稀有金属 2012,36(02),297-303
30MVA直流电弧炉冶炼钛渣配碳比研究
韩丰霞 雷霆 周林 黄世弘 吕改改
昆明理工大学冶金与能源工程学院
昆明冶金高等专科学校
昆明冶金研究院
摘 要:
工业生产中,为生产出合格的钛渣必须加入适量的碳作为还原剂,将高价氧化物还原为低价氧化物。云南某公司30 MVA大型密闭直流电弧炉(DC炉)生产运行过程中,通过控制无烟煤用量与钛精矿用量之比——配碳比(ratio of anthracite to ilmenite,简称AIR),使生产在输入能量一定、钛精矿成分稳定的条件下力求获得良好的产品品质。生产通过中空石墨电极将钛精矿和无烟煤加入DC炉内,熔炼温度控制为1973~2023 K;熔炼输入功率为15 MVA;入炉钛精矿粒度为0.1~0.33 mm;入炉无烟煤粒径为5~25 mm的比例大于85%。理论上熔炼还原1 t钛精矿,将会产出526 kg渣和368 kg金属铁,O/I比率约为89.4%,理论配碳比约为7.895%。通过生产物料衡算得出,一定熔炼周期内的AIR平均值为12.228%,O/I比率平均值为81.317%。在配碳量不足的情况下,钛精矿中的FeO易于离解出氧并与碳结合,使FeO还原反应优先于TiO2等氧化物,碳最大可能的消耗在FeO的还原上;配碳量越高,则碳将用于还原难还原的氧化物(如MgO,CaO,MnO等)上,使FeO的还原受到抑制。配碳比还会影响DC电炉熔渣流动性和挂渣层。试生产熔炼周期内,通过调整AIR,实现了钛渣中TiO2品质的提高,其含量可从82%提高到89%以上。
关键词:
直流电弧炉 ;钛铁矿 ;钛渣 ;碳还原 ;配碳比 ;
中图分类号: TF823
作者简介: 韩丰霞(1983-),女,山东费县人,博士研究生;研究方向:有色金属冶金; 雷霆(E-mail:Leiting@cymco.cn);
收稿日期: 2011-08-05
基金: 国家科技部国际合作资助项目(2007DFA71490);
Ratio of Anthracite to Ilmenite of Titanium Slag Smelted by 30 MVA DC Arc Furnace
Abstract:
The adequate carbon should be fed as reductant in order to achieve qualified titanium slag,and deoxidized the highoxide to lowoxide.The domestic first 30 MVA DC arc furnace of a company in Yunnan province obtained the favorable slag by controlling the ratio of anthracite to ilmenite(AIR),in the case of certain energy input and stable component of ilmenite.The ilmenite and anthracite were put into DC furnace through hollow graphite electrode,meanwhile it was needed to control temperature between 1973 K and 2023 K,15 MVA of input power,0.10 .33 mm of partical size of ilmenite,the ratio of anthracite partical size range of 52 5 mm were more than 85%.Theoretically,deoxidizing 1t ilmenite would produce 526 kg titanium slag and 368 kg iron,and Output/Input rate was about 89.4%,the theory AIR was about 7.895%.Calculated on mass balance,the mean AIR during the smelting period was 12.228%,and output/input rate was 81.317%.With the short of anthracite,the oxygen of FeO in ilmenite would be easy to dissociate and combine with carbon;in this case,the reduction reaction of FeO would be prior to TiO2.On the other hand,with more carbon,the carbon will be used for deoxidizing the oxide that are difficult to reducte,for example,MgO,CaO,MnO and so on,and the reduction of FeO would be restrained.AIR also effects on the fluidity of molten slag and freeze lining.The content of TiO2 in the titanium slag increased to more than 89% from 82% in the trial by modulating the AIR.
