DOI: 10.11817/j.issn.1672-7207.2015.10.008
高分子涂层和氮化钛涂层对Mg-6%Zn-10%(β-TCP)耐腐蚀性能的影响
陈畅1,陈良建1,2,余琨2,3,戴翌龙3,邵春生1,赵俊3,曹君1,谢丽子1,刘蓓蕾1
(1. 中南大学 湘雅三医院,湖南 长沙,410013;
2. 中南大学 粉末冶金国家重点实验室,湖南 长沙,410083;
3. 中南大学 材料科学与工程学院,湖南 长沙,410083)
摘要:用多弧离子溅射法和喷涂法分别在Mg-6%Zn-10%(β-TCP)复合材料表面制备氮化钛(TiN)涂层、聚己内酯(PCL)涂层和壳聚糖(CS)涂层,通过体外Ringer’s液浸泡实验,检测试样的析氢速率、质量变化和不同时间点试样表面形貌改变及浸泡液中pH改变等指标,评价3种不同涂层对复合材料的耐蚀性的影响。研究结果表明:3种涂层的表面形貌不同,表面均有微孔,TiN涂层呈皱褶状,PCL涂层表面较光滑,CS涂层表面较粗糙;浸泡实验发现3种试样涂层均发生改变,TiN组试样浸泡84 h时试样腐蚀呈碎渣状,而PCL组和CS组试样表面相对完整,只在涂层边缘发生部分破坏;TiN组浸泡液的pH上升明显,92 h内达11.3,而 PCL组和CS组浸泡液的pH缓慢上升,6 d后稳定在10.2左右;PCL组的析氢速率和质量损失比CS组的低。TiN涂层加快Mg-6%Zn-10%(β-TCP)复合材料的腐蚀,PCL和CS涂层均能提高复合材料的耐腐蚀性能,且PCL涂层优于CS涂层。
关键词:Mg-6%Zn-10%(β-TCP);复合材料;氮化钛;聚己内酯;壳聚糖;涂层;耐腐蚀性
中图分类号:TG178 文献标志码:A 文章编号:1672-7207(2015)10-3611-08
Effect of Mg-6%Zn-10%(β-TCP) using polymer coatings and titanium nitride coating on corrosion resistance
CHEN Chang1, CHEN Liangjian1, 2, YU Kun2, 3, DAI Yilong3, SHAO Chunsheng1,
ZHAO Jun3, CAO Jun1, XIE Lizi1, LIU Beilei1
(1. Third Xiangya Hospital, Central South University, Changsha 410013, China;
2. State Key Laboratory of Powder Metallurgy, Central South University, Changsha 410083, China;
3. Materials Science and Engineering, Central South University, Changsha 410083, China)
Abstract: The surfaces of Mg-6%Zn-10%(β-TCP) composite were coated with titanium nitride (TiN) coating through multiple-arc ion sputtering, sprayed with polycaprolactone (PCL) or chitosan (CS) coating, respectively. The effects of three coatings on the corrosion resistance were evaluated through immersion test in Ringer’s solution. The rate of hydrogen evolution, change of mass, change of surface morphology of different immersion time and variation of pH value of Ringer’s solution were recorded in immersion test. The results show that surface morphology differs with three coatings, but micro-pores are found in all of them. TiN coating is corrugated shape, and the surface of PCL coating is smooth, while the surface of CS coating is rough. Immersion test shows that the corrosion debris are found in TiN group after 84 h of immersion. However, samples of CS group and PCL group remain relatively complete with slight crack of edge. The pH value of immersion solution reaches 11.3 in TiN group after 92 h. Conversely, the pH values of Ringer’s solution of CS group and PCL group increase slowly, reaching 10.2 after 6 d. Moreover, both the rate of hydrogen evolution and change of mass of PCL group are less than those of CS group. Above all, TiN coating can accelerate the corrosion rate of the composite in the Ringer’s solution. PCL coating and CS coating can improve corrosion resistance of the composite in Ringer’s solution, and the corrosion resistance of PCL coating is superior to that of the CS coating.
