重力影响下的接触网运动微分方程
李丰良1, 李 敏1, 唐建湘2
(1.中南大学 土木建筑学院,湖南 长沙,410075;
2.中南大学 信息科学与工程学院,湖南 长沙,410075)
摘要: 针对电气化铁路接触网动力学分析中重力作用的特性,运用基本结构与载荷分离的模式,建立重力影响下的接触网运动微分方程。受电弓与接触网的动态接触与一般的动力学系统不同,在不同时刻弓网系统的静平衡位置不同,弓网系统的重力影响不可忽略。在重力作用下的接触网是悬链形,弓网接触力在一个跨距内呈现规律的起伏变化。在不忽略这种系统的重力影响时,把承力索和接触导线当作基本结构,吊弦、定位器当作作用在基本结构上的荷载,支撑杆当作弹性支座,建立运动微分方程。
关键词: 接触网; 弓网耦合; 重力影响; 计算机仿真
中图分类号:U225.3 文献标识码:A 文章编号: 1672-7207(2005)04-0673-05
Differential equations of catenary’s motion influenced by gravity
LI Feng-liang1, LI Min1, TANG Jian-xiang2
(1. School of Civil and Architectural Engineering, Central South University, Changsha 410075, China;
2. School of Information Science and Engineering, Central South University, Changsha 410075, China)
Abstract:Based on separating the crucial structure and loads, the motional differential equations of catenary were established for the catenary specially influenced by gravity of electrification railway catenaries. Unlike the common dynamic systems, pantograph and catenary are dynamically contacted, and the static balance position of pantograph-catenary system changes at different time, so the gravity influence cannot be neglected. The catenary’s shape influenced by gravity is curve, and the pantograph-catenary contact force changes regularly with pattern during one span. By emphasizing the gravity effects, using upper wires and contact wires as the crucial structure, slings and positioner as loads on structure, and supports as elastic stand, the catenary’s differential equations of motion were established under gravity.
Key words: catenary; catenary-pantograph coupling; gravity influence; computer simulation
利用计算机仿真对弓网系统进行优化设计,是一种节约成本、提高效益的高科技技术。国内外学者在这一领域进行很多研究[1-9]。但是,迄今为止,对弓网系统进行动态仿真时都没有考虑接触网的重力影响,认为重力可以被接触网的拉力平衡[10]。
根据振动理论[9,11],重力通常被弹簧的静变形力抵消。对这类振动系统的运动微分方程,只要取静平衡位置为坐标原点,重力就可以不计。对于接触网,在静态条件下,重力影响可以与接触网的拉力平衡,但由于重力影响下的接触网呈现一种变弹性特性[12,13],当受电弓与接触网动态接触时,不同位置的静平衡位置也不相同。因此,动态条件下的弓网系统,只有在考虑重力的影响之后,才能得到更准确的仿真计算结果。
1 接触网的力学模型
对接触网进行如下简化:只考虑接触网的垂向振动,将把吊弦简化为两端为集中质量,中间为弹簧的弹簧质量系统;支撑杆简化为一个单自由度的弹簧质量系统。由于不考虑横向振动,限位器可简化为附加于接触网上的集中质量。承力索和接触导线具有相似的力学性能,它们既有抗拉能力,又有抗弯能力。对于目前广泛使用的全补偿锚端结构,取一个锚段为研究对象,该锚段的端点可简化为固定铰链支座。定位器用铰链与支撑杆连接,阻尼很小。然而,在对弓网的仿真分析中发现阻尼可以有效地改善接触网的动态特性[14,15],可是,无论是承力索还是接触导线,都很难改变它们的阻尼特性。如果在定位器的铰链上安装阻尼器来调整接触网的阻尼,将有可能用廉价的方法提高弓网运行品质。因此,假设定位器是一种带有阻尼器的装置,整个接触网的力学模型如图1所示。其中:L为锚段长度;KDr为x=xr处吊弦刚度;Sa 为承力索拉力;mDr为x=xr处吊弦质量;Sb为接触线拉力;EIa为承力索抗弯刚度;ρa 为承力索线密度;EIb为抗弯刚度;ρb为接触导线线密度;KAr为支撑杆垂向振动等效刚度;mAr为支撑杆垂向振动等效质量;mBr为支撑杆横向振动等效质量。

图 1 接触网的力学模型图
Fig. 1 Mechanical model of catenary
2 接触网的运动微分方程解析
将承力索和接触导线看作具有抗弯能力的拉索,支撑杆看作接触网的支座,吊弦看作是作用于承力索和接触导线上的荷载,定位器看作是作用于接触导线上的荷载,这样只要导出承力索和接触导线的运动微分方程,再按照一定规则把吊弦、定位器等部件添加到承力索和接触导线的运动微分方程中,就可得到整个接触网的运动微分方程。
2.1 承力索和接触导线的运动微分方程
由于承力索和接触导线的力学性能相似,可在承力索或接触导线上任取一长度为dx的单元体,称为“索单元”,其受力情况如图2所示。其中:S为承力索或接触导线拉力;C为承力索或接触导线单位长度阻尼;M为承力索或接触导线弯矩;ρ为索单元体的线质量;Q为承力索或接触导线剪力;F(x,t)为承力索或接触导线上垂向荷载集度(重力除外);ρg为重力集度。