Keyword:
direct current electric arc furnace;ilmenite;titanium slag;carbon reduction;ratio of anthracite to ilmenite;
Received: 2011-08-05
钛渣冶炼是一个从铁钛氧化物的矿物原料中选择性还原铁,使钛的氧化物富集的高温冶金过程。由于钛铁矿中氧化铁和二氧化钛是以尖晶石型的复杂化合物形态存在,目前仍无法用机械选矿方法使二者分离,只能采用冶金或化工的方法达到二者分离并富集二氧化钛的目的
[1 ]
。这一过程是用碳(无烟煤、石油焦、冶金焦等)作为还原剂进行生产。
随着海绵钛需求量的不断增大,我国钛材的产能、产量和消耗量分别进入世界前三名的排位
[2 ]
。但是海绵钛对原料成分要求较高,而天然金红石的产量已远远不能满足市场的需求,这就需要利用钛铁矿生产高钛渣满足海绵钛等下游产品生产的要求,通过钛铁矿的还原富集实现降低下游产品生产成本的目的
[3 ,4 ]
。云南某有色金属有限公司(以下简称云南某公司)30 MVA直流电弧炉(简称DC炉)正是利用碳热还原冶炼生产钛渣,通过配料加入还原剂无烟煤,将二氧化钛和铁分离,选用的原料是钛铁砂矿精矿,此矿除Ca O,Mg O含量稍高(1.2%~2%)外,其他非铁杂质含量较少
[5 ]
。
Pistorius提出
[6 ]
钛渣冶炼过程有诸多限制性因素:渣的成分组成、能量输入输出、钛铁矿加料速率、还原剂加料速率;针对还原剂的加料速率,他从理论上计算得出输入能量每改变1 MWh,需要增加186 kg还原碳。本文研究了云南某公司DC炉生产运行过程,以钛矿碳热还原理论作为生产控制条件的理论依据,控制无烟煤用量与钛精矿用量之比,使生产在输入能量一定、钛精矿成分稳定的条件下力求获得良好的产品品质。
1 机制及工艺
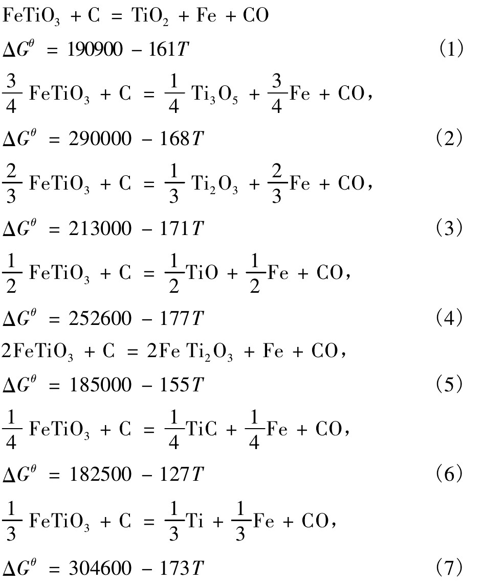
1.1 钛铁矿还原机制分析
钛铁矿是一种以偏钛酸亚铁晶格为基础的多组分复杂固溶体,其基本成分为FeTiO3 。前期研究发现冶炼过程中,钛渣化学组成一直保持理论组成M3 O5 ,其中阳离子主要是Fe2+ 和Ti3+ ,但是具体的机制尚不明确
[6 ]
。Kucukkaragoz等
[7 ]
经过分析得出钛矿的碳热还原过程分为两个阶段:第一阶段为Fe3+ →Fe2+ →Fe,Ti4+ →Ti3+ ,为固态还原过程,还原水平达到50%;第二阶段为还原剩下的50%,为Ti3+ →Ti2+ ,最终形成Ti O1-x ,为熔化造渣过程。由于钛铁矿中杂质成分种类繁多,但含量较少,固体碳还原钛铁矿的反应一般仅考虑其主要成分FeTi O3 的主要反应
[8 ,9 ,10 ,11 ,12 ]
:
DC炉炉内的还原熔炼的温度为1973~2023 K,此时,反应(1)-(7)的ΔGθ 均为负值,从热力学上说明这些反应均可以进行,在同一温度下主要按照反应(1)进行还原反应。随着炉内温度的升高,Ti O2 被还原生成低价钛的量也随之增加。钛铁矿中其他杂质组分,含量较低,且进行还原的开始反应温度较高,在2000 K左右温度下不能被还原,如MgO,CaO,Al2 O3 等;Si O2 ,Mn O等在DC炉还原熔炼温度下会发生一定的还原,但较反应(1)为次要反应,均可忽略不计。
工业生产中,为生产出合格的钛渣加入的还原剂必须适量,能够将炉内的高价氧化物,主要为Fe2 O3 还原为低价氧化物。钛铁矿冶炼钛渣实际生产中一般采用无烟煤作为还原剂,加入物料的量用配碳比表示,即无烟煤用量与钛铁矿用量之比(ratio of anthracite to ilmenite,简称AIR)。
1.2 钛铁矿熔炼工艺简介
30 MVA密闭直流电弧炉冶炼钛渣工艺流程见图1
[13 ]
。
干燥好的钛铁砂矿精矿及低灰无烟煤按一定配比,均匀地加入电炉中,在1973~2023 K的高温条件下进行还原熔炼,钛铁砂矿精矿中的铁氧化物被选择性地还原为金属铁,而钛的氧化物被富集在渣中,经渣铁分离获得钛渣和副产品金属铁