Key words: Mg-6%Zn-10%(β-TCP); composite; titanium nitride; polycaprolactone; chitosan; coating; corrosion resistance
现有的骨修复材料有金属、陶瓷和聚合物等几大类,以钛及合金为代表的金属植入材料已成功应用于关节修复,具有强度好、加工方便等优点,但该材料缺乏生物活性,弹性模量与骨组织不匹配,易致骨的应力刺激和应力传递屏蔽,引起骨吸收和修复失败;陶瓷类材料均存在质脆、在体内易于断裂和发生疲劳破坏等不足,只用于非应力区;聚合物虽有与自然骨相近的弹性模量,但缺乏与骨组织形成生物键的活性,只用于对骨折或金属植入体的机械固定。单一的上述材料均不能完全满足临床对骨组织修复和重建的需求,临床上迫切需要具有良好生物活性和力学性能、可降解的理想的骨修复材料。医用镁合金具有良好的力学性能、生物相容性、可加工性和可降解性,现已成为新型医用可降解植入材料的研究热点[1-2]。常用的商用镁合金富含铝,而铝摄入过多,可致多种神经性疾患,如痴呆、老年性痴呆和脑硬化等[3];稀土镁合金中铈(Ce)、镨(Pr)和钇(Y)均具有肝细胞毒性和遗传毒性[4]。目前国内外研究医用镁合金有Mg-Zn,Mg-Ca,Mg-Mn-Zn,Mg-Zn-Ca,Mg-Zn-Sr和Mg-Zn-Mn-Ca等体系[5-12],但上述镁合金均存在如下不足:在体内Cl-环境中降解速度过快,在其服役期内,材料的力学强度无法保证,产生的氢气过多易形成皮下气肿、降解物堆积等影响组织愈合。因而,控制镁基植入材料在服役期的稳定性和基体的降解率,已成为该类材料研究的热点。陈福文等[13-15]已经证实Mg-6%Zn-10%(β-TCP)复合材料具有较优的力学性能和生物相容性,但该材料的耐腐蚀性能还有待提高,以满足材料在生物体内服役期的要求。本文作者采用多弧离子溅射法和喷涂法分别在复合材料表面制备氮化钛(TiN)涂层、聚乙内酯(PCL)涂层和壳聚糖(CS)涂层,通过体外医用林格氏液(Ringer’s solution)浸泡和析氢实验评价3种涂层对复合材料耐蚀性的影响。
1 材料和方法
1.1 Mg-6%Zn-10%(β-TCP)的制备及性能检测
采用液相沉积法[16]制备β-TCP粉末,将Mg粉、Zn粉和β-TCP粉末按照质量比为84:6:10混合均匀,在温度为600 ℃的条件下烧结30 min。然后在300 ℃下进行变形量为25%的热变形处理,热变形后试样在350 ℃中保温1 h,空冷。通过阿基米德法测定样品密度,用MTS Systems Coporation公司的MTS-858台式疲劳试验机检测样品的压缩强度和压缩弹性模量,用HW187.5型布洛维硬度计测量硬度。
1.2 Mg-6%Zn-10%(β-TCP)表面涂层制备
1.2.1 TiN涂层
采用多弧离子溅射技术在Mg-6%Zn-10%(β-TCP)表面制备TiN涂层,在3×10-3 Pa真空室引燃纯钛靶材起弧光放电,沉积2~10 min的Ti涂层,然后注入氮气,在50~100 A的起弧电流下,沉积8~12 min的TiN涂层。
1.2.2 CS涂层与PCL涂层
用240号砂纸将试样表面打磨粗糙,再用质量分数为5%硝酸溶液浸泡30 s后,依次用丙酮、无水乙醇和去离子水超声各清洗10 min,晾干备用。将脱乙酰度≥90%,黏度为0.5~0.8 Pa·s的CS溶解于质量分数为2%的醋酸溶液中,将其均匀喷涂于试样表面,在温度为60 ℃的鼓风干燥箱中干燥后,重复喷涂,共7次。按2%的质量分数将黏度为0.41 dL/g的PCL溶解于二氯甲烷中,在50 ℃下预热试样进行喷涂,共喷涂7次。
1.3 表面涂层对Mg-6%Zn-10%(β-TCP)耐腐蚀性 影响
1.3.1 析氢实验
测量试样的表面积,浸泡溶液选用医用林格氏液(Ringer’s solution),其组成成分为8.50 g/L NaCl, 0.30 g/L KCl,0.33 g/L CaCl2,pH为6.3。实验设置4组,分别为TiN涂层组、PCL涂层组、CS涂层组和无涂层组,每组3个试样,结果取平均值。在37 ℃恒温水浴锅中用倒置的酸式滴定管收集试样25 d的氢气释放量,如图1所示。
