铒-钬基高性能低温磁制冷材料的研究
来源期刊:稀有金属2019年第11期
论文作者:邵苏杭 郑新奇 许家旺 杨淑娴 王守国 沈保根
文章页码:1142 - 1163
关键词:磁热效应;磁制冷材料;稀土基合金化合物;
摘 要:稀土基合金化合物在低温区具有较大的磁有序度变化等物性,在低温磁制冷方面具有重要的研究价值和广阔的应用前景。通过多种磁性和物性测量方法(如直流磁性、交流磁性、比热、粉末中子衍射技术),系统地研究了铒-钬-基合金化合物的磁性和磁热效应。研究发现:随着温度的升高, Ho12Co7材料呈现出多个磁熵变峰,虽然磁熵变峰值不是特别大,但是0~5 T磁场变化下其磁制冷能力高达554.9 J·kg-1,在低温区磁制冷应用中展现出了巨大的优势。进一步分析发现:通过自旋优化以及对材料进行复合的思路,最终获得了磁热效应更加优异的Er-Ho-Co复合磁制冷材料。在对稀土-镍材料体系的系列研究后,成功合成了目前在低温区具有巨大磁熵变的Er0.9Ho0.1Ni化合物, 0~5 T磁场变化下其磁熵变峰值高达34.0 J·kg-1K-1,磁熵变峰值和绝热温变峰值较母体材料分别提高了14.9%和21.9%。在交流磁化率以及变温中子衍射实验结果的基础上,对RNi系列材料的磁相变进行了严格论证,探明了上述材料性能得到大幅度提高的物理机制。
网络首发时间: 2019-09-23 11:47
稀有金属 2019,43(11),1142-1163 DOI:10.13373/j.cnki.cjrm.xy19070041
邵苏杭 郑新奇 许家旺 杨淑娴 王守国 沈保根
北京科技大学材料科学与工程学院
中国科学院物理研究所磁学国家重点实验室
稀土基合金化合物在低温区具有较大的磁有序度变化等物性,在低温磁制冷方面具有重要的研究价值和广阔的应用前景。通过多种磁性和物性测量方法(如直流磁性、交流磁性、比热、粉末中子衍射技术),系统地研究了铒-钬-基合金化合物的磁性和磁热效应。研究发现:随着温度的升高, Ho12Co7材料呈现出多个磁熵变峰,虽然磁熵变峰值不是特别大,但是0~5 T磁场变化下其磁制冷能力高达554.9 J·kg-1,在低温区磁制冷应用中展现出了巨大的优势。进一步分析发现:通过自旋优化以及对材料进行复合的思路,最终获得了磁热效应更加优异的Er-Ho-Co复合磁制冷材料。在对稀土-镍材料体系的系列研究后,成功合成了目前在低温区具有巨大磁熵变的Er0.9Ho0.1Ni化合物, 0~5 T磁场变化下其磁熵变峰值高达34.0 J·kg-1K-1,磁熵变峰值和绝热温变峰值较母体材料分别提高了14.9%和21.9%。在交流磁化率以及变温中子衍射实验结果的基础上,对RNi系列材料的磁相变进行了严格论证,探明了上述材料性能得到大幅度提高的物理机制。
中图分类号: TB64
作者简介:邵苏杭(1995-),女,浙江温州人,硕士研究生,研究方向:磁制冷材料,E-mail:shshao@xs.ustb.edu.cn;*王守国,教授;电话:010-62333432;E-mail:sgwang@ustb.edu.cn;
收稿日期:2019-07-29
基金:科技部国家重点研发计划项目(2017YFB0702701);国家自然科学基金项目(51871019,11674008,51625101,51431009,51590881);中国科学院对外合作重点项目(112111KYSB20180013)资助;
Shao Suhang Zheng Xinqi Xu Jiawang Yang Shuxian Wang Shouguo Shen Baogen
School of Materials Science and Engineering,University of Science and Technology Beijing
State Key Laboratory for Magnetism,Institute of Physics,Chinese Academy of Sciences
Abstract:
Rare earth based intermetallic compounds have attracted a lot of interest due to their broad application prospects in low-temperature magnetic refrigeration originating from the complex magnetic phase transitions. In this work, the magnetic properties and magnetocaloric effects of Er-Ho based intermetallic compounds were systematically investigated by many techniques mainly including Direct-Current(DC)/Alternating-Current(AC) magnetic measurements, specific heat measurements, and powder neutron diffraction experiments. As temperature increases, multi-peaks were observed on the magnetic entropy change curves for Ho12Co7 compound. The maximum value of magnetic entropy change is not very large, but the magnetic refrigerant capacity reaches as high as 554.9 J·kg-1 for a field change of 0~5 T, showing great advantages in low temperature magnetic refrigeration. Furthermore, composite material Er-Ho-Co with better performance was finally obtained according to the theory of spin optimization and recombination. The maximum magnetic entropy change of newly synthesized Er0.9Ho0.1Ni compound is as high as 34.0 J·kg-1K-1 for a filed change of 0~5 T, which is among the best refrigerant materials in low temperature range. Compared with their parent materials, the maximum magnetic entropy change and maximum adiabatic temperature change of Er0.9Ho0.1Ni compound exhibit great increase of 14.9% and 21.9%, respectively. The magnetic phase transitions of rare earth nickel compounds were studied as well strictly by AC magnetic measurements and neutron diffraction experiments at different temperatures. The physical mechanism of greatly enhanced magnetic refrigeration performance for Er0.9Ho0.1Ni compound was provided.