[1 ,14 ]
,由出铁口及出渣口定期排出至铁水包和渣包内。铁水排放后堵住铁水排放口,将铁水包用卡车运到生铁处理车间浇铸成锭。将渣包运到冷却区,最后用前端装载机把钛渣运送到中间库存地。渣和铁的排放口均用泥炮机用粘土堵塞。
图1 云南某公司密闭直流电弧炉熔炼钛铁矿工艺流程图
Fig.1 Ilmenite smelting process of DC arc furnace in Yunnan
炉子产生的烟气经电炉“人字型”烟管进入烟气净化系统冷却净化处理,处理后的洁净烟气可用于原料干燥、铁水包干燥预热、渣包干燥预热以及产品钛渣的干燥等。
2 试生产用原料
DC炉冶炼钛渣所用原料主要为钛精矿和无烟煤。试生产所用的钛铁砂矿精矿的化学成分及粒度分布情况见表1,2;无烟煤的化学成分见表3。
从表1中可以看出,所用的钛精矿Ti O2 品位较高,有利于电炉冶炼生产钛渣,但钛精矿中含有的CaO,MgO等杂质的量虽然较低,但不利于获得高品位的钛渣。从图2中可以看出,这些杂质在钛精矿中的分布极为分散、均匀,这也是其精选时不易分离的原因。
入炉无烟煤需经过破碎,控制粒度为5~25 mm的无烟煤大于85%;钛精矿入炉物料粒度为0.10~0.33 mm;对入炉物料粒度要求严格的原因主要是,粒度太小,入炉加料作业时容易产生飞扬,造成物料损失;粒度太大,则会影响还原熔炼还原的速度
[15 ]
。
表1 钛铁砂矿精矿化学成分(%) 下载原图
Table 1 Chemistry component of ilmenite(%)
表1 钛铁砂矿精矿化学成分(%)
表2 钛铁砂矿精矿粒度分布 下载原图
Table 2 Granularity distributing of ilmenite
表2 钛铁砂矿精矿粒度分布
表3 无烟煤的化学成分/% 下载原图
Table 3 Chemistry component of anthracite/%
表3 无烟煤的化学成分/%
图2 钛铁矿的显微结构图
Fig.2 Microstructures of ilmenite
直流电弧炉对入炉原料的含水量有较高要求(≤0.3%),因此,入炉前需要对无烟煤及钛精矿进行干燥,避免因入炉物料中含水量过高影响产品品质并引发生产事故。
3 试生产内容
3.1 试生产期间的物料平衡
生产过程中通过中空石墨电极将钛精矿和无烟煤加入DC炉内,熔炼温度控制为1973~2023 K,DC炉的输入功率为15 MVA,炉压为±100 Pa。
试生产过程中,随机对一定熔炼周期内(炉次)的物料进行计算和分析,其物料的质量平衡见表4,表中未包括烟气等带走的粉尘(一般占加入物料的3%~5%)。
表4 物料平衡表 下载原图
Table 4 Sheet of mass balance
*AIR:Ratio of Anthracite to Ilmenite;**O/I-ratio=Ratio of total mass of iron and slag to the mass of ilmenite minus dust,dust loss not taking into account here
表4 物料平衡表
按照反应方程式(1)计算,理论上熔炼还原1t钛精矿,将会产出526 kg渣和368 kg金属铁,O/I比率约为89.4%,理论配碳比约为7.895%。从表4的数据可以计算出,一定熔炼周期内的AIR平均值为12.228%,O/I比率平均值为81.317%(未包括烟气等带走的粉尘,试验证明,冶炼初期,此部分占加入物料的5%~8%,故物料是平衡的)。
造成试生产中,AIR值比理论值高的主要原因是:在还原条件下,钛精矿中除了FeTiO3 ,还有FeO和Fe2 O3 等成分,将其完全还原为金属铁需要一定的碳量;还原过程中,将部分Ti O3 还原为钛的低价氧化物也需要一定的碳量;钛铁矿中的少量杂质SiO2 ,Mn O等参与还原反应需要一定的碳量;同时,操作过程中会产生一定的机械损失量、烧损量以及烟尘损失,故实际配碳比要高于理论配碳比。