1.3.2 浸泡实验
实验分组设置与析氢实验设置相同,选用浸泡液仍为Ringer’s溶液,浸泡时间为13 d。根据 ASTM G31-72浸泡实验标准[17],溶液体积与试样表面积之比应为20~40 mL/cm2。在本实验过程中,选择浸泡液体积与测试试样表面积之比为40 mL/cm2,所选测试试样长×宽×厚为12 mm×7 mm×2 mm,则浸泡液体积为97.6 mL。将4组试样称质量后,分别浸入装有97.6 mL的Ringer’s浸泡液的12个烧杯中。将烧杯置于37 ℃恒温水浴锅中,每日同一时间将试样干燥后称质量,绘制试样腐蚀质量损失曲线。采用PHS-3C酸度计测量4组试样在浸泡过程中Ringer’s溶液pH的变化,绘制pH变化曲线。

图1 析氢实验装置示意图
Fig. 1 Apparatus of hydrogen evolution experimental
1.3.3 SEM检测
采用Quanta 200 FEG扫描电镜观察TiN涂层、PCL涂层和CS涂层浸泡前后的表面形貌和厚度。
2 实验结果
2.1 Mg-6%Zn-10%(β-TCP)的力学性能
表1所示为Mg-6%Zn-10%(β-TCP)与人天然骨的密度和力学性能对比。由表1可以看出:本研究制备的Mg-6%Zn-10% (β-TCP)的密度和力学性能与人天然骨接近,尤其是压缩弹性模量与布氏硬度。
表1 Mg-6%Zn-10%(β-TCP)与人天然骨的密度和力学性能对比
Table 1 Densities and mechanical properties of Mg-6%Zn-10%(β-TCP) compared with natural bone

2.2.1 浸泡前的形貌
图2所示为浸泡前TiN涂层、PCL涂层和CS涂层的表面和截面的电镜扫描图。由图2可看出:3种涂层的厚度不同,TiN涂层厚度为772.4 nm,PCL涂层的为5.77 μm,CS涂层的为3.26 μm,3种涂层厚度从大到小依次为PCL,CS,TiN;涂层的表面形貌也不同,TiN涂层表面呈皱褶状,PCL涂层表面较光滑,CS涂层表面较粗糙,3种涂层均有缩孔。
2.2.2 析氢实验
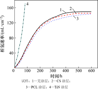
图3所示为TiN涂层、PCL涂层、CS涂层和无涂层4组试样在Ringer’s溶液中浸泡25 d的析氢速率曲线。从图3可以看出:84 h内TiN涂层试样的析氢速率迅速上升,明显高于其他3组,此时试样已塌陷呈碎渣状,停止记录析氢速率;PCL组、CS组和无涂层组的试样在200 h内析氢速率增加缓慢,200 h后析氢进入稳定期。
表2所示为TiN涂层、PCL涂层、CS涂层和无涂层试样3.5 d和25 d的平均析氢速率。从表2可看出:试样在浸泡前期的析氢速率明显高于后期的速率,其中TiN组试样的平均析氢速率明显高于其他3组的速率,其次为无涂层组,PCL涂层组低于CS涂层组。结果显示PCL涂层试样在析氢控制方面优于CS涂层试样。
2.2.3 浸泡实验
1) 试样浸泡后质量变化
TiN涂层试样在浸泡3.5 d后已成为碎渣状,未做试样质量损失检测,PCL涂层、CS涂层和无涂层的试样在Ringer’s溶液浸泡后质量变化见图4。从图4可以看出:浸泡1~4 d后,3组试样的质量都有不同程度的增加;浸泡4~13 d后,3组试样均出现质量下降,无涂层组试样最明显,CS组试样次之,PCL组试样下降比较慢;结果显示:PCL涂层的耐腐性优于CS涂层。
2) 试样浸泡后浸泡液pH的变化
TiN涂层、PCL涂层、CS涂层和无涂层4组试样在Ringer’s溶液浸泡过程中,浸泡液pH的变化见图5。由图5可以看出:TiN组浸泡液的pH上升明显,92 h后浸泡液的pH为11.3,而其他3组浸泡液的pH在浸泡150 h内,均缓慢升高,其中PCL组100 h内pH在7.0~8.0波动,在100~150 h内,3组浸泡液均快速升高至10.0左右,以后3组浸泡液的pH稳定在10.2左右。
3) 试样浸泡后表面形貌的变化

图2 TiN涂层、PCL涂层和CS涂层的截面与表面SEM图
Fig. 2 SEM images of section and surface of TiN coating, PCL coating and CS coating

