63.91%),其次是酸可交换态(质量分数为26.97%);重金属Cr,Ni和Mn主要以残渣态存在,质量分数分别为93.45%,82.35%和4.54%。虽然重金属Cu,Pb,Cr,Ni和Mn可迁移态的比例相对较低,但是,由于飞灰中这些重金属的质量分数高,若在飞灰填埋前采用水泥固化方式预处理,也难以保证这些重金属在酸雨自然条件下的稳定性,因此,这些重金属也有巨大的环境风险。

图2 焚烧飞灰中重金属每一步萃取量的质量分数
Fig. 2 Mass fraction of each step extraction quantity metals in total metals of fly ash
2.3 飞灰水洗前后重金属的高温挥发特性
表3所示为水洗后飞灰中重金属的质量分数。对比表2与表3可以看出:水洗灰中Pb,Cu和Zn的质量分数均比原灰中的高,而Cd的质量分数降低,因此,在水洗过程中会有部分Cd被去除。考虑水洗的质量损失情况,重金属Pb,Cu,Cd和Zn有部分溶解进入水洗液。另外,水洗前后飞灰中重金属的质量分数不同还取决于飞灰中的重金属在水洗过程中向液相转移以及在固相中浓缩这2个不同过程共同作用,本研究可以看出Cd的浸出作用大于浓缩作用,而Cu,Zn和Pb的浸出作用则相反。
表3 水洗后飞灰中重金属的含量
Table 3 Heavy metals contents in fly ash with pre-treatment of water washing

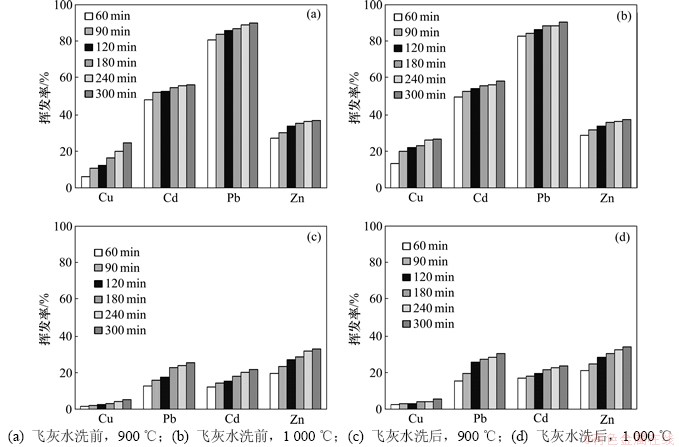
对飞灰水洗前后在不同温度(900和1 000 ℃)及不同停留时间(60,90,120,180,240,300 min)条件下重金属Cu,Pb,Zn,Cd的挥发情况进行比较(图3)。从图3可以看出:飞灰水洗后4种重金属的挥发率比未水洗飞灰重金属的挥发率大大降低,其中原始飞灰中Pb表现出易挥发特性,挥发率超过80%,而Cu挥发性很小,挥发率<30%,综合来看,飞灰中重金属的挥发性由大至小依次为:Pb,Cd,Zn和Cu。低沸点金属Pb和Cd具有较高的蒸汽压,热处理过程中很难与飞灰中的矿物盐发生深度化学反应形成稳定的化合物,所以在热处理过程中极易变为气态,故它们的挥发率均较高[22]。水洗飞灰中Zn的挥发率最高(超过20%),而Cu挥发性最小,水洗飞灰中重金属的挥发性由大至小依次为Zn,Pb,Cd和Cu。在受热时间为120 min、加热温度为900 ℃条件下,飞灰水洗前后Zn,Pb,Cd和Cu的挥发率分别降低了6.87%,70.24%,34.73%和9.52%,可见水洗对Pb和Cd挥发抑制效果最好。

图3 飞灰水洗前后高温过程中重金属的挥发特性
Fig. 3 Volatilization characteristic of heavy metals in fly ash before and after water washing
从图3可以看出:飞灰水洗前后同一种重金属无论是在900 ℃还是在1 000 ℃条件下,在时间为1~5 h受热时间范围其挥发率相差不大,表明飞灰中重金属的挥发受时间影响比较小,这对于易于挥发的金属Pb和Cd表现尤为明显。Jacob等[22-23]研究也证实在1 100 ℃空气气氛下,Cd和Pb的挥发率很高,与Cd和Pb的熔沸点较低有关。
由图3(a)和图3(b)可以看出:飞灰中Cu和Zn的挥发特性与Pb和Cd有所区别,但区别不是很大。在900 ℃条件下,Cu的挥发率总体很低,但在60~300 min,其挥发率增加要比其他3种金属快,而Zn挥发率在前120 min内增加较快,在120~300 min挥发较慢,曲线较平坦;在1 000 ℃条件下,Cu在前90 min挥发较快,而Zn在整个时间范围内挥发率变化较小,总体来讲Cu比其他3种重金属难挥发。Cu的挥发率较Pb和Cd的低,与其存在形式有关。飞灰中Cu可能不是以CuCl2为主要形式,可能以CuO或CuS存在,因为CuCl2沸点为993 ℃[24]。由图2可知:当温度在900~1 000 ℃时,Cu挥发率增加比较缓慢,可以认为Cu主要以氯化物以外其他形式存在。