3.2 XRD分析
图3为一定熔炼周期内产出钛渣的XRD分析图,其主要成分为Ti O2 ,FeMgTi4 O10 和Fe2 Ti O5 ,与外购的钛渣的XRD比较(图3),可以看出其物项组成极为相似,可以认为密闭DC炉产出的钛渣能够满足后续生产的要求。
试运行期间通过控制AIR、钛铁矿与输入功率比(ratio of ilmenite to power,IPR)、电弧长度、钛铁矿入炉品位等因素来得到最佳运行控制条件。
4 结果与讨论
DC炉还原熔炼钛渣过程中,配碳比(AIR)是影响钛渣品质的主要变量之一
[14 ,15 ,16 ]
,也是工业生产中最容易实现的控制手段。
图3 熔炼钛渣与外购钛渣的XRD图
Fig.3 XRD pattern of produced Ti O2 slag and the purchased one
在大致相同的熔炼温度下,不同的AIR,得到的钛渣产品中Ti O2 含量不同,见表4。以一定熔炼周期内物料平衡为基础,绘制AIR和产品钛渣中Ti O2 含量散点图,拟合后发现:产品钛渣的Ti O2 含量随着AIR的增加而减小,当AIR增加到一定程度后,产品钛渣的Ti O2 含量将不再有明显变化。
这一现象说明,配碳量不足的情况下,钛铁矿中的FeO易于离解出氧并与碳结合,使FeO还原反应优先于Ti O2 等氧化物,碳最大可能的消耗在FeO的还原上;配碳量越高,则碳将用于还原难还原的氧化物(如SiO2 ,MgO,CaO,Mn O等)上,使FeO的还原受到抑制。
表1中列出了钛精矿杂质主要为SiO2 ,Al2 O3 ,CaO,MgO,Mn O,V2 O5 ,Cr2 O3 和CoO,随着配碳量的增加和反应的进行,杂质的还原量增多,熔渣的组成不断发生改变,熔渣中的杂质将继续被碳还原,当熔炼结束时,熔池中的铁液和熔渣中各元素会达到一种平衡状态。钛铁矿中的这些杂质不仅不利于钛精矿的还原反应,当熔池中的各元素平衡时,进入熔渣的杂质增多,不利于生产高品质钛渣。同时高的配碳量使钛精矿中Ti O2 发生还原,使还原反应的速度下降,得到的钛渣中低价钛的含量偏高,影响钛渣的品质。
配碳比不仅影响还原的进程和钛渣品质,还会影响DC电炉的炉况,主要体现在对熔渣流动性和挂渣层的影响。由于钛渣冶炼温度高且熔渣的腐蚀性强,需要在生产过程中在炉壁上形成一层挂渣层,来保护电炉内衬。DC电炉正常运行期间的挂渣层厚度是基本不变的,挂渣层的成分与熔渣成分基本相同。当配碳比过大时,熔渣中的MgO发生还原,熔渣流动性变差,熔渣和挂渣层形成的系统体系为达到平衡,挂渣层的MgO会不断进入熔渣,使挂渣层不断被还原而变薄,形成安全隐患,严重时可造成炉底、炉壁烧穿的重大安全事故,或者局部挂渣层变薄塌落造成爆炸
[17 ,18 ]
。
图4 一定熔炼周期AIR与钛渣Ti O2含量散点图
Fig.4 Scatter of AIR to the Ti O2 content in the slag during the certain smelting period
5 结论
配碳比(AIR)是影响生产正常进行和产品质量的重要因素之一,DC炉冶炼钛渣过程中必须严格控制配碳比。应通过调节配碳比,保持炉内熔渣的流动性,避免造成出渣困难或挂渣层受损。
试生产一定熔炼周期内,通过调整配碳比(AIR)实现了生产高品质钛渣,使钛渣中Ti O2 的含量从82%提高到大于89%。DC炉正常运行条件下后,电炉挂渣层稳定后,AIR将有可能小于试生产一定熔炼周期内的AIR平均值12.228%,并能通过对配碳比的调整控制钛渣的Ti O2 含量稳定在89%以上。
参考文献
[1] Yang S L,Sheng J F.Titanium Slag and Pig Iron SmeltingTechnology[M].Beijing:Metallurgy Industry Press,2006.12,61,399,558.(杨绍利,盛继孚.钛铁矿熔炼钛渣与生铁技术[M].北京:冶金工业出版社,2006.12,61,399,558.)