图3 TiN涂层、PCL涂层、CS涂层和无涂层试样的析氢曲线
Fig. 3 Hydrogen evolution curves of samples coated with TiN, PCL, CS and uncoated one

图4 PCL涂层、CS涂层和无涂层试样浸泡后质量变化曲线
Fig. 4 Mass change curves after soaked in Ringer’s solution of samples coated with PCL, CS and uncoated one
表2 TiN涂层、PCL涂层、CS涂层和无涂层试样3.5 d和25 d的平均析氢速率
Table 2 Average hydrogen evolution rates of samples coated with TiN, PCL , CS and uncoated one for 3.5 d and 25 d

图6所示为PCL涂层、CS涂层和无涂层试样浸泡前后不同时间点的表面形貌的变化。由图6可以看出:浸泡在Ringer’s溶液中的3组试样,在不同时间点的表面形貌变化不同。无涂层组试样浸泡2 d后,表面呈黑色,表面有腐蚀的凹孔形成;CS组试样表面部分涂层被破坏,出现腐蚀现象;PCL组试样表面无腐蚀现象。浸泡4 d和6 d后,PCL涂层、CS涂层和无涂层试样的表面均发生不同程度的腐蚀,但PCL组试样的保形性优于CS涂层和无涂层组试样。
图7所示为PCL涂层、CS涂层和无涂层3组试样浸泡2 d与4 d后的表面形貌的SEM结果。从图7可看出:3组试样在浸泡2 d与4 d后的表面微观形貌有明显的区别。PCL组试样在浸泡2 d时,其涂层仍光滑、完整,在浸泡4 d后,部分涂层被破坏,基体发生腐蚀。CS组试样在浸泡2 d后,涂层表面出现细小裂纹,在浸泡4 d后,涂层多处裂开,与基体失黏鼓起。无涂层组试样在浸泡2 d后,表面发生明显腐蚀现象,腐蚀产物呈团状并突出;浸泡4 d后表面腐蚀严重,堆积大量的腐蚀产物。能谱分析发现:腐蚀产物中主要含Mg,O和Cl等成分,产物多为Mg(OH)2,Cl元素来自Ringer’s溶液。

图5 TiN涂层、PCL涂层、CS涂层和无涂层试样浸泡液pH变化曲线
Fig. 5 pH change curves after soaked in Ringer’s solution of samples coated with TiN, PCL, CS and uncoated one

图6 PCL涂层、CS涂层和无涂层试样浸泡前后不同时间点的表面形貌
Fig. 6 Surface morphologies of samples coated with PCL, CS and uncoated one for different immersion time

图7 PCL涂层、CS涂层和无涂层试样腐蚀后的SEM和EDS图
Fig. 7 SEM and EDS images of corrosion samples coated with PCL, CS and uncoated one
3 讨论
表面处理是在材料表面制备1层或多层钝化膜或涂层,借此阻隔涂层内外物质相互接触,从而提高材料的耐腐蚀性,减缓腐蚀速率。镁基复合材料通过表面处理不仅能提高其耐腐蚀性能,还能降低其析氢速率。在前期研究中,选用Mg,Zn和β-TCP这3个组成分制备的Mg-6%Zn-10%(β-TCP)复合材料,具有较好的力学性能和生物相容性,其耐腐蚀性能虽优于Mg-6%Zn等镁合金[14],但在模拟体液中的降解率和析氢速率还有待于改善,以提高复合材料在生物体内的服役期的稳定性。本文研究了TiN涂层、PCL涂层和CS涂层对Mg-6%Zn-10%(β-TCP)的耐腐蚀性的影响,发现PCL涂层和CS涂层能提高Mg-6%Zn-10%(β-TCP)的耐腐蚀性能,且PCL涂层优于CS涂层,而TiN涂层加速了材料的降解。