许绿丝等[25]根据重金属挥发性分为亲铜金属与亲铁金属,亲铜金属在高温下极易挥发,Cu属于亲铜金属,但本实验中Cu的高挥发性表现并不明显,而表现出最低。PbO熔点为886 ℃,沸点为1 472 ℃,难分解而易挥发,950 ℃时挥发已显著;PbCl2熔点498 ℃,沸点954 ℃[26]。而飞灰中Pb可能以PbO和PbCl2形式存在,因此,在900~1 000 ℃挥发较剧烈且迅速。本实验验证了Pb在高温下的强烈挥发特性。飞灰中Cd可能以CdO和CdCl2形式存在,而CdO熔点为568 ℃,沸点也仅为964 ℃[27]。
在氧化性气氛下,在900~1 100 ℃范围内,飞灰中的重金属Pb和Cd有很高的挥发率,而Cu和Zn相对较小。这可能是由于重金属Pb和Cd主要以氯化物的形式存在于飞灰中,因金属氯化物的沸点较其他形态化合物低,易于挥发,而飞灰中大部分Zn以氧化物(ZnO)的形式存在于飞灰中,当飞灰被加热时,ZnO会与飞灰中的主要成分SiO2和A12O3发生如下反应:
ZnO+SiO2→Zn2SiO4 (2)
ZnO+A12O3→ZnAl2O4 (3)
生成稳定的硅锌矿(Zn2SiO4)和尖晶石(ZnAl2O4),从而抑制了飞灰中Zn的挥发,Cu可能与其本身难以挥发性质有关。这一实验结果证实了文献[25, 30-31]的研究结果。而水洗后飞灰中Zn的存在形式发生变化,导致式(2)及式(3)不能发生,结果Zn的挥发率较Pb及Cd的挥化率高。
2.4 飞灰水洗前后SEM-EDS分析
图4所示为水洗前后飞灰的SEM图。观察图4可以发现:水洗后的飞灰与未洗的飞灰微观形貌不同,水洗后飞灰中的小颗粒减少,絮状体减少,颗粒表面光滑,颗粒的轮廓清晰,一些易溶解的物质可能被清除。这也说明了水洗过程去掉了大量的水溶性氯化物(如NaCl,CaCl2和KCl等),导致其他物质被浓缩而含量增高。张玲等[14]研究表明水洗过程对飞灰中Cl,Na,K和Ca元素具有一定的去除效果,尤其是Cl元素的去除率在液固比为10 L/kg时可达到60%,KC1和NaC1是水洗过程中K,Na和Cl元素的主要去除形态,本次研究与此结论比较吻合。
由图3可以看出:飞灰经过水洗预处理Pb和Cd的挥发性降低最多,其次为Cu,而Zn变化不大,并且重金属的挥发率在60~300 min温度范围内较水洗前减小明显。从表1可知:飞灰中Cl含量较高,这些Cl主要存在形态包括NaCl,KCl,CaCl2,CaClOH 以及类佛罗德盐(Friedel salt)[28],而可溶性氯盐是造成烧结过程中重金属挥发的一个重要原因[26-27, 29]。NaCl和KCl在纯水中的溶解度分别为5 mol/L和4 mol/L,在溶液中可能的溶出机制为迁移控制,在水洗过程中,可溶性氯盐会溶解,使飞灰中的氯盐含量大为降低[29],从而降低了重金属的挥发率,这与文献[14, 30-31]研究飞灰中添加氯可以促进重金属挥发结论相吻合,从图5也可以看出飞灰水洗后Cl的去除情况。

图4 水洗前后飞灰的SEM图谱
Fig. 4 SEM photographs of fly ash before and after water washing

图5 水洗前后飞灰的EDS图谱
Fig. 5 EDS photographs of fly ash before and after water washing
飞灰排到环境造成污染的原因是其重金属超标、呈强碱性,并且还含有一定浓度的二噁英,其可溶盐含量偏高促使了重金属在环境中的溶出。但是某些处置方式可以不考虑飞灰中的重金属并且能够消除二噁英,如利用飞灰制水泥的过程,水泥的消耗量极大,利用其他工业固体废物如粉煤灰、高炉渣和磷石膏等生产水泥已经取得成功经验[32]。目前的主要症结在于飞灰中含有较多的氯化物,水泥原材料中的氯离子在新型干法水泥生产中直接对预热器和窑煅烧产生影响,造成结圈和堵料等事故,影响设备正常运转和水泥熟料质量[33]。本次研究不但可以有效去除氯的含量,还可以有效抑制高温过程中重金属的挥发,研究结果可为飞灰熔制生态水泥、飞灰高温熔融安全处置提供理论依据。
3 结论
(1) 飞灰中重金属Zn,Pb和Mn质量分数较高,Ni的质量分数较低,而毒性较大的Cd质量分数达到29.4 mg/kg,水洗灰中Pb,Cu和Zn的质量分数均比原灰中高,而Cd的质量分数降低。
(2) 飞灰中重金属酸可交换态中Cd的质量分数最大,占26.97%,其次为Zn,占17.44%,具有很强的潜在迁移活性;重金属Cr,Ni和Mn主要以残渣态存在,分别占93.45%,82.35%和74.54%。