Keyword:
magnetocaloric effect; magnetic refrigerant material; rare earth based compounds;
Received: 2019-07-29
1 磁制冷技术的研究背景及概况
制冷技术在人类生活生产中具有悠久且广泛的应用。 《周礼》中就有“凌人夏颁冰掌事”的记载, 表明古时候人们就开始使用冰来降温了。 时至今日, 制冷技术已经渗透进日常生活中的方方面面, 也渗透进了各行各业, 例如: 生活中的降温降暑、 水果肉类的冷藏保鲜、 数据中心的降温散热、 医疗卫生中的器官冷藏、 航空航天中的气体液化、 科学研究中的极低温环境等。 在不断增长的需求下, 制冷行业得到了迅速发展, 但是制冷技术同时也面临着一些无法回避的挑战。 当前, 传统制冷技术是以气体的压缩/膨胀为工作原理, 所使用的制冷剂为被称作“氟利昂”或“氟氯烃”的物质。 这类物质进入到大气中会破坏大气臭氧层, 会进一步恶化全球温室效应, 对人类的生活甚至生存产生极大的危害。 目前, 全球范围内已达成广泛共识, 传统制冷技术所使用的制冷剂将被逐步减少, 直至最终停止使用。 另外, 传统制冷技术受热力学原理的限制, 能量转化效率不高。 在上述背景下, 传统制冷工质和制冷技术急需得到革命性变革, 寻求新的突破口。
磁热效应材料和磁制冷技术为制冷提供了一种新的思路和替代方案。 1881年, 德国物理学家艾米尔·温柏格(Emil Warburg)发现了外加磁场导致放热的物理现象, 被称作“磁热效应”或者“磁卡效应”
由于在超低温环境方面获得的出色表现, 科学家们一直在寻求将该项技术推广到更高温区甚至室温进行应用的可能性。 而这一课题的关键, 在于能否获得具有大磁热效应的材料, 及磁制冷工质。 20世纪70年代, 这个关键问题得到了可喜的回答。 1976年, 美国国家宇航局(NASA)的Brown等以单质Gd作为磁制冷工质
1.1 低温磁制冷材料的研究概况
低温磁制冷材料的研究是近年来制冷材料研究领域的一个新热点。 近期, 世界范围内对液氦、 液氢、 液氮、 液氧的需求越来越大。 液氦和液氮作为重要的制冷剂, 在物性测量、 超导技术、 低温物理、 医疗卫生等方面具有广泛的应用, 他们的重要温度点分别为4.2 K和77 K; 液氢和液氧作为重要的燃料和氧化剂, 在航空航天、 军事国防、 工业生产等方面具有广泛的应用, 他们的重要温度点分别为20.4 K和90 K。 液氦、 液氮、 液氢、 液氧的获得都需要用到制冷技术, 可以通过磁制冷来实现。 特别需要强调的是, 目前人类正在就清洁能源的开发进行积极探索, 而氢能是非常理想的清洁能源之一。 氢能的制备和存储都需要用到低至20 K的低温制冷技术, 国内外多个研究小组都在探索使用磁制冷技术来进行氢气液化的可能性。 另外, 低温和极低温环境的获得也是当今科学研究实现高、 精、 尖发展的必备条件, 这些极端环境科研平台的搭建也可以通过磁制冷技术来实现。 因而, 研发应用于具有大磁热效应的低温区磁制冷材料具有重要意义。
磁制冷材料的性能主要通过等温磁熵变(ΔSM)、 绝热温变(ΔTad)、 制冷温跨(δTFWHM)以及制冷能力(RC)等几个参数来表征。 一方面, 材料的总磁矩与磁熵变数值呈现正相关的关系; 另一方面, 温度驱动下多个磁相变的存在使磁熵变曲线在多处表现出较大数值, 进而利于磁制冷温跨、 磁制冷能力的提升。 磁性原子主要包括过渡族金属原子以及稀土原子: 其中过渡族金属原子的未满壳层电子的轨道磁矩在晶体场中淬灭, 磁性仅来源于电子的自旋, 磁性相对较弱; 而稀土原子未满壳层电子的轨道磁矩由于受到5d/6s电子的屏蔽得以保持, 磁性来源不仅包括电子自旋还包括电子轨道运动, 磁性相对较强。 稀土基磁相变材料由于其大的饱和磁矩以及丰富的磁相变, 在磁热效应表现方面展现出极大的优势。 近年来, 国内外科研团队先后针对稀土基合金化合物的低温磁热效应开展了大量而系统的研究工作。 这些材料体系主要包括稀土-非稀土二元合金化合物(例如RGa, RZn, RSi, R3Co, R12Co7, RNi等)
1.2 低温磁制冷材料面临的问题
虽然低温磁制冷材料的研发已经取得了一系列重要进展, 但要实现其应用, 还有众多挑战需要解决。 例如: (1)多相变磁性材料的磁热效应在宽温区内的延续性问题。 多个磁相变可以使材料在多个温区表现出较大的磁熵变峰, 但多个磁熵变峰之间的温区磁熵变数值很小。 (2)复杂磁相变伴随的磁熵变的物理机制问题。 最简单的顺磁态到铁磁态的相变意味着磁矩由混乱走向有序, 产生磁熵变。 此外, 一种有序态到另一种有序态的相变依然可以表现出较大磁熵变, 其物理机制还不清楚, 需要进一步探究。 (3)磁熵变峰值仍需继续提高的问题。 磁制冷材料的性能最终需要通过一些参数表现出来, 其中最重要的参数就是磁熵变峰值。 目前低温磁制冷材料的种类繁多, 但是磁熵变峰值在0~5 T磁场变化下超过30 J·kg-1·K-1的材料很少, 需要进一步探索。
针对低温磁制冷材料面临的上述挑战, 本课题组近期开展了一系列的研究工作。 本文重点综述其中的两个材料体系, 即Er-Ho-Co以及Er-Ho-Ni两个系列材料的磁性及磁热效应的进展。 在具体的研究工作中, 使用了包括直流磁性测量、 交流磁性测量、 热输运测量、 粉末X射线衍射测试、 粉末中子衍射测试等多种实验手段。 上述工作, 解决了低温磁制冷材料中的部分难题, 相关工作仍在继续。
2 Er-Ho-Co系列材料的磁性及磁热效应研究
2.1 Er12-xHoxCo7系列材料的研究背景
在众多稀土基合金化合物中, 稀土-钴合金是一个庞大的材料族, 共存在8种不同的成分比例, 其中包括R12Co7系列化合物
2.2 Er12Co7材料的结构、 磁性及磁热效应
室温粉末X射线衍射(XRD)实验结果表明, Er12Co7化合物的衍射峰都与单斜立方结构的布拉格位置很好地吻合, 并且没有多余的峰, 说明该化合物具有良好的单相性。 进一步的衍射谱精修拟合表明: Er12Co7化合物隶属于14号空间群P21/c, 晶胞参数如下: a=0.82743(5) nm, b=1.10857(1) nm, c=1.37351(2) nm, α=γ=90°, β=138.8°, 室温粉末X衍射图谱及精修拟合情况如图1所示。 精修拟合的各项误差如下: χ2=1.926, wRp=5.48%, Rp=4.34%。 在每个晶胞中, 24个Er原子分别占据6个不同的4e位, 14个Co原子分别占据3个不同的4e位和1个2a位。 Er12Co7化合物的晶胞结构如图2所示。
图3给出了0.01 T磁场下Er12Co7化合物的零场降温曲线(ZFC)和带场降温曲线(FC)结果。 可以看出, Er12Co7化合物的磁化强度随着温度的升高先升后降, 分别对应反铁磁-铁磁相变和铁磁-顺磁相变, 两个相变温度分别为Tt=6.5 K, TC=13.5 K。 居里温度附近温区ZFC和FC高度重合, 表明Er12Co7具有良好的热可逆性, 低温区的不重合源自畴壁钉扎效应
图1 Er12Co7的室温XRD图谱
Fig.1 Room temperature XRD pattern and refinement of Er12Co7 compound
图2 Er12Co7的晶胞结构图
Fig.2 Crystal structure of Er12Co7 compound
