文章编号:1004-0609(2007)02-0207-09
三剪屈服准则及其在极限内压计算中的应用
胡小荣1, 林太清2
(1. 南昌大学 建筑工程学院,南昌 330031;2. 福州大学 土木工程学院,福州 350002)
摘 要:通过考虑十二面体单元三个主剪面应力对的共同作用,提出了材料的三剪屈服准则,其特点是通过改变准则中的中间主应力效应参数b就能精确表达常用的Tresca屈服准则、Mises屈服准则和Mohr-Coulomb强度准则。另外,还应用该准则分析了理想弹塑性薄壁圆筒、厚壁圆筒和厚壁球壳的极限内压问题,以往基于Mohr-Coulomb强度准则、Tresca屈服准则和Mises屈服准则的解均为其特例。结果表明,中间主应力效应参数b和拉压屈服极限比α对薄壁圆筒和厚壁圆筒的极限内压均有影响,但对厚壁球壳而言,仅α对其极限内压有影响。
关键词:三剪屈服准则;主剪面应力对;极限内压;圆筒;球壳
中图分类号:O 344 文献标识码:A
Triple-shear yield criterion and its applications to limit pressures
for thin and thick wall cylinders and thick wall spherical shells
HU Xiao-rong1, LIN Tai-qing2
(1. School of Civil Engineering and Architecture, Nanchang University, Nanchang 330031, China;
(2. School of Civil Engineering, Fuzhou University, Fuzhou 350002, China)
Abstract: By taking account of the actions of the whole three principal shear stresses acting on the dodecahedron element, a triple-shear yield criterion for materials was proposed. This criterion gives a unified yield expression to describe the several common used criteria such as the Tresca yield criterion, the Von Mises yield criterion and the Mohr-Coulomb failure criterion, through changing its intermediate principal stress effect parameter b. In spite of that, problems of the limit inner pressures for the perfect elasto-plastic thin and thick wall cylinders and the thick wall spherical shells were analyzed and the new unified solutions were deduced. The old solutions based on the Tresca yied criterion, the Von Mises yield criterion and the Mohr-Coulomb failure criterion were only the special cases. Detail analyses on the new solutions show that both the intermediate principal stress effect parameter b and the tensile/compressive yield limit ratio α have influences on the limit pressures for the thin wall and thick wall cylinders. But for the thick wall spherical shells, only the ratio α has.
Key words: triple-shear yield criterion; stress couples acting on the principal shear planes; limit pressure; wall cylinder; wall spherical shell
材料微观结构构造的复杂性及多样性使得其屈服特性也是多种多样的,即使是各向同性均质材料也是如此[1-3]。对于各向同性均质材料,目前应用较广的还是Tresca屈服准则、Mises屈服准则和Mohr-Coulomb屈服准则。其中,Tresca屈服准则和Mises屈服准则常用于分析各向拉、压屈服极限基本相同的材料,而Mohr-Coulomb屈服准则可用于各向拉、压屈服极限不同的材料。Tresca屈服准则通常都被认为是Mohr- Coulomb屈服准则的一个特例,但Mises屈服准则的极限线形状则与上述两者存在较大差异。从工程角度来看,不同准则所采用的不同数学表达式也会带来应用上的某些不便。如果能够在三者之间建立一个统一的表达式则是一个有意义的研究课题。在这方面,俞茂宏基于双剪的概念提出了材料的双剪统一屈服准则和双剪统一强度准则[4-5],其中,双剪统一强度准则包含了双剪统一屈服准则。与以前提出的强度和屈服准则相比,双剪统一强度准则表征的是一个准则系列,其中,Tresca屈服准则和Mohr-Coulomb准则仅为其特例,Mises屈服准则为其线性逼近。因此,该准则已得到了一定的研究应用[6-10],并写进了材料力学教科书。但分析发现,双剪统一强度准则在一定的应力状态下会存在双重滑移面和滑移面方向出现突跳的现象[11-12]。为此,本文作者基于十二面体单元“主剪面应力对”和“主剪面应力对的作用”这两个概念提出了一个三剪屈服准则表达式。该准则能够将Mohr-Coulomb 屈服准则、Tresca屈服准则作为其特例,还能对Mises屈服准则作更精确的非线性逼近。另外,由于三剪屈服准则只采用了一个表达式,不存在双重滑移角问题。本文作者还基于该准则研究了理想弹塑性薄壁圆筒、厚壁圆筒和厚壁球壳的极限内压问题。
1 三剪屈服准则表达式
基于材料剪切屈服机理建立的屈服准则一般表达式为[2-4]