TiN涂层属于陶瓷类,是常用来提高合金耐腐蚀性的惰性膜。有文献报道在牙科钴铬合金表面镀一层TiN涂层,能提高钴铬合金的耐腐蚀性能[18]。但本研究发现TiN涂层加快了Mg-6%Zn-10%(β-TCP)的腐蚀,分析可能的原因是:本研究用多弧离子溅射法在镁基材料表面制备的TiN涂层,检测发现涂层与基体结合不紧密,表面呈褶皱状,存在微裂隙和缩孔,浸泡液通过裂纹和微孔与基体直接接触,发生点腐蚀,裂纹的产生可能是由于在制备过程的高温环境下,涂层与基体之间热膨胀系数相差较大,冷却后涂层与基体之间的残余应力所致;其次,在镁基材料表面制备TiN涂层时,应先镀一层纯Ti涂层作为过渡层,以提高涂层的结合力,而Ti的电位比Mg的电位高,在同一介质中,2种金属的电位差会导致电偶腐蚀,当浸泡液进入TiN涂层与基体的界面时,Ti和Mg构成了原电池,形成电偶电流,促进电位低的Mg阳极溶解。有学者发现在AZ91C镁合金表面镀Ti-TiN复合涂层后,Ti同样加速了镁合金的腐蚀[19]。因而,TiN涂层不适合作为镁基材料的防腐涂层。
PCL和CS均具有良好的生物相容性和可降解性,已被广泛运用于生物医药领域,多用于药物缓释载体和可降解的手术缝合线等方面[20-21]。有研究发现在AZ31镁合金表面制备PCL涂层后,提高了试样在质量分数为3.5% NaCl溶液中的耐腐蚀性能[22];CS涂层能提高AM20和WE43镁合金的耐腐蚀性能[23]。PCL涂层和CS涂层均能提高镁合金的耐腐蚀性能,本研究采用同一工艺制备涂层,比较PCL涂层和CS涂层对镁基复合材料耐腐性的影响,发现PCL涂层的耐腐蚀性能优于CS涂层的耐腐蚀性能。
本研究发现PCL涂层的试样在Ringer’s溶液浸泡13 d后的质量损失、浸泡液pH的改变以及25 d的析氢总量明显比无涂层试样的小,证实PCL涂层能提高Mg-6%Zn-10%(β-TCP)在Ringer’s溶液中的耐腐蚀性。试样表面的PCL涂层较光滑平整,但有缩孔。缩孔隙的产生可能是由于相分离所致,在高分子溶液的蒸发过程中,溶剂在相分离中起到推动力作用,使高分子溶液处于热力学不稳定状态,高分子溶质处于固态与液态的平衡,蒸发时高分子溶液中出现2种相,一种相是溶液中质量分数较高的高分子,凝固成膜;另一种质量分数较低的高分子,形成孔隙[24]。本研究采用多次喷涂的方法处理,旨在解决缩孔问题。但由于PCL在二氯甲烷中溶解快,致已固态化的PCL涂层被重新溶解,仍存在相分离现象,要解决PCL涂层的缩孔,须更换一种能实现PCL成膜与溶解匹配的溶剂。
CS涂层也能改善镁基材料的耐腐性,但作用效果不如PCL涂层。主要是由于涂层在浸泡液中作用下产生开裂现象,浸泡液通过细小的裂纹进入基体,发生点腐蚀,导致涂层与基体失黏鼓起。在制备CS涂层时,CS须用酸性溶剂才能溶解,本研究所用的溶剂为质量分数为2%的醋酸溶液,因而,在喷涂CS时,醋酸与基体发生反应,在基体表面形成腐蚀小坑和缺陷,致涂层表面粗糙,反应生成的H2和溶剂的挥发致涂层产生微孔。CS在醋酸中溶解慢,在重新喷涂时,CS涂层表面溶解少,多次涂层可消除涂层表面的微孔。多次喷涂所制备的CS涂层呈层状结构,浸泡液通过表面层状结构之间的微裂隙,使CS涂层发生龟裂,随着浸泡时间延长,CS涂层的裂纹和孔隙增多增宽,导致涂层的完整性被破坏。因而,CS涂层的片层结构降低了CS涂层对镁基材料的耐腐蚀性能。
4 结论
1) TiN涂层、PCL涂层、CS涂层和无涂层的4种Mg-6%Zn-10%(β-TCP) 试样在Ringer’s溶液中浸泡,涂层对基体材料的腐蚀行为的影响不同,TiN涂层试样的析氢速率、质量损失和浸泡液pH的改变均明显高于其他3组试样的pH改变,TiN涂层加快了镁基材料的腐蚀速率,PCL涂层和CS涂层能提高镁基材料的耐腐蚀性。
2) PCL涂层和CS涂层对Mg-6%Zn-10%(β-TCP)的耐腐蚀性影响不同,PCL涂层的试样在Ringer’s溶液中涂层的完整性保持、pH的改变、析氢速率和质量损失均比CS涂层试样的好, PCL涂层的耐腐蚀性优于CS涂层的耐腐蚀性能。
参考文献:
[1] Witte F, Kaese V, Haferkamp H, et al. In vivo corrosion of four magnesium alloys and the associated bone response[J]. Biomaterials, 2005, 26(17): 3557-3563.