图3 Er12Co7在0.01 T磁场下的热磁曲线和磁化率倒数与温度关系曲线
Fig.3 Temperature dependence of magnetization under a magnetic field of 0.01 T and the temperature dependence of magnetic susceptibility reciprocal of Er12Co7compound
为了进一步研究Er12Co7化合物的磁性以及相变, 在从3~47 K的温度下分别测试了0~7 T磁场范围内的等温磁化曲线, 如图4所示。 在5, 6, 7 K三个温度点, 小于0.36 T的低场磁化曲线表明, 磁化强度与温度呈现正相关, 这与铁磁态的特征截然不同, 表明Er12Co7可能处于反铁磁态。 当磁场高于0.36 T时, 磁化强度出现反转, 这是磁场诱导的变磁转变行为。 同时这也意味着Er12Co7化合物的反铁磁序非常弱, 微小磁场就可以诱导变磁转变。 7~13 K的磁化曲线表现出典型铁磁态特征, 13 K以上的磁化曲线表现出顺磁态特征。 因此, 随着温度的升高, Er12Co7化合物依次经历的磁相变为反铁磁-铁磁相变和铁磁-顺磁相变。 基于等温磁化曲线, 又可以得到Er12Co7化合物的Arrott曲线图, 如图5所示。 结果显示, 居里温度附近的曲线都表现出正斜率, 这是二级相变的特征
图4 Er12Co7的等温磁化曲线和Er12Co7在5, 6, 7 K下的低场磁化曲线
Fig.4 Isothermal magnetization curves (a) and magnetization curves in low field range at 5, 6, 7 K of Er12Co7 compound (b)
图5 Er12Co7的Arrott曲线
Fig.5 Arrottplots of Er12Co7 compound
基于等温磁化曲线数据, 利用麦克斯韦关系可以计算得到Er12Co7化合物的磁熵变曲线, 如图6所示。 虽然Er12Co7化合物有两个相变, 但是磁熵变曲线上并未观察到两个明显的峰, 这是因为低温反铁磁基态太弱, 微小磁场就能导致变磁转变。 在0~2 T和0~5 T磁场变化下, 磁熵变曲线峰值分别为10.2和18.3 J·kg-1·K-1。 衡量磁热效应的另两个重要参数是制冷温跨和制冷能力, 基于磁熵变曲线计算了上述参数。 其中, 制冷能力为磁熵变峰的半高宽范围积分值, 制冷温跨为半高宽。 结果表明: 在0~2 T和0~5 T磁场变化下, Er12Co7的制冷温跨分别为14.5 K和22.8 K, 制冷能力分别为103.6和317.0 J·kg-1。
2.3 Ho12Co7材料的结构、 磁性及磁热效应
纯相Ho12Co7化合物的晶体结构与Er12Co7以及其他R12Co7化合物同属一个结构, 他们之间的差别仅仅是晶格参数的不同。 根据室温粉末X射线衍射实验得到的R12Co7化合物(R=Gd, Tb, Dy, Ho, Er)的晶胞参数如表1所示。 随着原子序数的增加, a, b, c 3个参数都表现出单调递减的趋势,这与原子半径随原子序数增加而缩小的物理规律完全一致。
图6 Er12Co7的磁熵变曲线
Fig.6 Magnetic entropy change curves of Er12Co7 compound
表1 R12Co7(R=Gd, Tb, Dy, Ho, Er)的晶胞参数
Table 1 Cell lattice parameters of R12Co7 (R=Gd, Tb, Dy, Ho, Er) compounds
Samples |
a/nm | b/nm | c/nm |
Gd12Co7 |
8.41 | 11.39 | 14.02 |
Tb12Co7 |
8.39 | 11.32 | 13.97 |
Dy12Co7 |
8.36 | 11.25 | 13.92 |
Ho12Co7 |
8.33 | 11.13 | 13.77 |
Er12Co7 |
3.27 | 11.09 | 13.74 |
图7给出了Ho12Co7化合物在0.01 T磁场下的热磁曲线、 不同磁场下的热磁曲线以及不同磁场下的比热曲线。 从图中可以看出: 随着温度的上升, Ho12Co7化合物分别在T1=9 K, T2=17 K和T3=30 K处经历了3个相变。 按照温度升高的方向,T1处的相变为反铁磁-反铁磁相变; T2处的相变为反铁磁-铁磁相变; T3处的相变为铁磁-顺磁相变, 对应居里温度(TC)。 铁磁-顺磁相变是显而易见的, 另两个相变需要后面的等温磁化曲线来验证。 根据图7(b)可以看到, T1随着外加磁场的增大而向高温区推移, 但是T2和TC却没有明显的移动。 这一现象意味着温度小于T2的温区发生了类似变磁转变的行为, 类似的变磁转变已有报道
图7 Ho12Co7在0.01 T磁场下的热磁曲线和磁化率倒数与温度关系曲线(a); Ho12Co7在不同磁场下的热磁曲线(b); Ho12Co7在不同磁场下的比热曲线(c)
Fig.7 Temperature dependence of magnetization under a magnetic field of 0.01 T and the temperature dependence of magnetic susceptibility reciprocal (a); thermomagnetic curves under different magnetic fields (b) and specific heat curves under different magnetic fields (c) of Ho12Co7 compound
为了研究Ho12Co7化合物的磁性及磁相变, 在3~50 K的温度区间, 在0~7 T的范围内测试了等温磁化曲线, 详见图8。 根据图示可以看出17~30 K之间的等温磁化曲线显示出铁磁特性, 即随着磁场的增大磁化强度迅速升高; 而在17 K以下, 磁化曲线在低场表现出与磁场线性依赖的关系, 这是反铁磁基态的特征。 这些信息证明随着温度的升高, Ho12Co7化合物分别在T1经历反铁磁-反铁磁相变, 在T2处经历反铁磁-铁磁相变, 在TC处经历铁磁-顺磁相变。 另外, 在17 K以下的反铁磁基态温区, 在磁场高于临界值时磁化强度与磁场偏离线性依赖关系, 从而发生反铁磁-铁磁变磁转变。 根据求导的方法可以确定临界磁场, 结果表明6 K时的临界场为0.12 T, 16 K时的临界场为0.28 T。 这一结果表明: 17 K以下Ho12Co7化合物呈现出弱的反铁磁基态, 很小的磁场就能破坏反铁磁基态而发生变磁转变。 另外, 在居里温度以上, 低场磁化曲线(M-H曲线)也表现出很大的弯曲度, 这意味着短程铁磁序的存在, 相关类似报道有很多
图8 Ho12Co7的等温磁化曲线
Fig.8 Isothermal magnetization curves of Ho12Co7 compound
按照磁性测试的方法和比热测试的方法分别计算了Ho12Co7化合物磁熵变曲线, 如图10所示。 从图中可以看出, 两种计算方法所得到的磁熵变曲线没有完全重合, 但是考虑到磁性测量和比热测量计算得到的磁熵变数据会有4%~20%的误差
图9 Ho12Co7的Arrott曲线
Fig.9 Arrottplots of Ho12Co7 compound