(3) 在高温处置过程中,飞灰中Pb表现出最易挥发的特性,其挥发率超过80%,而Cu挥发性较小,其挥发率<30%,4种重金属的挥发性从大至小依次为:Pb,Cd,Zn,Cu;在高温条件下,飞灰中重金属的挥发率受温度的影响较大,而停留时间的延长对重金属挥发作用效果较小,并且易挥发元素Pb和Cd表现尤为明显。
(4) 飞灰水洗后,重金属的挥发率有显著的改变,水洗飞灰中Zn的挥发率最高,超过20%,而Cu挥发性最小,水洗飞灰中重金属的挥发性从大至小依次为:Zn,Pb,Cd,Cu;在受热时间为120 min、加热温度为900℃条件下,飞灰水洗前后Zn,Pb,Cd和Cu的挥发率分别降低6.87%,70.24%,34.73%和9.52%,水洗脱氯是重金属挥发性降低的主要原因。
参考文献:
[1] Nam S, Namkoong W. Irradiation effect on leaching behavior and form of heavy metals in fly ash of municipal solid waste incinerator[J]. Journal of Hazardous Materials, 2012, 199/200(15): 440-447.
[2] Kavouras P, Kaimakamis G, Ioannidis T A, et al. Vitrification of lead-rich solid ashes from incineration of hazardous industrial wastes[J]. Waste Management, 2003, 23(4): 361-371.
[3] Macakova S, Hepworth M T, Pliesovska N, et al. Immobilization of heavy metals from MSW incinerator ash via use of sorel cement[J]. Journal of Solid Waste Technology Management, 1995, 24(1): 27-36.
[4] Wang S B, Terdkiatburana T, Tade M O. Single and co-adsorption of heavy metals and humic acid on fly ash[J]. Separation and Purification Technology, 2008, 58(3): 353-358.
[5] Katsuura H, Inour T, Hiraoka M, et al. Full-scale plant study on fly ash treatment by the acid extraction process[J]. Waste Management, 1996, 16(5/6): 491-499.
[6] Ahmaruzzaman M. A review on the utilization of fly ash[J]. Progress in Energy and Combustion Science, 2010, 36(3): 327-363.
[7] Nowak B, Rocha S F, Aschenbrenner P, et al. Heavy metal removal from MSW fly ash by means of chlorination and thermal treatment: Influence of the chloride type[J]. Chemical Engineering Journal, 2012, 179(1): 178-185.
[8] Wang Q H, Yang J, Wang Q, et al. Effects of water-washing pretreatment on bioleaching of heavy metals from municipal solid waste incinerator fly ash[J]. Journal of Hazardous Materials, 2009, 162(2/3): 812-818.