按照准则中所考虑的主剪面应力的多少,可以将其分成单剪类准则、双剪类准则和三剪类准则。由12个主剪面组成的十二面体单元[4-5]如图1所示。
若将作用在十二面体单元主剪面上的3个主剪应力及相应的正应力分成3个主剪面应力对(τ13, σ13)、(τ12, σ12)、(τ23, σ23),并将其对材料屈服的作用分别定义为3个主剪面应力对的作用f1、f2、f3:

由式(1)可知,3个主剪面应力对的作用f1、f2、f3之间并不存在简单的数量关系。

图1 十二面体单元主剪面上的3个主剪面应力对
Fig.1 Three stress couples acting on principal shear planes of dodecahedral element
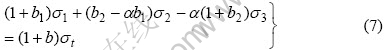
若只考虑最大主剪面应力对的作用,屈服准则为f1=C(C为材料常数),由此可导出莫尔―库仑屈服准则表达式,β=0时为Tresca屈服准则表达式。若只考虑两个相对较大主剪面应力对的作用,准则为f1+bf2=C(f2≥f3),f1+bf3=C(f2≤f3)(b为中间主剪面应力对作用的影响系数),此即为双剪统一强度准则表达式,β=0时为双剪统一屈服准则表达式。鉴于双剪统一准则采用两个表达式及相应边界条件是造成其出现滑移面突跳的原因。那么在其思想下采用一个表达式并同时考虑3个主剪面应力对的共同作用可能是一种选择,表达式为

若以(τ13, σ13)的影响为基准1,则0≤b1<1、0≤b2<1。由于式(2)式包含3个主剪面应力对,根据准则命名规则,本文作者仍称其为三剪准则。按照双剪统一准则的思想以及b1、b2的含义,b1、b2用Bishop参数的函数来表示,有b1=f1(bB)、b2=f2(bB),其中Bishop参数为[13]

本研究采用如下表达式

将式(1)代入式(2)并用主应力σ1、σ2、σ3表示得

材料常数β和C由下列单轴拉伸和单轴压缩实验得到:
1) 单轴拉伸情况:σ1=σt,σ2=0,σ1=0,此时b1=b、b2=0;
2) 单轴压缩情况:σ1=0,σ2=0, σ3=-σc,此时b1=0、b2=b。
将上面实验结果代入式(5),可得材料常数为

将式(6)代入式(5)得

将式(4)代入式(7),即得到三剪屈服准则式为

根据文[11-12]的分析,双剪统一屈服准则存在双重滑移角问题的根本原因是该准则采用了两个联立表达式而引起的。与双剪统一屈服准则相比,文中的准则表达式只有一个, 故在任何应力状态下都不会存在双重滑移角问题。
2 三剪屈服准则极限线及实验对比
2.1 σ-τ组合应力状态下的三剪屈服准则极限线及实验对比
利用薄壁圆筒在轴向力和扭矩作用下产生的σ-τ组合应力对材料进行屈服和强度实验国内外已做很多,本研究将引用其中的一些典型实验成果来验证所提准则。
σ-τ组合应力状态下的3个主应力为

将式(9)代入式(8)得

图2(a)和(b)所示分别为α=1和α=0.5时由(9)式作出的不同b值的σ-τ组合应力状态的极限线;图2(c)所示为b=1时作出的不同α值的σ-τ组合应力状态的极限线。