图10 Ho12Co7的磁熵变曲线
Fig.10 Magnetic entropy change curves of Ho12Co7
(a)Calculated based on magnetic measurements and specific heat measurements;(b)Calculated according to magnetic data under small magnetic field changes;(c)Under large magnetic field changes
2.4 Er12-xHoxCo7系列材料的磁相变
Er12-xHoxCo7化合物具有与Er12Co7以及Ho12Co7化合物相同的晶体结构, 0.01 T磁场下的热磁曲线如图11所示。 Ho原子低替代量(x=4, 6, 8)和高替代量(x=10, 12)的样品表现出截然不同的相变行为。 对于Er12Co7和低Ho替代量样品, 随着温度的升高热磁曲线呈现两处突变, 分别对应Tt处的反铁磁-铁磁相变以及TC处的铁磁-顺磁相变。 4个低Ho含量的样品(x=4, 6, 8)的反铁磁-铁磁相变温度分别为6.5, 8.6, 12.0和11.0 K, 居里温度分别为13.5, 15.0, 18.0和22.0 K。 对于高Ho含量的样品(x=10, 12), 相变数目及相变类型与Ho12Co7一致, 随着温度的升高依次经历反铁磁-反铁磁相变, 反铁磁-铁磁相变以及铁磁-顺磁相变。 两个高Ho含量样品的3个相变温度分别为9.0, 19.0, 26.3 K和9.0, 17.0, 30.0 K。 与分析Ho12Co7化合物的方法类似, 测试了替代样品的等温磁化曲线, 其中Er2Ho10Co7化合物的等温磁化曲线如图12所示。 图中特别显示了5, 9, 13 K 3个温度点的低场等温磁化曲线, 可以看出, 0.3 T附近磁化强度与温度呈现正相关的关系。 当磁场升至较大数值时, 例如1 T时, 磁化强度大小发生了反转。 上述结果表明, Er2Ho10Co7化合物在9K以下是反铁磁基态, 并且反铁磁基态很弱, 因为很低的磁场就可以诱导变磁转变行为。 进一步地, 可以论证该化合物在9~19 K之间为反铁磁态, 19~26 K之间为铁磁态, 26 K以上为顺磁态。 因此, Er2Ho10Co7化合物与Ho12Co7化合物的磁相变一致, 即随着温度的升高, 依次经历反铁磁-反铁磁相变、 反铁磁-铁磁相变、 铁磁-顺磁相变。
图11 Er12-xHoxCo7系列化合物在0.01 T磁场下的热磁曲线
Fig.11 Thermomagnetic curves under a field of 0.01 T for Er12-xHoxCo7 compounds
所有Er12-xHoxCo7系列化合物的相变温度如表2所示。 从表2中可以看出, Ho原子的替代对于该系列化合物的相变数目和相变类型都有明显的影响。 随着Ho含量的增加, 相变数目从2个变为3个。 其中Tt的变化并不大, 这是因为Tt是两种磁有序态竞争的临界温度, 而晶体场效应对这种竞争具有直接的影响。 Ho替代量的不同并没有改变晶体结构, 也没有从根本上改变晶体场特征, 因而对Tt的影响并不太大。 类似的结果在RAl2和Gd-Er-Ga系列化合物的自旋重取向相变温度的研究中有报道
图12 Er2Ho10Co7的等温磁化曲线
Fig.12 Isothermal magnetization curves of Er2Ho10Co7 compound
表2 Er12-xHoxCo7系列化合物的相变温度和磁热效应参数数值
Table 2 Phase transition temperatures and magnetocaloric effect parameters of Er12-xHoxCo7compounds
Samples | Tt/ K |
TC/ K |
0~2 T |
0~5 T | ||||
-ΔSM(T)max/ (J·kg-1·K-1) |
δTFWHM/ K |
RC/ (J·kg-1) |
-ΔSM(T)max/ (J·kg-1·K-1) |
δTFWHM/ K |
RC/ (J·kg-1) |
|||
Er12Co7 | 6.5 | 13.5 | 10.2 | 14.5 | 103.6 | 18.3 | 22.8 | 323.2 |
Er8Ho4Co7 |
8.6 | 15.0 | 9.6 | 16.5 | 122.6 | 18.0 | 24.7 | 363.7 |
Er6Ho6Co7 |
12.0 | 18.0 | 9.7 | 19.7 | 150.5 | 18.6 | 28.5 | 419.1 |
Er4Ho8Co7 |
11.0 | 22.0 | 7.8 | 22.8 | 137.8 | 17.0 | 31.8 | 428.0 |
Er2Ho10Co7 |
9.0/19.0 | 26.3 | 6.2 | 20.9 | 94.8 | 16.1 | 32.5 | 398.7 |
Ho12Co7 |
9.0/17.0 | 30.0 | 9.2 | 29.4 | 206.2 | 19.2 | 37.4 | 556.5 |
Er6Ho6Co7 (42%)+ |
- | - | - | - | - | 16.7 | 38.0 | 553.0 |
Ho12Co7 (58%) |
2.5 Er12-xHoxCo7系列材料的磁热效应
Er12-xHoxCo7化合物在0~2, 0~5, 0~7 T磁场变化下的磁熵变曲线如图13所示, 具体的磁热效应参数数值如表2所示。 其中, 0~2 T磁场变化下的磁熵变数值更为重要, 因为这个磁场变化范围与实际应用更为接近, 目前报道的磁制冷样机的磁场变化量大部分都不超过1.5 T。 在0~2 T磁场变化下, Er12Co7化合物的磁熵变峰值最大, 展现出最高的应用价值。 有的成分在小的磁场变化下, 表现出正的磁熵变数值, 即反常磁热效应, 这是低温弱反铁磁基态的结果。 图中还可以看出, Ho含量对磁熵变曲线的形状和峰值大小具有很大的影响。 随着Ho含量的增加, 磁熵变曲线由单峰状(x=0, 4, 6)逐渐转变为单峰加凸起(x=8), 再转变为单峰加长长的尾巴(x=10), 最后变为双峰状(x=12)。 这是因为随着Ho的增加, 低温处的相变越来越明显并且有更多的相变出现。 磁熵变峰值位置总体趋势在向高温区移动, 这是因为居里温度在向高温区单调递进。 还可以发现, 磁熵变峰值对Ho的替代量并没有表现出单调依赖关系, 这是因为Ho的增加带来两点影响, 总磁矩的增加和居里温度的增加, 而根据Oesterreicher等的理论, 总磁矩和居里温度对磁熵变峰值具有相反的影响
图13 Er12-xHoxCo7系列化合物在0~2 T和在0~5 T下的磁熵变曲线
Fig.13 Magnetic entropy change curves for a field change of 0~2 T (a) and 0~5 T (b) of Er12-xHoxCo7 compounds
2.6 Er12-xHoxCo7系列复合材料的磁热效应
在实际应用中, 磁制冷材料往往要完成一段温区的连续制冷, 因而要求磁制冷材料在较宽温区内的磁熵变有着相对稳定且较大的数值。 形象地说, 磁熵变曲线呈现出高的、 宽的平台状最好。 在探索磁制冷材料的时候, 这类材料往往可遇不可求, 例如PrGa