图 2 索单元受力图
Fig. 2 Force sketch of chain elements
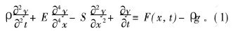
根据振动理论,对于图2所示的弹性体,可以得到如下偏微分方程:

式(1)的解可以写成:

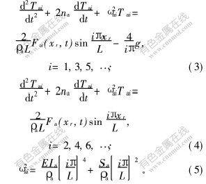
将式(2)代入式(1),利用特征向量的正交性,并注意到吊弦、支承杆、限位器以及受电弓都只在距离锚端为xr的位置对承力索或接触导线提供集中力,分别把承力索和接触导线看成拉索,就可以得到在重力影响下承力索和接触导线的运动微分方程:

只要将式(3),(4)和(5)中的下标a换成b,就可得到了接触导线的运动微分方程。
2.2 支撑杆在承力索运动微分方程中的贡献值
支撑杆被简化为一个无阻尼的单自由度的弹簧质量系统。设第r个支撑杆的垂向刚度系数为KAr,垂向归算质量为mar。如果一个锚段内有ω个支撑杆,第r个支撑杆作用在承力索上的力为Fa1(xr,t),则这些支撑杆在承力索运动微分方程中的贡献值为:

2.3 吊弦在承力索和接触导线运动微分方程中的贡献值
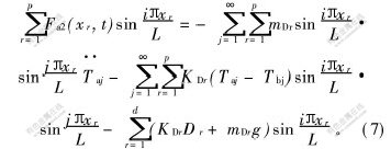
1根吊弦,中间是1根钢丝绳或钢丝,两端通过线夹与承力索和接触导线连接。中间的钢丝绳简化为无质量的弹簧,它的质量等分到2个线夹上,线夹可以看作是理想的集中质量。对于重力影响下的接触网运动微分方程,其吊弦的重力不能略去。设一个锚段内有p个吊弦,第r个吊弦的静伸长为Dr,作用在承力索的力为Fa2(xr,t),则这些吊弦在承力索运动微分方程中的贡献值为:

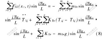
设第r个吊弦作用在接触导线上的力是Fb2(xr,t),这些吊弦在接触导线的微分方程中的贡献值为:

2.4 定位器在接触导线微分方程中的贡献值
可将定位器看作一个刚性杆,用等效质量的方法可以把它简化为作用于接触导线上的集中质量。第r个定位器对接触导线的拉力为SBr,倾角为α,其质量为mBr。设定位器与支撑杆的铰链上安装有阻尼器,其阻尼值为CBr,则1个跨距内所有定位器对于接触导线运动微分方程的贡献值为:

式中,Fb1(xr,t)是第r个定位器作用于接触线的所有垂向分力的合力。
3 接触网的运动微分方程总成
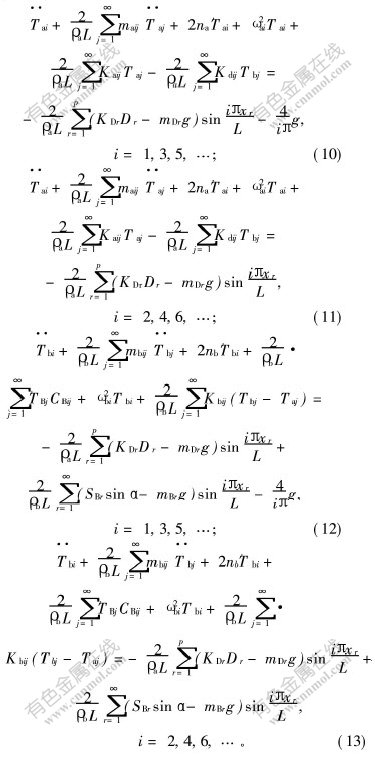
由于把接触网看作是一个以承力索和接触导线为主体,吊弦、定位器看作它上面的集中质量,支撑杆为支座的结构。因此,只要把式(6)~(9)代入式(5)就得到接触网的整体方程。