[9] 蒋建国, 赵振振, 王军, 等. 焚烧飞灰水泥固化技术研究[J]. 环境科学学报, 2006, 26(2): 230-235.
JIANG Jianguo, ZHAO Zhenzhen, WANG Jun, et al. Study on cement solidification technology in treating with fly ash[J]. Acta Scientiae Circumstantiae, 2006, 26(2): 230-235.
[10] Wang K S, Chiang K Y, Lin K L, et al. Effects of a water-extraction process on heavy metal behavior in municipal solid waste incinerator fly ash[J]. Hydrometallurgy, 2001, 62(2): 73-81.
[11] 李小东, 刘阳生. 飞灰水洗脱氯及其烧结稳定化的试验研究[J]. 北京大学学报(自然科学版), 2007, 43(6): 752-758.
LI Xiaodong, LIU Yangsheng. A study on chloride extraction and sintering stabilization of MSWI fly ash[J]. Acta Scientiarum Naturalium Universitatis Pekinensis, 2007, 43(6): 752-758.
[12] 郑鹏, 刘建国, 刘锋, 等. 垃圾焚烧飞灰磷酸洗涤对重金属的固定效应研究[J]. 环境工程学报, 2007, 1(1): 121-126.
ZHENG Peng, LIU Jianguo, LIU Feng, et al. Effects of phosphoric acid washing on immobilization of heavy metals in municipal solid waste incineration fly ash[J]. Chinese Journal of Environmental Engineering, 2007, 1(1): 121-126.
[13] Nzihou A, Sharroek P. Calcium phosphate stabilization of fly ash with chloride extraction[J]. Waste Management, 2002, 22(2): 235-239.
[14] 张玲, 席北斗, 李秀金, 等. 水洗过程对垃圾焚烧飞灰浸出特性的影响[J]. 环境科学究, 2007, 20(4): 130-133.
ZHANG Ling, XI Beidou, LI Xiujin, et al. Effects of water-extraction process on leaching characteristics of municipal solid waste incineration fly ash[J]. Research of Environmental Sciences, 2007, 20(4): 130-133.
[15] 严建华, 李建新, 池涌, 等. 垃圾焚烧飞灰重金属蒸发特性试验分析[J]. 环境科学, 2004, 25(2): 170-173.
YAN Jianhua, LI Jianxin, CHI Yong, et al. Characteristic analysis of heavy metals' evaporation of MSWI fly ash[J]. Chinese Journal of Environmental Science, 2004, 25(2): 170-173.
[16] Liu J Y, Sun S Y. Application of flame atomic absorption spectrometry to the analysis of heavy metals chemical speciation in sludge incineration fly ash[J]. Metallurgical Analysis, 2011, 31(3): 17-23.
[17] 吴荣, 李清海, 蒙爱红, 等. 垃圾焚烧中吸附剂对Pb、Cd迁移分布的影响[J]. 环境科学, 2009, 30(7): 2174-2178.
WU Rong, LI Qinghai, MENG Aihong, et al. Effects of adsorbents on partitioning of Cd and Pb in MSW incineration[J]. Chinese Journal of Environmental Science, 2009, 30(7): 2174-2178.
[18] 王雷, 金宜英, 聂永丰, 等. 添加剂和水洗对焚烧飞灰烧结过程中重金属迁移特性的影响[J]. 环境科学, 2009, 30(4): 1232-1237.
WANG Lei,JIN Yiying, NIE Yongfeng, et al. Effect of additive and washing pre-treatment on heavy metal vaporization during sintering process of MSWI fly ash[J]. Chinese Journal of Environmental Science, 2009, 30(4): 1232-1237.
[19] 聂永丰. 三废处理工程技术手册: 固体废物卷[M]. 北京: 化学工业出版社, 2000: 286-385.
NIE Yongfeng. Handbook of solid waste treatment[M]. Beijing: Chemical Industry Press, 2000: 286-385.
[20] 孙路石, 李敏, 向军, 等. 城市生活垃圾焚烧灰渣的特征[J]. 华中科技大学学报(自然科学版), 2009, 37(8): 77-79.
SUN Lushi, LI Min, XIANG Jun, et al. Characteristics of the ash deposits from incinerated municipal solid waste[J]. Journal of Huazhong University of Science and Technology (Natural Science Edition), 2009, 37(8): 77-79.