图14 Ho12Co7和Er6Ho6Co7复合材料的磁熵变曲线
Fig.14 Magnetic entropy change curves of composite material of Ho12Co7 and Er6Ho6Co7 compounds with different mixing ratio
3 Er-Ho-Ni系列材料的磁性及磁热效应
3.1 Er1-xHoxNi材料的研究背景
二元RNi化合物是一类重要的稀土基合金化合物。 研究表明, 轻稀土RNi化合物具有CrB型晶体结构, 隶属于63号空间群Cmcm, 重稀土RNi化合物具有FeB型晶体结构, 隶属于62号空间群Pnma
3.2 Er1-xHoxNi系列材料的晶体结构及渐变规律
为了进行系统性研究, 我们制备了整个系列的Er1-xHoxNi多晶样品, 首先用室温X射线衍射的方法对样品的单相性以及详细的晶体结构进行了详细研究。 Er1-xHoxNi系列化合物的衍射图谱以及标准布拉格位置如图15所示。 从图中可以看出, 所有的衍射峰都可以对应到标准布拉格位置, 并且没有多余的衍射峰出现, 这说明所制备的样品具有良好的单相性。 从衍射谱中还可定性看出, 随着Ho替代量的增加, 峰位在向低角度区域移动, 可以定性判断, 晶格参数逐渐变大。 进一步分析表明, Er1-xHoxNi化合物呈现正交立方FeB结构, 隶属于62号空间群Pnma。 具体的晶胞结构如图16所示, R原子与Ni原子占据不同的4c位, 晶体中的原子以三棱柱为单元进行堆积, R原子在三棱柱的角落, Ni原子在三棱柱的中间。 上述结果表明替代样品与母体材料HoNi和ErNi的晶体结构完全一致, 元素替代并不改变晶体结构
图15 Er1-xHoxNi系列化合物的室温XRD图谱
Fig.15 Room temperature XRD patterns of Er1-xHoxNi compounds
图16 Er1-xHoxNi系列化合物的晶胞结构
Fig.16 Crystal structure of Er1-xHoxNi compounds
3.3 ErNi材料的磁结构及磁相变
在Kumar等
表3 Er1-xHoxNi系列化合物的晶胞参数
Table 3 Lattice parameters of Er1-xHoxNi compounds
Samples |
a/nm | b/nm | c/nm |
x=0 |
0.699 | 0.411 | 0.542 |
x=0.05 |
0.699 | 0.412 | 0.542 |
x=0.1 |
0.700 | 0.412 | 0.542 |
x=0.2 |
0.700 | 0.412 | 0.543 |
x=0.3 |
0.700 | 0.412 | 0.543 |
x=0.4 |
0.701 | 0.413 | 0.543 |
x=0.6 |
0.701 | 0.413 | 0.543 |
x=0.8 |
0.701 | 0.413 | 0.543 |
x=1.0 |
0.702 | 0.414 | 0.543 |
图17 ErNi在0.01 T磁场下的热磁曲线; 交流磁化率实部曲线和交流磁化率虚部曲线
Fig.17 Zero-field-cooled and field cooled thermomagnetization curves of ErNi compound at a field of 0.01 T (a); The temperature dependence of the real part (b) and imaginary part (c) of ac susceptibility in response to a 0.0005 T, 97 Hz driving field for ErNi compound
为了进一步探究ErNi在各温区的磁结构以及低温磁相变的类型, 对ErNi进行了变温粉末中子衍射实验。 首先通过测试室温下及3 K时的中子衍射谱, 通过精修比较, 确定磁峰位置, 如图18所示。 选定30.05°处的磁峰(111), 对该磁峰进行变温检测, 磁峰强度与温度的关系如图19所示。 从图19中也可以得到与直流、 交流磁性测量相同的结果, 即ErNi化合物经历两个相变, 分别位于7.0和11.0 K的温度。 然后, 选取一系列温度点进行详细的变温中子衍射实验测试, 这些温度点分别为3, 5, 6, 7, 8, 9, 10, 11, 12, 14, 16和295 K。 其中, 3 K的精修拟合情况如图18所示, 结果表明, ErNi中只有Er原子显磁性, 且Er原子的磁结构既含有铁磁分量、 又含有反铁磁分量。 当温度变化时, 具体的磁结构又有所不同: 当T<7 K时, x方向呈现反铁磁序, y方向呈现铁磁序, z方向呈现铁磁序; 当7 K≤T≤11 K时, x方向呈现反铁磁序, y方向呈现磁无序, z方向呈现铁磁序; 当T>11 K时, 呈现磁无序态。 ErNi在7 K时的磁结构以及各分量的磁矩随温度的变化情况如图20所示。 至此, 用粉末中子衍射的实验手段直接证实了ErNi化合物中自旋重取向相变的存在。 随着温度的升高, ErNi依次经历自旋重取向相变和铁磁-顺磁相变。
图18 ErNi在3 K下的中子衍射精修图谱
Fig.18 Neutron powder diffraction pattern and refinement of ErNi compound at 3 K
图19 ErNi 在30.05°处的磁峰强度与温度的关系
Fig.19 Temperature dependence of typical magnetic peak at 30.05° for ErNi compound
3.4 HoNi材料的磁结构及磁相变
HoNi化合物的FC曲线表明: 随着温度的升高, 材料依次经历自旋重取向相变和铁磁-顺磁两个相变, 通过求导计算后发现两个相变的相变温度分别为13.5 K和35.5 K, 如图21所示。 同样为了进一步探究磁相变, 在不同温度测试粉末中子衍射, 选取的温度点分别为: 5.3, 8, 10, 12, 13, 15, 20, 25, 30, 32, 34, 36, 38, 40, 42和45 K。 结果表明, 当T<13 K时, x方向呈现铁磁序, y方向呈现铁磁序, z方向呈现反铁磁序; 当13 K≤T≤32 K时, x方向呈现铁磁序, y方向磁无序, z方向呈现反铁磁序; 当T>34 K时, 呈现磁无序态。HoNi与ErNi的磁结构及磁相变类似, 但是x方向及z方向的磁有序形式相反。 HoNi化合物在30 K时的磁结构如图22所示。
图20 ErNi在7 K时的磁结构以及各分量的磁矩随温度的变化情况
Fig.20 Magnetic structure of ErNi compound at 7 K and the temperature dependences of each component of magnetic moment for ErNi compound
3.5 Er0.9Ho0.1Ni材料的磁结构及磁相变
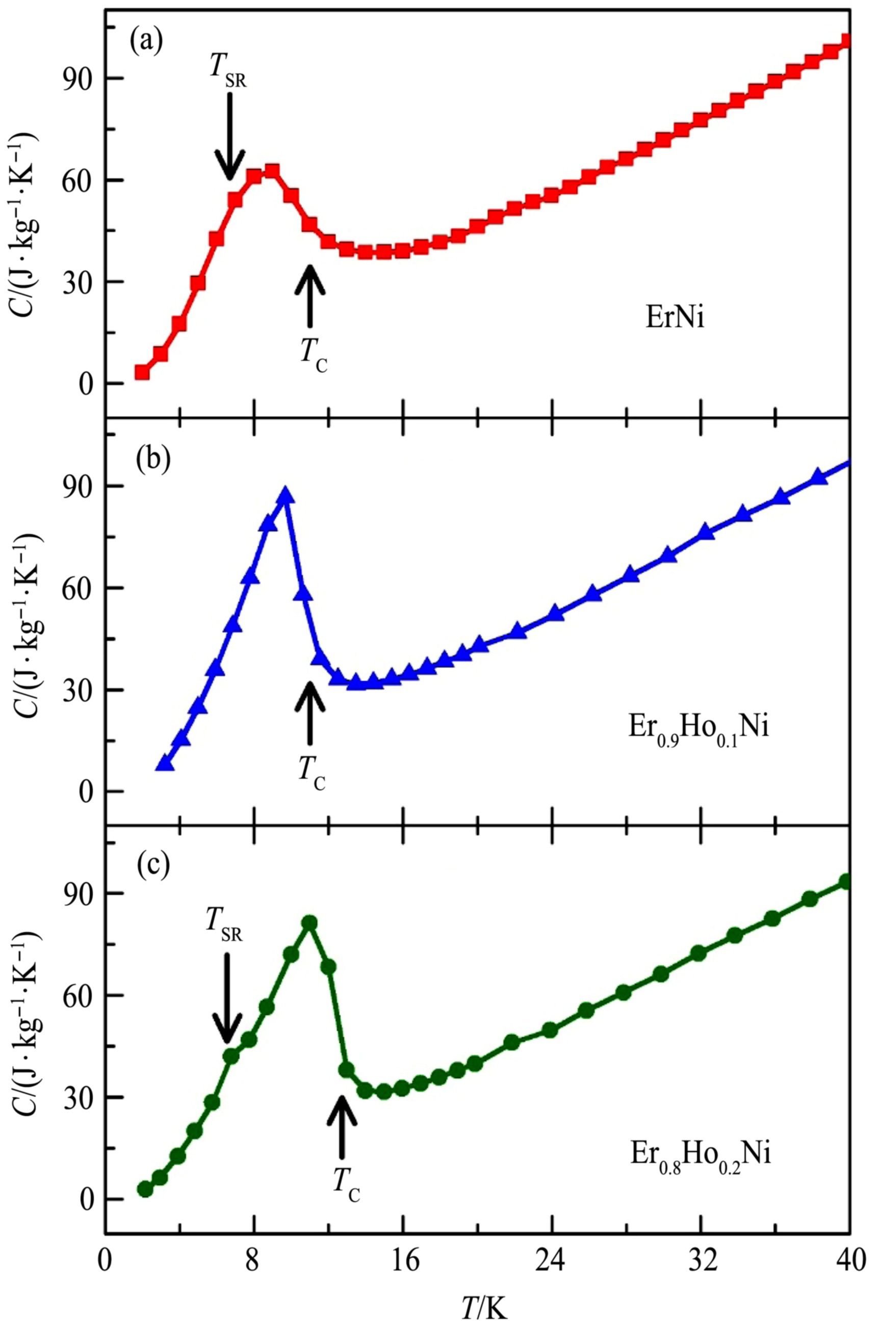