图2 三剪屈服准则的σ-τ组合应力状态极限线
Fig.2 Loci of triple-shear yield criterions under σ-τ stress states: (a) Loci under σ-τ stress states when α=1; (b) Loci under σ-τ stress states when α=0.5; (c) Loci corresponding to different α when b=1 under σ-τ stress states
从图2可以看出,在σ-τ组合应力状态下,三剪屈服准则极限线在b≥0情况下均为外凸型。图3所示为文献[4]所列一些实验结果与本研究所提强度准则的拟合对比情况。由图可知,该准则修正式能较好地反映不同材料的屈服和强度特征。
2.2 一般双轴和三轴应力状态下的三剪屈服准则极限线及实验对比
在一般双轴和三轴应力状态下,对该准则所作的极限线分析表明,当b满足下式时,极限线为外凸形,否则为非外凸形[14]。

图4所示为其在π平面上的外凸形极限线,图5所示为其在平面应力状态下的外凸形极限线。由图可知,当α=1时,b=0 对应于Tresca屈服准则的极限线, b =1/3 很接近Mises屈服准则的极限线;当α<1 时,b=0对应于Mohr-Coulomb强度准则的极限线,b =1/3对应一个曲六边形极限线。

图3 实验结果与三剪屈服准则极限线拟合对比
Fig.3 Comparisons loci of of experiments and triple-shear yield criterion: (a) Fitting to texperimental results of steel; (b) Fitting to experimental results of cast iron; (c) Fitting to experimental results of gray cast iron (△) and inoculated cast iron(○); (d) Fitting to experimental results of concretes with three different grades

图4 屈服准则在π平面上的极限线
Fig.4 Loci of yield criterion on π plane: (a) α=1; (b) α=0.5

图5 屈服准则在平面应力状态下的极限线
Fig.5 Loci of yield criterion under plane stress states: (a) α=1; (b) α=0.5
图6所示为屈服准则在π平面上的理论极限线与一个混凝土实验结果比较。

图6 π平面上的理论极限线与实验结果比较
Fig.6 Comparisons between the theoretical and experimental loci on the π plane: (a) α=0.5, b=1/5; (b) Concrete(by Magnas-Audibert)
3 三剪屈服准则在极限内压计算中的应用
3.1 薄壁圆筒极限内压
假设承受内压的薄壁圆筒其内径为D,壁厚度为t(t≤D),内压为p,则作用于圆筒的轴向应力σz、横截面切向应力σθ、径向应力σr分别为

令t/D=n,将式(12)代入式(8)得薄壁圆筒的极限内压解为

由式(13)可知:

而采用Mises屈服准则的极限内压解为

由于n很小,所以两者相差不大。
图7所示为在n=0.1时作出的pu/σt随b和α变化的关系图。由图可知,薄壁圆筒的极限内压随b增大而增大,σt为定值时随α减小而增大。其原因是:b大表明材料屈服的中间主应力效应明显,α小表明材料的抗压屈服极限比较大。

图7 薄壁圆筒极限内压随b和α变化的关系
Fig.7 Relationships between limit pressure of thin wall cylinder via b and α
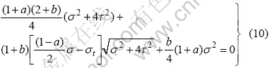
3.2 厚壁圆筒极限内压
3.2.1 弹性极限内压
长厚壁圆筒的极限荷载计算属平面应变问题,假设圆筒为不可压缩理想弹塑性材料,其内径为ra、外径为rb,承受均匀内压pa和均匀外压pb。其弹性解为

当材料处于弹性极限状态并开始屈服时,v取1/2[6-7, 15]。可知应力大小排列为:σ1=σθ、σ2=σz、σ3=σr。将式(14)代入式(8)得

由式(5)可知,r越小,等式左边的值就越大,故厚壁圆筒在内壁首先达到屈服。当外压pb保持定值时,其弹性极限内压
为

由式(16)可知:

而采用Mises屈服准则的弹性内压极限解为

图8所示为σt=300 MPa、ra/rb=1/2、pb=30 MPa情况下作出的
随b和α变化的关系图。由图可知,厚壁圆筒弹性极限内压随b增大而增大,σt为定值时随α减小而增大。