其中:maij,Cbij,Kaij和Kdij(i=1,2,…)为化简方程式得到的常数。

4 结 论
a. 对于运动微分方程,无论怎样取坐标原点,都不能忽略重力项,这与一般的动力学系统不同。一般的动力学系统可以通过取静平衡位置为坐标原点忽略运动微分方程中的重力的影响,得到一个与重力无关的运动微分方程。
b. 利用运动微分方程就可以对接触网的运动进行分析,求解接触网的固有频率、主振型以及静态曲线等。
c. 对于工程上的接触网,如果没有重力的影响,其形状将是一种上下近似对称的曲线,弓网耦合的理论需要重新建立。
d. 重力对弓网系统的影响主要表现在机车运动时受电弓对接触网的动态接触过程中,因此,要正确评价重力对接触网的影响,必须采用受电弓与接触网的动态接触过程中的耦合特性指标。
参考文献:
[1]电气化工程局电气化勘测设计院.高速铁路牵引供电技术研究[M].北京:中国铁道出版社,1995.
Electrification Survey Design and Research Institute, Electrification Engineering Bureau. High speed railway drawing and electricity technology research[M]. Beijing: China Railway Press, 1995.
[2]翟婉明.高速列车—轨道垂向耦合动力学研究[J].铁道学报, 1997, 19(4): 16-21.
ZHAI Wan-ming. A study of coupling dynamics of high speed train in and track systems[J]. Journal of the China Railway Society, 1997, 19(4): 16-21.
[3]张卫华,梅桂明,陈良麒.接触线驰度及表面不平顺对接触受流的影响分析[J].铁道学报, 2000,22(6): 50-54.
ZHANG Wei-hua, MEI Gui-ming, CHEN Liang-qi. Analysis of the influence of catenarys sag and irregularity upon the quality of current-feeding[J]. Journal of the China Railway Society, 2000, 22(6): 50-54.
[4]付秀通,詹斐生.轮轨—弓网系统耦合动力学数值模拟分析与实验研究[J].铁道学报, 1998, 20(3): 25-32.
FU Xiu-tong, ZHAN Fei-sheng. Numerical simulation and experimental studies of coupling dynamics of wheel/rail-pantograph/catenary whole system[J]. Journal of the China Railway Society, 1998, 20(3): 25-32.
[5]蔡成标,翟婉明.高速铁路受电弓—接触网系统动态性能仿真研究[J].铁道学报, 1997, 19(5): 38-43.
CAI Cheng-biao, ZHAI Wan-ming. Study on simulation of dynamic performance of pantograph-catenary system at high speed railway[J]. Journal of the China Railway Society,1997, 19(5): 38-43.
[6]于万聚.高速接触网—受电弓系统动态受流特性研究[J].铁道学报,1993,15(2): 16-27.
YU Wang-ju. High speed catenary-pantograph system dynamic feed characteristic study[J]. Journal of the China Railway Society, 1993, 15(2): 16-27.
[7]吴天行.弓网高速动态受流仿真研究[J].铁道学报,1996, 18(4): 55-61.
WU Tian-xing. Study of current collection high form catenary-pantograph at speed dynamic feed simulation[J]. Journal of the China Railway Society, 1996, 18(4): 55-61.
[8]张卫华.高速受电弓—接触网系统的动力学研究[J].铁道学报,1991,13(1): 105-111.
ZHANG Wei-hua. Dynamics study of high speed pantograph-catenary system[J]. Journal of the China Railway Society, 1991, 13(1): 105-111.
[9]付秀通.轮/轨—弓/网系统耦合动力学数值模拟分析与研究[D].北京:铁道部科学研究院,1996.
FU Xiu-tong. Numerical simulated analytical and study of wheel/railway-pantograph/catenary system coupling dynamics[D]. Beijing: China Academy of Railway Sciences, 1996.
[10]清华大学工程力学系固体力学教研组振动组.机械振动[M].北京:机械工业出版社,1980.
Vibration Section of Solid Mechanics Teaching and Researching Section, Engineering Mechanics Department, Tsinghua University. Mechanical vibration[M]. Beijing: China Machine Press, 1980.
[11]哈尔滨工业大学理论力学教研室.理论力学[M].北京:高等教育出版社, 1997.
Theoretical Mechanics Teaching and Research Section, Harbin Institute of Technology. Theoretical mechanics[M]. Beijing: Higher Education Press, 1997.
[12]于万聚.接触网设计及检测原理[M].北京:中国铁道出版社,1991.
YU Wan-ju. Design and test theory of catenaries[M]. Beijing: China Railway Press,1991.
[13]李伟.接触网[M].北京:中国铁道出版社,2000.
LI Wei. Catenaries[M].Beijing: China Railway Press, 2000.
[14]李丰良,唐松花.受电弓的力学分析示例[J].铁道学报, 2000, 22(5): 21-23.
LI Feng-liang, TANG Song-hua. Examples for mechanical on pantograph[J]. Journal of the China Railway Society, 2000, 22(5): 21-23.
[15]李丰良,粟谦,孙焰.接触网的力学模型以及运动微分方程[J].长沙铁道学院学报, 1996, 14(2):90-93.
LI Feng-liang, SU Qian, SUN Yan. The dynamic model and differential equations of the catenary[J]. Journal of Changsha Railway University, 1996, 14(2): 90-93.
收稿日期:2004-10-12
基金项目:铁道部科技发展计划项目(2003J002)
作者简介:李丰良(1954-),男,河北邯郸人,教授,从事力学和弓网系统研究
论文联系人: 李丰良,男,教授;电话:0731-2655105(O);E-mail:gsgw@mail.csu.edu.cn