对Er0.9Ho0.1Ni化合物而言, FC曲线的求导结果表明只有一个导数极小值位于11.0 K, 这是有序-无序相变的临界温度。 同时注意到, 随着温度的降低, FC曲线在9 K附近开始下降, 这是低温相变的信号, 详细结果如图23(a)所示。 为了进一步确定磁相变的相变温度, 对Er0.9Ho0.1Ni化合物进行了交流磁化率测试, 磁场振幅为5 Oe, 测量频率为97 Hz, 结果如图23(b, c)所示。 结果表明: 交流磁化率的实部对有序-无序相变敏感, 相变温度为11.0 K, 交流磁化率的虚部对低温有序-有序相变敏感, 相变温度为9.0 K。 无论是直流磁性测量还是交流磁性测量都得到了相同的相变温度。
为了进一步论证各温区的磁结构以及上述磁相变的详细情况, 对Er0.9Ho0.1Ni化合物进行了粉末中子衍射实验。 首先通过比较顺磁态与低温磁有序态的衍射谱, 选取位于25.07°的最明显的(110)磁峰进行变温观测。 结果表明: 随着温度的变化只能明显观察到1个相变, 该相变为铁磁-顺磁相变, 如图24所示。 然后进行变温中子衍射测试, 选取的温度点分别为: 3.5, 6, 8, 10, 11.5, 12, 14, 16和20 K。 精修结果表明: Er0.9Ho0.1Ni化合物在x方向上和y方向上都是以铁磁序耦合, 在z方向上以反铁磁序耦合, 耦合形式与ErNi类似, 与HoNi相同。 随着温度的升高, 在11 K附近, 上述3个分量同时降为零, 即磁无序, 如图25所示。 在此过程中并未观察到自旋重取向的信号, 这可能是因为自旋重取向相变温度与居里温度靠得太近从而无法区分(TSR=9.0 K, TC=11.0 K)。
图21 HoNi在0.01 T磁场下的热磁曲线
Fig.21 Zero-field-cooled and field cooled thermomagnetic curves of HoNi compound at a field of 0.01 T
图22 HoNi在30 K下的磁结构图
Fig.22 Magnetic structure of HoNi compound at 30 K
图23 Er0.9Ho0.1Ni在0.01 T磁场下的热磁曲线 (a); Er0.9Ho0.1Ni的交流磁化率实部曲线(b); Er0.9Ho0.1Ni的交流磁化率虚部曲线(c)
Fig.23 Thermomagnetic curves (a), temperature dependence of real part (b) and imaginary part (c) of ac susceptibility for Er0.9Ho0.1Ni compound
3.6 Er1-xHoxNi系列材料的磁相变
中子衍射的结果表明: Ho原子的含量对该系列材料的磁相变有很大的影响。 Er1-xHoxNi化合物在0.01 T磁场下的热磁曲线如图26所示。 从图中可以清楚地看到Ho的替代量大于0.2时, Er1-xHoxNi化合物经历两个相变: 随着温度的升高, 先后经历自旋重取向相变和铁磁-顺磁相变。 当Ho的替代量为0, 0.05, 0.1, 0.2时, 通过中子衍射、 交流磁性测量以及详细求导也可以同样看出他们也经历两个相变。 因此, Er1-xHoxNi化合物经历两个相变, 自旋重取向相变和铁磁-顺磁相变。 根据中子衍射结果对磁结构的描述, Er1-xHoxNi化合物的基态都不是纯粹的铁磁序, 而是铁磁、 反铁磁共存的倾角磁有序结构, 为了描述方便, 依然表述为铁磁结构。
图24 Er0.9Ho0.1Ni 在25.07°处的磁峰强度与温度的关系
Fig.24 Temperature dependence of typical magnetic peak at 25.07° for Er0.9Ho0.1Ni compound
图25 Er0.9Ho0.1Ni在3.5 K时的磁结构以及各分量的磁矩随温度的变化情况
Fig.25 Magnetic structure of Er0.9Ho0.1Ni compound at 3.5 K and the temperature dependences of each component of magnetic moment for Er0.9Ho0.1Ni compound
图26 Er1-xHoxNi系列化合物在0.01 T磁场下的热磁曲线以及低温区放大图
Fig.26 Temperature dependences of magnetization curvesat a field of 0.01 T for of Er1-xHoxNi compounds respectively (Inset is the enlarged plots of MT curves in low temperature range for several compounds with small amount of Ho atoms
Er1-xHoxNi化合物的相变温度都已在表4中列出, 从图26以及表4中可以看出, 随着Ho替代量的增大, Er1-xHoxNi化合物的居里温度逐渐升高, 变化很明显, 也很有规律性。 但是自旋重取向相变温度的变化规律却不太明显。 居里温度提高的原因是Ho原子的引入使得Er1-xHoxNi化合物的平均自旋角动量量子数增大, 而居里温度与自旋量子数呈正相关。 但是, 有序-有序相变温度是一个晶体场敏感量, 在该系列材料中, 晶体结构并未发生对称性层面的变化, 只是具体参数的大小有微量区别, 所以自旋重取向相变温度变化却不大。 因此, Er1-xHoxNi化合物的自旋重取向相变温度差别不大, 但是居里温度随Ho含量的不同呈现单调变化。 这特点与Er1-xGdxGa系列化合物非常相似
3.7 Er1-xHoxNi系列材料的磁熵变
基于等温磁化曲线数据, 利用麦克斯韦关系计算得到了Er1-xHoxNi化合物的磁熵变曲线, 如图27所示。 从磁熵变曲线可以看出, 自旋重取向相变与铁磁-顺磁相变都对磁熵变有贡献, 表现为在相变温度附近出现相应的磁熵变峰。 只是, 大部分材料因为两个相变温度距离较近, 两个峰难以直接区分。 但是, 根据半高峰确定的制冷温跨, 却有明显的变化规律。 具体的磁熵变峰值、 制冷温跨以及制冷能力等参数都已在表4中列出。 0~5 T磁场变化下, ErNi化合物的磁熵变峰值为29.6 J·kg-1·K-1, 这与文献报道的29.2 J·kg-1·K-1高度一致
表4 Er1-xHoxNi系列化合物的相变温度和磁热效应参数数值
Table 4 Transition temperatures and magnetocaloric effect parameters of Er1-xHoxNi compounds
Samples | Tt/ K |
TC/ K |
0~2 T |
0~5 T | ||||
-ΔSM(T)max/ (J·kg-1·K-1) |
δTFWHM/ K |
RC/ (J·kg-1) |
-ΔSM(T)max/ (J·kg-1·K-1) |
δTFWHM/ K |
RC/ (J·kg-1) |
|||
x=0 | 7.0 | 11.0 | 14.2 | 10.7 | 122.4 | 29.6 | 15.6 | 350.0 |
x=0.05 |
7.0 | 11.5 | 18.2 | 8.7 | 117.4 | 32.3 | 15.1 | 364.7 |
x=0.1 |
9.0 | 11.0 | 18.0 | 7.0 | 104.2 | 34.0 | 14.2 | 366.6 |
x=0.2 |