图8 厚壁圆筒弹性极限内压随b和α变化的关系图
Fig.8 Relationships between elastic limit pressure of thick wall cylinder via b and α
3.2.2 塑性极限内压
当内压pa超过式(16)的弹性极限荷载时,塑性区将由内向外扩展。由塑性区应力平衡方程、屈服条件以及边界条件
,可得塑性区应力为

塑性区外的弹性区应力为

式中 rc为塑性区半径;pc为弹塑性区边界处的径向应力,其值为

根据
,得

当rc=rb时,整个圆筒完全处于屈服状态。可知,若外压pb保持不变,则厚壁圆筒的塑性极限内压
为

由式(21)可知:

而采用Mises屈服准则的塑性内压极限解为

图9所示为ft=300 MPa、ra/rb=1/2,pb=30 MPa情况下作出的
随b和变化的关系图。由图可知,b和α对厚壁圆筒塑性极限内压的影响与弹性极限内压相似。

图9 厚壁圆筒塑性极限内压随b和α变化的关系
Fig.9 Relationsips of plastic limit pressure of thick wall cylinder via the b and α
3.3 厚壁球壳极限内压
假定厚壁球壳的内径为ra 外径为rb,承受均匀内压pa和均匀外压pb。在r、θ、φ球坐标系中,应力大小排列为:σ1=σ2=σθ=σφ、σ2=σr。代入式(8)得