[2] Staiger M P, Pietak A M, Huadmai J, et al. Magnesium and its alloys as orthopedic biomaterials: A review[J]. Biomaterials, 2006, 27(9): 1728-1734.
[3] El-Rahman S S A. Neuropathology of aluminum toxicity in rats[J]. Pharmacological Research, 2003, 47(3): 189-194.
[4] Yang L, Hort N, Laipple D, et al. Element distribution in the corrosion layer and cytotoxicity of alloy Mg-10Dy during in vitro biodegradation[J]. Acta Biomaterialia, 2013, 9(10): 8475-8487.
[5] ZHANG Shaoxiang, ZHANG Xiaonong, ZHAO Changli, et al. Research on an Mg-Zn alloy as a degradable biomaterial[J]. Acta Biomaterialia, 2010, 6(2): 626-640.
[6] LI Zijian, GU Xunan, LOU Siquan, et al. The development of binary Mg-Ca alloys for use as biodegradable materials within bone[J]. Biomaterials, 2008, 29(10): 1329-1344.
[7] XU Liping, ZHANG Erlin, YIN Dongsong, et al. In vitro corrosion behaviour of Mg alloys in a phosphate buffered solution for bone implant application[J]. Jounal of Materials Science: Materials in Medicine, 2008, 19(3): 1017-1025.
[8] Bakhsheshi-Rad H R, Idris M H, Abdul-Kadir M R, et al. Mechanical and bio-corrosion properties of quaternary Mg-Ca-Mn-Zn alloys compared with binary Mg-Ca alloys[J]. Materials & Design, 2014, 53: 283-292.
[9] GU Xuenan, ZHENG Yufeng, ZHONG Shengping, et al. Corrosion of, and cellular responses to Mg-Zn-Ca bulk metallic glasses[J]. Biomaterials, 2010, 31(6): 1093-1103.
[10] Zberg B, Uggowitzer P J, Loffler J F. Mg-Zn-Ca glasses without clinically observable hydrogen evolution for biodegradable implants[J]. Nature Materials, 2009, 8(11): 887-891.
[11] Brar H S, Wong J, Manuel M V. Investigation of the mechanical and degradation properties of Mg-Sr and Mg-Zn-Sr alloys for use as potential biodegradable implant materials[J]. Journal of the Mechanical Behavior of Biomedical Materials, 2012, 7: 87-95.
[12] ZHANG Erlin, YANG Lei. Microstructure, mechanical properties and bio-corrosion properties of Mg-Zn-Mn-Ca alloy for biomedical application[J]. Materials Science and Engineering A, 2008, 497(1/2): 111-118.
[13] 陈福文, 余琨, 陈良建, 等. Mg-6%Zn-10%(β-Ca3(PO4)2)复合材料的制备及腐蚀降解行为[J]. 中国有色金属学报, 2012, 22(1): 1-6.
CHEN Fuwen, YU Kun, CHEN Liangjian, et al. Fabrication and corrosion properties of Mg 6%Zn 10%(β Ca3(PO4)2) composite[J]. The Chinese Journal of Nonferrous Metals, 2012, 22(1): 1-6.