6.0 | 13.0 | 15.2 | 9.3 | 128.4 | 28.3 | 18.2 | 392.3 |
x=0.3 |
5.0 | 16.5 | 12.2 | 13.2 | 119.7 | 25.3 | 21.3 | 407.7 |
x=0.4 |
4.0 | 20.0 | 10.4 | 16.3 | 148.8 | 20.7 | 26.3 | 418.0 |
x=0.6 |
9.0 | 27.0 | 6.9 | 27.8 | 145.1 | 16.1 | 34.2 | 431.1 |
x=0.8 |
11.0 | 32.0 | 7.5 | 32.7 | 179.8 | 16.1 | 40.1 | 487.3 |
x=1.0 |
13.5 | 35.5 | 7.8 | 33.4 | 198.7 | 16.6 | 41.6 | 556.7 |
图27 Er1-xHoxNi系列化合物在0~2 T和在0~5 T下的磁熵变曲线
Fig.27 Magnetic entropy change curves for a field change of 0~2 T (a) and 0~5 T (b) of Er1-xHoxNi compounds
根据Oesterreicher等的理论, 磁熵变峰值不仅与总角动量量子数相关, 还与居里温度大小相关
3.8 Er1-xHoxNi系列材料的绝热温变
磁熵变仅仅是磁热效应的一个侧面描述, 上述关于磁热效应在特定成分下呈现极大值的结果需要进一步验证。 绝热温度变化是另一个衡量磁热效应大小的物理量。 针对ErNi, Er0.9Ho0.1Ni和Er0.8Ho0.2Ni三个成分, 使用比热-磁性测试数据相结合的方法来计算绝热温变。 具体做法是, 首先测量3个样品的零场比热曲线(如图28), 然后分别计算3个样品的零场绝对熵曲线, 再然后分别在零场绝对熵的基础上加上麦克斯韦关系计算得到的磁熵变数值, 从而得到高场下的绝对熵曲线, 再然后用零场和高场绝对熵曲线分别取反函数, 对应相减得到等熵温变或绝热温变数值, 最后再追溯零场绝对熵曲线中对应的温度即可得到绝热温变与温度的对应曲线
图28 ErNi, Er0.9Ho0.1Ni和Er0.8Ho0.2Ni的零场比热曲线
Fig.28 Zero field specific heat curves of ErNi (a), Er0.9Ho0.1Ni (b) and Er0.8Ho0.2Ni (c) compounds
图29 ErNi, Er0.9Ho0.1Ni和Er0.8Ho0.2Ni在0~2 T和0~5 T下绝热温变曲线
Fig.29 Adiabatic temperature change curves at 0~2 T and 0~5 T for ErNi, Er0.9Ho0.1Ni and Er0.8Ho0.2Ni respectively
3.9 Er1-xHoxNi系列材料的磁热效应分析
为了更进一步分析Er1-xHoxNi化合物的磁热效应变化规律, 磁熵变峰值、 制冷温跨随成分的变化趋势以图示形式给出, 如图30所示。 可以看出, 随着Ho含量的增加, 磁熵变峰值先升高再降低, 在x=0.1时磁熵变峰值达到极大值。 同时也可以看出, 随着Ho含量的增加, 制冷温跨先降低再升高, 同样在x=0.1处, 制冷温跨达到极小值。 磁熵变峰值与制冷温跨两者之间完全相反的变化趋势意味着两者之间存在某种内在联系。 事实上, 对于多相变体系, 多个相变意味着磁矩混乱度的逐步变化, 当施加外磁场的时候, 磁矩混乱度也会在两个相变温度处根据具体的条件进行变化。 当两个相变温度距离较远时, 两处的磁有序度变化难以受到影响, 但是当两个相变温度距离较近的时候, 磁有序度变化会相互影响, 即磁矩有可能从最混乱的状态一次性到达最有序的状态。 从前面对Er1-xHoxNi化合物相变温度的论证得知, Er0.9Ho0.1Ni化合物的两个相变温度距离最近, 因此, 最后可能出现施加磁场一次性从磁矩最混乱到达最有序的状态。 而根据制冷温跨的定义可知, 制冷温跨天然地与两个相变温度的相对距离具有相关性。 因此, Er0.9Ho0.1Ni的磁熵变峰值呈现极大值, 并且制冷温跨呈现极小值。
图30 Er1-xHoxNi系列化合物的磁热效应参数变化图
Fig.30 Maximal magnetic entropy change, the refrigerant temperature span and the refrigerant capacity versus Ho-content curves
在0~5 T磁场变化下, Er0.9Ho0.1Ni化合物的磁熵变峰值高达34.0 J·kg-1·K-1, 这一数值在众多低温磁制冷材料中表现异常突出。 例如, 研究人员常用ErCo2化合物作为低温区磁制冷材料参照比较的标准, 该材料在0~5 T磁场变化下的磁熵变峰值高达~37 J·kg-1·K-1, 但是该材料属于一级相变材料, 伴随较大热滞和磁滞从而不利用应用
4 小结与展望
系统地研究和总结了稀土-钴、 稀土-镍两个材料体系的基本磁性和磁热效应, 确认了稀土-钴系列合金化合物中多个低温有序-有序相变的存在, 获得了在0~5 T磁场变化下磁制冷能力高达554.9 J·kg-1·K-1的Ho12Co7材料, 利用多个相变的特性以及材料复合的思路获得了制冷温跨高达38.0 K的R12Co7复合材料。 获得了在低温区磁熵变峰值高达34 J·kg-1·K-1的Er0.9Ho0.1Ni材料, 并用多种实验手段严格论证了稀土-镍系列化合物的磁相变类型及磁相变数目, 用多相变合并理论成功解释了Er0.9Ho0.1Ni化合物磁热效应性能得到大幅度提高的物理机制。 本工作获得的低温磁制冷材料以及其他低温区的代表性磁制冷材料在0~5 T磁场变化下的磁熵变峰值以及磁制冷能力如表5所示。 通过比较可以得知, 本工作获得的材料在同温区众多磁制冷材料中性能表现较好, 但是, 同时也可以看到本工作所得到的材料在磁热效应性能方面仍然还有很大的提高空间。 具体来讲, 虽然获得了具有很大磁熵变峰值的Er0.9Ho0.1Ni材料, 但是, 具有如此高性能的材料种类太少。 另外, 也可以看到, 在成功提高磁熵变峰值的同时, 磁制冷温区和磁制冷能力却降低了。 考虑到材料的实际应用, 应当综合考虑各性能指标的影响, 获得综合性能最好的材料。 还有非常重要的一点, 在制冷机的实际应用中, 所使用的磁场一般不超过2 T, 因此, 对于磁制冷材料性能的衡量中, 使用0~1 T或者0~2 T的性能参数更为合理, 也更为接近材料的实际应用价值。 同样通过表5可以看出, 本工作开发出的材料在这方面的性能优势并不大。 因此, 在未来将会针对低场变化下的磁熵变进行系统研究和优化, 最终希望能够开发出能够真正应用到磁制冷机的高性能低温磁制冷材料。 这也将是低温区磁制冷材料发展的一个新趋势。