[21] Abanades S, Flamant G, Gagnepain B, et al. Fate of heavy metals during municipal solid waste incineration[J]. Waste Management and Research, 2002, 20(1): 55-68.
[22] Jacob A, Stucki S, Struis R P W J. Complete heavy metal removal form fly ash by heat: Influence of chlorides on evaporation rate[J]. Environment Science and Technology, 1996, 30(11): 3275-3283.
[23] Shimaoka T, Hanashima M. Behavior of stabilized fly ashes in solid waste landfills[J]. Waste Management, 1996, 16(5/6): 545-554.
[24] Vassilev S V, Braekman-Danheux C, Laurent P H, et al. Behaviour, capture and inertization of some trace elements during combustion of refuse-derived char from municipal solid waste[J]. Fuel, 1999, 78(26): 1131-1138.
[25] 许绿丝, 程俊峰, 曾汉才. 煤燃烧过程中痕量元素As、Cd、Cr释放特性实验研究[J]. 热能动力工程, 2004, 19(5): 478-482.
XU
shi, CHEN Junfeng, ZENG Hancai. Experimental investigation of the release characteristics of trace elements As, Cd and Cr during the combustion of coal[J]. Journal of Engineering for Thermal Energy and Power, 2004, 19(5): 478-482.
[26] Chan C C Y, Donald W K. Behaviour of metal under the conditions of roasting MSW ineinerator fly ash with chlorinating agents[J]. Journal of Hazardous Materials, 1999, 64(1): 75-89.
[27] Chan C, Charles Q J, John W G, et al. The behaviour of selected heavy metals in MSW incineration electrostatic precipitator ash during roasting with chlorination agent[J]. Journal of Hazardous Materials, 1996, 50(1): l-13.
[28] Eighmy T T,EusdenJD, KrzanowskiJ E,et al. Comprehensive approach toward understanding element speciation and leaching behavior in municipal solid waste incineration electrostatic precipitator ash[J]. Environmental Science and Technology, 1995, 29(3): 629-646.
[29] 王琪, 田书磊, 汪群慧, 等. CaCl2对垃圾焚烧飞灰热处理特性的影响[J]. 环境科学研究, 2006, 19(5): 180-183.
WANG Qi, TIAN Shulei, WANG Qunhui, et al. The Effect of CaCl2 on the heat treatment of MSWI fly ash[J]. Research of Environmental Sciences, 2006, 19(5):180-183.
[30] 胡小英, 田书磊, 闫大海, 等. 氯化剂对垃圾焚烧飞灰中重金属挥发特性的影响[J]. 中国环境科学, 2008, 28(7): 614-619.
HU Xiaoyin, TIAN Shulei, YAN Dahai, et al. The effect of chlorination agents on the volatilization of heavy metals in fly ash from municipal solid waste incinerator[J]. China Environmental Science, 2008, 28(7): 614-619.
[31] 吕晓蕾, 韦琳, 刘阳生, 等. 不同氯化物作用下垃圾焚烧飞灰中重金属挥发特性研究[J]. 北京大学学报(自然科学版), 2011, 47(8): 1-6.
L
Xiaolei, WEI Lin, LIU Yangsheng, et al. Effect of chlorine-containing compounds on evaporation of heavy metals in secondary gasification of fly ash from municipal solid waste incinerator[J]. Acta Scientiarum Naturalium Universitatis Pekinensis, 2011, 47(8): 1-6.
[32] Guerrero A, Goni S, Macias A. Durability of new fly ash-belite cement mortars in sulfated and chloride medium[J]. Cement and Concrete Research, 2000, 30(8): 1231-1238.
[33] Wang B W, Hou Y B, Zhang F, et al. Preparation of bittern-resisting cement used by fly ash[J]. Procedia Earth and Planetary Science, 2009, 1(1): 736-741.
(编辑 何运斌)
收稿日期:2013-07-17;修回日期:2013-10-12
基金项目:国家自然科学基金资助项目(51308132);广东省高校优秀青年创新人才培养项目(2012LYM_0055; LYM11059);广东省自然科学基金资助项目(S2013040013022);广东省科技计划项目(2012B050300023);广东省部产学研结合项目(2011B090400161,2011B090400144)
通信作者:刘敬勇(1979-),男,河南南阳人,博士,副教授,从事固体废弃物处理处置及重金属污染控制研究;电话:020-39322290;E-mail: www053991@126.com