式(22)与采用Mohr-Coulomb强度准则得到的表达式相同。
3.3.1 弹性极限内压
当壳体处于完全弹性状态时,应力解为

由式(22)和(23)可知,厚壁球壳将在内壁首先屈服。当外压
保持定值时,可得其弹性极限内压
为

式(24)表明,厚壁球壳的弹性极限内压仅与材料的拉压屈服极限比α有关,中间主应力对其无影响。α=1时,有

3.3.2 塑性极限内压
当
超过式(24)的弹性极限内压时,塑性区将在球壳内由内向外扩展。由塑性区应力平衡方程、屈服条件以及边界条件
,可得塑性区应力为

塑性区外的弹性区应力为

式中rc为塑性区半径;pc为弹塑性区边界处的径向应力,其值为

根据
,得

当rc=rb时,整个球壳完全处于屈服状态。可知,若外压pb保持不变,则厚壁球壳的塑性极限内压
为

由式(28)可知,厚壁球壳的塑性极限压力也与准则中的参数b无关,仅与拉压极限比α有关。α=1时,根据洛比塔法则有

4 结语
材料的屈服准则问题仍然是一个值得继续深入探讨的课题。本研究通过考虑十二面体单元主剪面上所有3个主剪面应力对的共同作用,提出了一个三剪屈服准则。该准则由于只采用了一个表达式,能克服双剪统一准则在某些应力状态下会出现双重滑移面并导致滑移面方向发生突跳的弊端,另外,通过改变准则中的参数b就能精确表达常用的Tresca屈服准则和Mohr-Coulomb强度准则,特别是Mises屈服准则。此外,还应用准则修正式分析了理想弹塑性薄壁圆筒、厚壁圆筒及厚壁球壳的极限内压问题,以往基于Mohr-Coulomb强度准则、Tresca屈服准则的解均为其特例,也能够非常逼近基于Mises屈服准则的解。分析结果表明,中间主应力效应参数b和拉压屈服极限比α对薄壁圆筒和厚壁圆筒的极限内压均有影响,薄壁圆筒的极限压力及厚壁圆筒的弹、塑性极限内压均随b增大而增大,在抗拉屈服极限
为定值时随α减小而增大,厚壁球壳的极限内压仅与α有关。需要指出的是,本研究所提屈服准则还不能像双剪统一强度准则那样可以完全覆盖理论外凸形极限线的整个区域,需要在此基础上做进一步的工作。
REFERENCES
[1] Pericles S T. Failure criteria for isotropic bodies revisited [J]. Engineering Fracture, 1995, 51(2): 239-264.
[2] YU Mao-hong. Advances in strength theories for materials under complex stress states in the 20th century [J]. Applied Mechanics Review, 2002, 55(3): 169-218.
[3] 俞茂宏. 强度理论百年总结[J]. 力学进展, 2004, 25(4): 529-560.
YU Mao-hong. Advances of strength theory in 100 years[J]. Progress in Mechanics, 2004, 25(4): 529-560.
[4] 俞茂宏. 双剪理论及其应用[M]. 北京:科学出版社, 1998. 6.
YU Mao-hong. Twin Shear Theory and Its Application [M]. Beijing: Science Press, 1998. 6.
[5] YU Mao-hong. Unified Strength Theory and Its Applications [M]. Berlin: Springer, 2003.
[6] 魏雪英, 俞茂宏. 环形板的塑性极限统一解[J]. 机械强度, 2002, 24(1): 140-143.
WEI Xue-ying, YU Mao-hong. Unified solutions for plastic limit of annular plate[J]. Journal of Mechanical Strength, 2002, 24(1): 140-143.
[7] 王延斌, 俞茂宏, 魏雪英, 等. 环形均布荷载作用下简支圆板的塑性极限分析[J]. 工程力学, 2002, 19(1): 84-88.
WANG Yan-bin, YU Mao-hong, WEI Xue-ying, et al. Unified plastic limit analyses of circular plates under uniform annular load[J]. Engineering Mechanics, 2002, 19(1): 84-88.
[8] 徐栓强, 俞茂宏. 厚壁圆筒安定问题的统一解析解[J]. 机械工程学报, 2004, 40(9): 23-26.
XU Shuan-qiang, YU Mao-hong. Unified analytical solution to shakedown problem of thick walled cylinder[J]. Chinese Journal of Mechanical Engineering, 2004, 40(9): 23-26.
[9] Ma G W, Yu M H, Yutaka M, et al. Unified solution to circular plate under portion uniform load [J]. Journal of Structural Engineering, 1995, 41A(March): 385-392.
[10] Ma G W, Shoji I, Yutaka M, et al. Plastic limit analysis of a clamped circular plats with unified yield criterion [J]. Structural Engineering and Mechanics, 1999, 7(5): 513-525.
[11] 胡小荣,周洪华. 双剪统一屈服准则中的材料屈服极限和滑移面方向分析[J]. 塑性工程学报, 2005, 12(4 ): 10-13.
HU Xiao-rong, ZHOU Hong-hua. Research on the yield limits and slip directions of the twin-shear unified yield criterion[J]. Journal of Plasticity Engineering, 2005, 12(4): 10-13.
[12] 胡小荣,魏雪英,俞茂宏. 三轴压缩下岩石强度和破坏面角度的双剪理论分析[J]. 岩石力学与工程学报, 2003, 22(7): 1093-1098.
HU Xiao-rong, WEI Xue-ying, YU Mao-hong. Characteristics of rock strength and failure under triaxial compression analyzed by twin shear theory [J]. Chinese Journal of rock mechanics and engineering, 2003, 22(7): 1093-1098.
[13] 李广信. 高等土力学[M]. 北京: 清华大学出版社, 2004. 7.
LI Guang-xin. Advanced Soil Mechanics[M]. Beijing: Tsinghua University Press, 2004.
[14] 胡小荣, 俞茂宏. 双剪强度准则修正及土压力计算[J]. 岩土工程学报, 2005, 27(3): 283-287.
HU Xiao-rong. Amendment of the twin-shear criterion and its application in earth pressure[J]. Chinese Journal of Geotechnical Engineering, 2005, 27(3): 283-287.
[15] 徐秉业, 刘信声. 应用弹塑性力学[M]. 北京: 清华大学, 1995.
XU Bing-ye, LIU Xin-sheng. Applied Plasticity Mechanics[M]. Beijing: Tsinghua University Press, 1995.
基金项目:福建省科技三项基金资助项目(K04009)
收稿日期:2006-06-22;修订日期:2006-10-28
通讯作者:胡小荣,博士,教授;电话:13970950569;E-mail:jx_hxr@126.com
(编辑 何学锋)