[14] YU Kun, CHEN Liangjian, ZHAO Jun, et al. In vitro corrosion behavior and in vivo biodegradation of biomedical β-Ca3(PO4)2/Mg-Zn composites[J]. Acta Biomaterialia, 2012, 8(7): 2845-2855.
[15] YU Kun, CHEN Liangjian, ZHAO Jun, et al. In vivo biocompatibility and biodegradation of a Mg-15%Ca3(PO4)2 composite as an implant material[J]. Materials Letters, 2013, 98: 22-25.
[16] 林开利. 纳米磷酸钙、硅酸钙及其复合生物与环境材料的制备和性能研究[D]. 上海: 华东师范大学理工学院, 2008: 54-55.
LIN Kaili. Study on preparation and properties of nano apatite, calcium silicate and their composite biomaterials and environmental materials[D]. Shanghai: East China Normal University. Institute of Science and Engineering, 2008: 54-55.
[17] 张佳, 宗阳, 袁广银, 等. 新型医用Mg-Nd-Zn-Zr镁合金在模拟体液中的降解行为[J]. 中国有色金属学报, 2010, 20(10): 1989-1997.
ZHANG Jia, ZONG Yang, YUAN Guangyin, et al. Degradable behavior of new-tape medical Mg-Nd-Zr magnesium alloy in simulated body fluid[J]. The Chinese Journal of Nonferrous Metals, 2010, 20(10): 1989-1997.
[18] 陈洁, 胡滨. TiN涂层对牙科钴铬合金耐蚀性能的影响[J]. 上海交通大学学报(医学版), 2009, 29(6): 660-662.
CHEN Jie, HU Bin. Effect of TiN coating on corrosion resistance of dental Co-Cr alloy[J]. Journal of Shanghai Jiaotong University (Medical Science), 2009, 29(6): 660-662.
[19] 王成龙, 范多旺, 刘红忠, 等. AZ91C镁合金表面Ti-TiN复合镀层的阴极多弧离子镀法制备与表征[J]. 腐蚀与防护, 2008, 29(4): 182-184.
WANG Chenglong, FAN Duowang, LIU Hongzhong, et al. Ti-TiN films prepared by cathodic multi arc ion plating on magnesium alloy AZ91C[J]. Corrosion & Protection, 2008, 29(4): 182-184.
[20] Carneiro J, Tedim J, Fernandes S C M, et al. Functionalized chitosan-based coatings for active corrosion protection[J]. Surface and Coatings Technology, 2013, 226: 51-59.
[21] Wang J, He Y H, Maitz M F, et al. A surface-eroding poly(1,3-trimethylene carbonate) coating for fully biodegradable magnesium-based stent applications: Toward better biofunction, biodegradation and biocompatibility[J]. Acta Biomaterialia, 2013, 9(10): 8678-8689.
[22] Conceicao T F, Scharnagl N, Dietzel W, et al. Corrosion protection of magnesium AZ31 alloy using poly(ether imide) [PEI] coatings prepared by the dip coating method Influence of solvent and substrate pre-treatment[J]. Corrosion Science, 2011, 53(1): 338-346.
[23] 许鑫华, 程静, 张春怀, 等. 医用镁合金的生物腐蚀及高分子涂层处理[J]. 稀有金属材料与工程, 2008, 37(7): 1225-1228.
XU Xinhua, CHENG Jing, ZHANG Chunhuai, et al. Bio-corrosion and polymer coating modification of magnesium alloys for medicine[J]. Rare Metal Materials and Engineering, 2008, 37(7): 1225-1228.
[24] Wong H M, Yeung K W K, Lam K O, et al. A biodegradable polymer-based coating to control the performance of magnesium alloy orthopaedic implants[J]. Biomaterials, 2010, 31(8): 2084-2096.
(编辑 刘锦伟)
收稿日期:2014-12-04;修回日期:2015-03-13
基金项目(Foundation item):中南大学中央高校基本科研业务费专项资金资助(2013zzts306);中南大学粉末冶金国家重点实验室资助项目(Project (2013zzts306) supported by the Fundamental Research Funds for the Central Universities of Central South University; Project supported by State Key Laboratory of Powder Metallurgy, Central South University)
通信作者:陈良建,博士,教授,从事新型牙种植体的研发与临床、可降解镁基植入材料及颌骨缺损的赝复体修复研究;E-mail:jian007040@sina.com