目前低温磁制冷材料在走向应用的道路上, 已经取得了一些可喜的成绩, 但依然还有很长的路要走, 一方面要继续寻找具有大磁热效应的材料, 另一方面对低温复杂相变伴随的磁熵变的物理机制要进行深入探讨。 近年来, 以弹热、 压热等物理效应为基础的新型制冷技术逐渐受到人们的关注。 而稀土基磁性合金化合物往往在磁相变过程中伴随着晶体结构对称性或者晶格参数的巨大变化, 磁与晶格的强烈耦合意味着单纯依靠磁场驱动获得磁热效应可以升级为依靠磁场、 压力等多场联合调控的热效应。 在此背景下, 人们对一些强磁晶耦合体系的材料进行了一些探索工作, 目前, 这类材料多以室温区磁制冷材料为主, 低温磁制冷材料方面依然有待探索和研究。 稀土基合金化合物的低温磁相变与其磁热效应性能表现密切相关, 因而对低温有序-有序相变的研究尤为重要。 对磁相变的研究往往需要对磁结构进行表征, 中子衍射技术是目前直接研究晶体中原子磁矩大小、 取向和分布的最有效手段之一。 特别是, 随着国家散裂中子源(CSNS)的建成和运行, 我国已经拥有中国绵阳研究堆(CMRR)、 中国先进研究堆(CARR)和中国散裂中子源在内的三大中子研究平台, 这也为低温磁相变的研究带来了便利。 目前, 这方面的工作刚刚起步, 还缺乏系统性的研究工作。 因而, 国内低温磁制冷材料的机制探索和应用研究, 任重而道远。
表5 典型低温区磁制冷材料以及本工作中获得的材料在0~5 T磁场变化下的磁热效应参数
Table 5 MCE parameters of typical low-temperature refrigerant materials and the materials in this work under the field change of 0~5 T
Samples | Tt/ K |
TC/ K |
0~2 T |
0~5 T | ||||
-ΔSM(T)max/ (J·kg-1·K-1) |
δTFWHM/ K |
RC/ (J·kg-1) |
-ΔSM(T)max/ (J·kg-1·K-1) |
δTFWHM/ K |
RC/ (J·kg-1) |
|||
TmZn[29] | - | 8.0 | 19.6 | 3.8 | 58.7 | 26.9 | 9.8 | 211.5 |
TmGa[23] |
12.0 | 15.0 | 20.6 | 9.9 | 149.0 | 34.3 | 14.2 | 359.7 |
Tb3Co[34] |
72.0 | 82.0 | 8.5 | 25.6 | 176.4 | 18.0 | 39.3 | 532.0 |
ErGa[19] |
15.0 | 30.0 | 10.9 | 23.0 | 168.4 | 21.3 | 30.9 | 493.4 |
HoGa[21] |
20.0 | 69.0 | 8.8 | 16.7 | 113.2 | 17.1 | 35.1 | 444.7 |
HoCuSi[46] |
- | 7.0 | 16.7 | 9.1 | 116.0 | 33.1 | 15.8 | 386.1 |
HoCuAl[51] |
- | 11.2 | 17.5 | 14.1 | 185.1 | 30.6 | 20.9 | 484.9 |
ErMn2Si2[44] |
- | 6.5 | 20.0 | 6.1 | 93.2 | 25.2 | 13.6 | 369.4 |
TmMn2Si2[45] |
- | 5.5 | 15.3 | 6.4 | 75.3 | 22.7 | 11.2 | 193.7 |
ErCr2Si2[95] |
- | 1.9 | 24.1 | - | - | 29.7 | - | - |
Er12Co7 |
6.5 | 13.5 | 10.2 | 14.5 | 103.6 | 18.3 | 22.8 | 323.2 |
Er8Ho4Co7 |
8.6 | 15.0 | 9.6 | 16.5 | 122.6 | 18.0 | 24.7 | 363.7 |
Er6Ho6Co7 |
12.0 | 18.0 | 9.7 | 19.7 | 150.5 | 18.6 | 28.5 | 419.1 |
Er4Ho8Co7 |
11.0 | 22.0 | 7.8 | 22.8 | 137.8 | 17.0 | 31.8 | 428.0 |
Er2Ho10Co7 |
9.0/19.0 | 26.3 | 6.2 | 20.9 | 94.8 | 16.1 | 32.5 | 398.7 |
Ho12Co7 |
9.0/17.0 | 30.0 | 9.2 | 29.4 | 206.2 | 19.2 | 37.4 | 556.5 |
Er6Ho6Co7 (42%)+ Ho12Co7 (58%) |
- | - | - | - | - | 16.7 | 38.0 | 553.0 |
ErNi |
7.0 | 11.0 | 14.2 | 10.7 | 122.4 | 29.6 | 15.6 | 350.0 |
Er0.95Ho0.05Ni |
7.0 | 11.5 | 18.2 | 8.7 | 117.4 | 32.3 | 15.1 | 364.7 |
Er0.9Ho0.1Ni |
9.0 | 11.0 | 18.0 | 7.0 | 104.2 | 34.0 | 14.2 | 366.6 |
Er0.8Ho0.2Ni |
6.0 | 13.0 | 15.2 | 9.3 | 128.4 | 28.3 | 18.2 | 392.3 |
Er0.7Ho0.3Ni |
5.0 | 16.5 | 12.2 | 13.2 | 119.7 | 25.3 | 21.3 | 407.7 |
Er0.6Ho0.4Ni |
4.0 | 20.0 | 10.4 | 16.3 | 148.8 | 20.7 | 26.3 | 418.0 |
Er0.4Ho0.6Ni |
9.0 | 27.0 | 6.9 | 27.8 | 145.1 | 16.1 | 34.2 | 431.1 |
Er0.2Ho0.8Ni |
11.0 | 32.0 | 7.5 | 32.7 | 179.8 | 16.1 | 40.1 | 487.3 |
HoNi |
13.5 | 35.5 | 7.8 | 33.4 | 198.7 | 16.6 | 41.6 | 556.7 |
参考文献
[1] Warburg E.Magnetische untersuchungen [J].Ann.Phys.,1881,249:141.
[2] Langevin P.Magnétisme et théorie desélectrons [J].Ann.Chim.Phys.,1905,5:70.
[3] Debye P.Einige bemerkungen zur magnetisierung bei tiefer temperatur [J].Ann.Phys.,1926,386:1154.
[9] Brown G V.Magnetic heat pumping near room temperature [J].J.Appl.Phys.,1976,47:3673.
[14] Wada H,Tanabe Y.Giant magnetocaloric effect of MnAs1-xSbx [J].Appl.Phys.Lett.,2001,79:3302.
[59] Buschow K H J.Rare earth-cobalt intermetallic compounds [J].Philips Res.Rep.,1971,26:49.
[61] Deng J Q,Zhuang Y H,Li J Q,Huang J L.Magnetic properties of Tb12Co7 [J].Physica B,2007,391:331.
[62] Chen X,Zhuang Y H.Magnetocaloric effect of Gd12Co7 [J].Solid State Commun.,2008,148:322.