[2] Xu G D,Wang G S.Development of titanium and its industry[J].Chinese Journal of Rare Metals,2009,33(6):903.(许国栋,王桂生.钛金属和钛产业的发展[J].稀有金属,2009,33(6):903.)
[3] Pesl J,Eric R H.High temperature carbothermic reduction ofFe2 O3 -TiO2 -Mx Oy oxide mixtures[J].Minerals Engineering,2002,15(11):971.
[4] Murty C V G K,Upadhyay R,Asokan S.Electro smelting of il-menite for production of TiO2 slag-potential of India as a globalplayer[A].Innovations in Ferro Alloy Industry[C].NewDelhi:Indian Ferro Alloy Producers'Association,2007.
[5] Li D C,Liu H,Zhou D L.Titanium Smelting Process[M].Beijing:Chemical Industry Press,2009.14.(李大成,刘恒,周大利.钛冶炼工艺[M].北京:化学工业出版社,2009.14.)
[6] Pistroius P C.The relationship between FeO and Ti2 O3 in il-menite smelter slags[J].Scandinavian Journal of Metallurgy,2002,31(2):120.
[7] Kucukkaragoz C S,Eric R H.Solid state reduction of a naturalilmenite[J].Minerals Engineering,2006,19(3):334.
[8] Sun K.Physical Chemistry of Metallurgy of Titanium Extraction[M].Beijing:Metallurgy Industry Press,2001.38,50.(孙康.钛提取冶金物理化学[M].北京:冶金工业出版社,2001.38,50.)
[9] KotzéH,Bessinger D,Beukes J.Ilmenite smelting at Ticor SA[J].The South African Institute of Mining and Metallurgy,2006,106(3):165.
[10] Zietsman J H,Pistorius P C.Modelling of an ilmenite-smeltingDC arc furnace process[J].Minerals Engineering,2006,19(3):262.
[11] Wang Y M,Yuan Z F,Guo Z C,Tan Q Q,Li Z Y,Jiang W Z.Reduction mechanism of natural ilmenite with graphite[J].Transactions of Nonferrous Metals Society of China,2008,18(4):962.
[12] Zietsman J H,Pistorius P C.Process mechanisms in ilmenitesmelting[J].The South African Institute of Mining and Metallur-gy,2004,104(11):653.
[13] Muller J,Zietsman J H.Application of UCARChill KoteTM Lining to ilmenite smelting-pilot-scale lining response estimation[A].Innovations in Ferro Alloy Industry[C].New Delhi:Indi-an Ferro Alloy Producers'Association,2007.
[14] Mo Wei.Titanium[M].Beijing:Metallurgy Industry Press,2008.43.(莫畏.钛[M].北京:冶金工业出版社,2008.43.)
[15] Wang Y M,Zhang F Y.Reductive kinetics of the reaction be-tween a natural ilmenite and carbon[J].Mineral Processing,2006,81(3):133.
[16] Gous M.An overview of the Namakwa sands ilmenite smeltingoperations[J].The South African Institute of Mining and Metal-lurgy,2006,106(6):379.
[17] Pistorius P C.Fundamentals of freeze lining behavior in ilmenitesmelting[J].The South African Institute of Mining and Metallur-gy,2003,103(8):509.
[18] Pistorius P C.Equilibrium interactions between freeze liningand slag in ilmenite smelting[J].The South African Institute ofMining and Metallurgy,2004,104(7):417.